Assessing a Removable Mini-Lysimeter for Monitoring Crop Evapotranspiration Using a Well-Established Large Weighing Lysimeter: A Case Study for Barley and Potato
Abstract
:1. Introduction
2. Materials and Methods
2.1. Study Site Description and Lysimeter Data Processing
2.2. Agro-Meteorological Station, Reference Evapotranspiration and Crop Coefficients
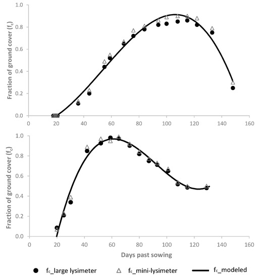
2.3. Ancillary Crop Parameters: Crop Phenology, Vegetation Fractional Cover and Crop Height
2.4. Mini-Lysimeter Performance Evaluation
3. Results
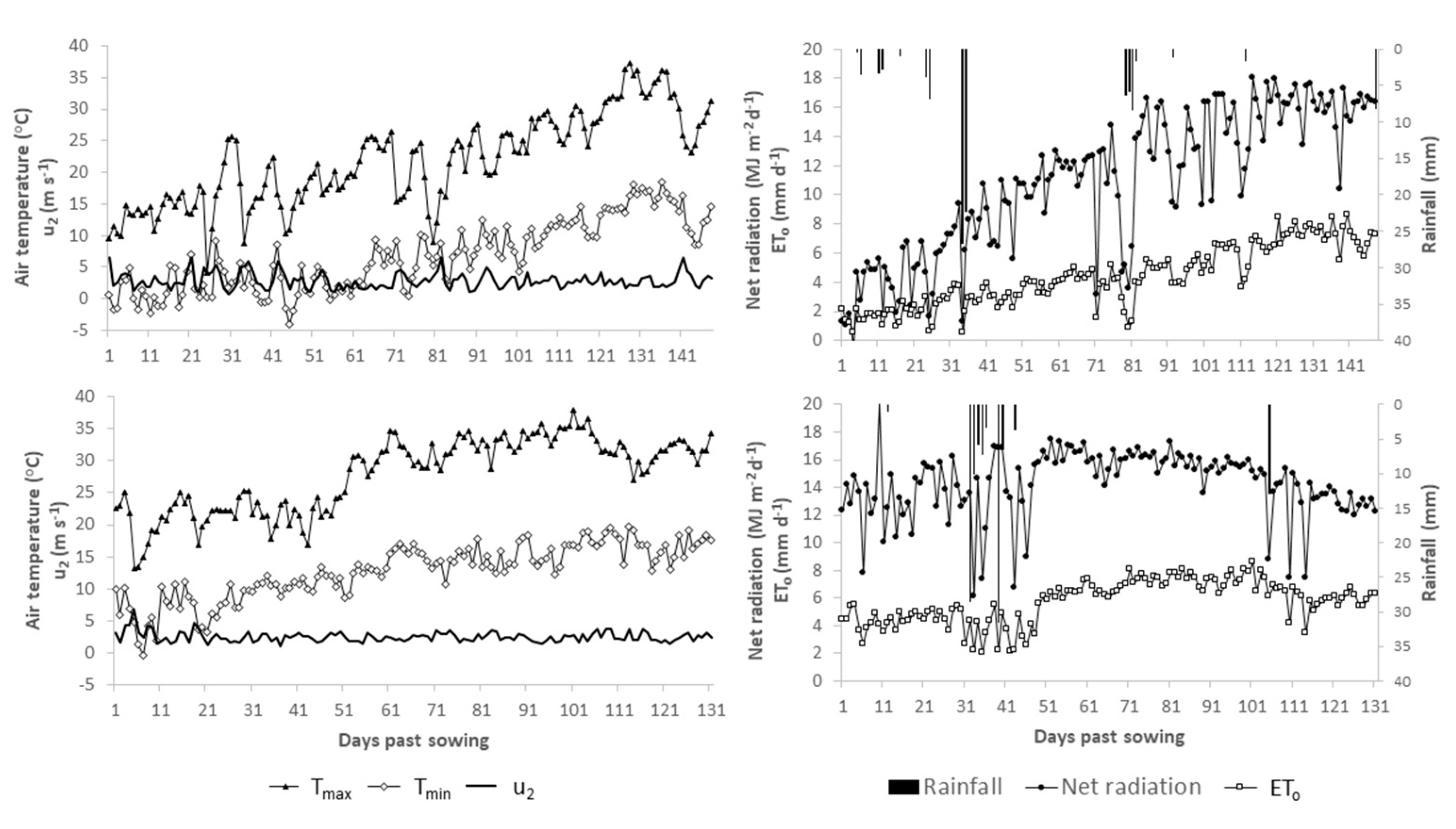
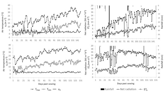
3.1. Meteorological Conditions during the Barley and Potato Seasons
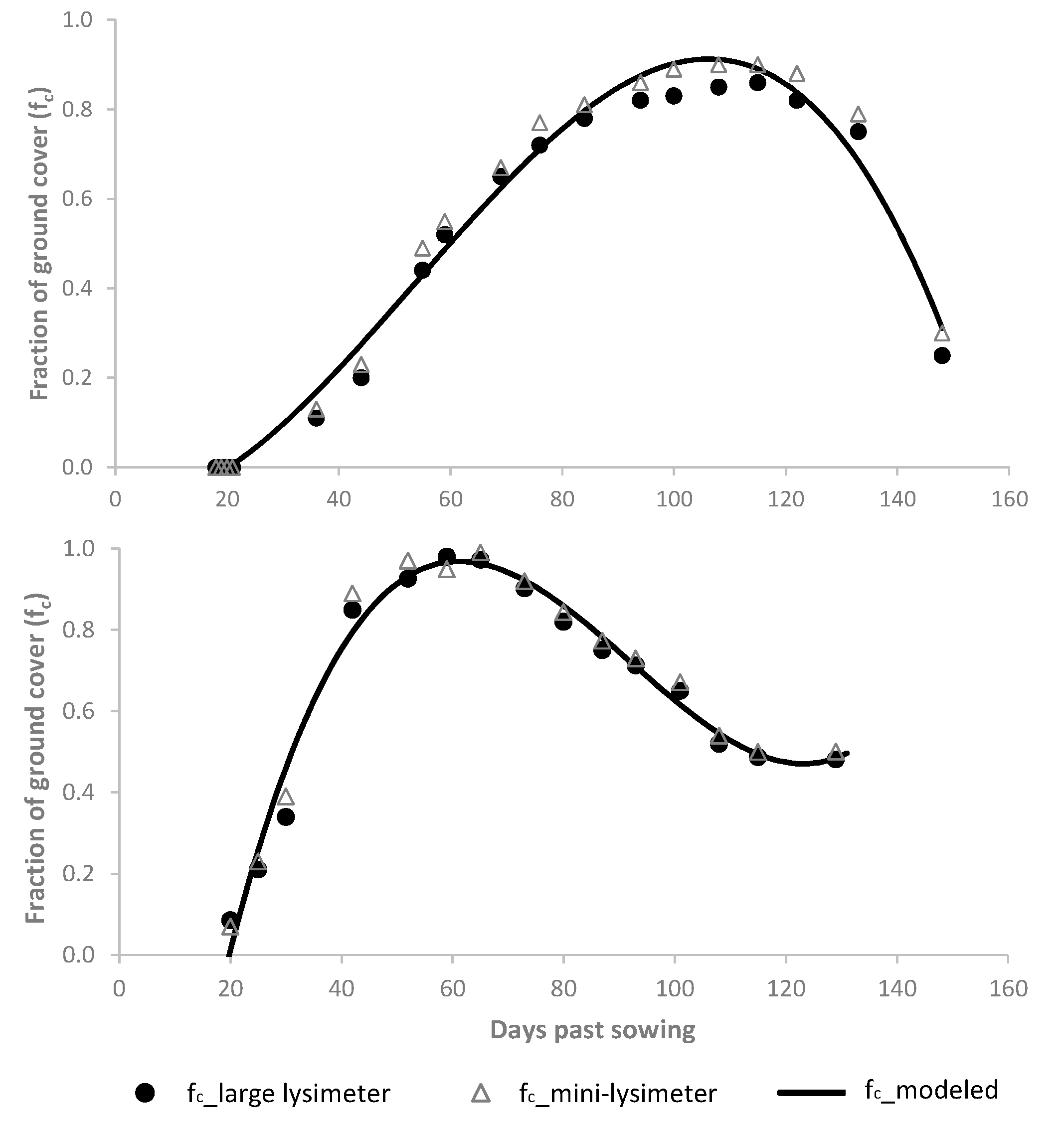
3.2. Crop Development, Evapotranspiration Values, and Applied Irrigation Water
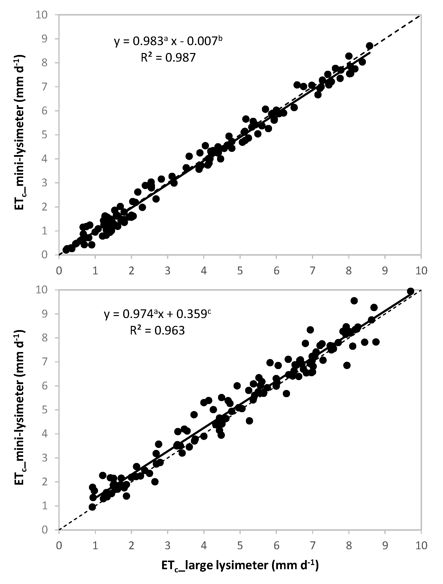
3.3. Performance of a Small-Sized Weighing Lysimeter in Barley and Potato ETc Measurements
3.4. Single and Dual Crop Coefficient Curves for Barley and Potato
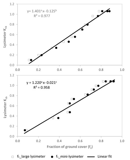
3.5. Relationship between the Basal Crop Coefficient (Kcb) and the Fraction of Ground Cover (fc)
4. Discussion
4.1. Performance of a Small-Sized Weighing Lysimeter to Monitor Barley and Potato Evapotranspiration
4.2. Evapotranspiration, Crop Coefficients and Ancillary Crop Parameters for Barley and Potato
4.3. Relationship between Basal Crop Coefficient and Canopy Cover for Barley and Potato
5. Conclusions
Author Contributions
Funding
Institutional Review Board Statement
Informed Consent Statement
Data Availability Statement
Acknowledgments
Conflicts of Interest
References
- López-Urrea, R.; Sánchez, J.M.; de la Cruz, F.; González-Piqueras, J.; Chávez, J.L. Evapotranspiration and Crop Coefficients from Lysimeter Measurements for Sprinkler-Irrigated Canola. Agric. Water Manag. 2020, 239. [Google Scholar] [CrossRef]
- Pereira, L.S.; Paredes, P.; Hunsaker, D.J.; López-Urrea, R.; Mohammadi Shad, Z. Standard Single and Basal Crop Coefficients for Field Crops. Updates and Advances to the FAO56 Crop Water Requirements Method. Agric. Water Manag. 2021, 243. [Google Scholar] [CrossRef]
- Pereira, L.S.; Paredes, P.; López-Urrea, R.; Hunsaker, D.J.; Mota, M.; Mohammadi Shad, Z. Standard Single and Basal Crop Coefficients for Vegetable Crops, an Update of FAO56 Crop Water Requirements Approach. Agric. Water Manag. 2021, 243. [Google Scholar] [CrossRef]
- Jensen, M.E.; Burman, R.D.; Allen, R.G. Evapotranspiration and Irrigation Water Requirements; American Society of Civil Engineers: Reston, VA, USA, 1990; Volume 70, p. 332. [Google Scholar]
- Berengena, J.; Gavilán, P. Reference Evapotranspiration Estimation in a Highly Advective Semiarid Environment. J. Irrig. Drain Eng. 2005, 131, 147–163. [Google Scholar] [CrossRef]
- López-Urrea, R.; Martín de Santa Olalla, F.; Fabeiro, C.; Moratalla, A. Testing Evapotranspiration Equations Using Lysimeter Observations in a Semiarid Climate. Agric. Water Manag. 2006, 85, 15–26. [Google Scholar] [CrossRef]
- Howell, T.A.; Evett, S.R.; Tolk, J.A.; Copeland, K.S.; Marek, T.H. Evapotranspiration, Water Productivity and Crop Coefficients for Irrigated Sunflower in the U.S. Southern High Plains. Agric. Water Manag. 2015, 162, 33–46. [Google Scholar] [CrossRef]
- Trigo, I.F.; de Bruin, H.; Beyrich, F.; Bosveld, F.C.; Gavilán, P.; Groh, J.; López-Urrea, R. Validation of Reference Evapotranspiration from Meteosat Second Generation (MSG) Observations. Agric. For. Meteorol. 2018, 259, 271–285. [Google Scholar] [CrossRef]
- Allen, R.G.; Pereira, L.S.; Howell, T.A.; Jensen, M.E. Evapotranspiration Information Reporting: I. Factors Governing Measurement Accuracy. Agric. Water Manag. 2011, 98, 899–920. [Google Scholar] [CrossRef] [Green Version]
- Evett, S.R.; Schwartz, R.C.; Howell, T.A.; Louis Baumhardt, R.; Copeland, K.S. Can Weighing Lysimeter ET Represent Surrounding Field ET Well Enough to Test Flux Station Measurements of Daily and Sub-Daily ET? Adv. Water Resour. 2012, 50, 79–90. [Google Scholar] [CrossRef]
- Howell, T.A. LYSIMETRY. In Encyclopedia of Soils in the Environment; Elsevier Ltd.: Amsterdam, The Netherlands, 2005; pp. 379–386. [Google Scholar]
- Payero, J.O.; Irmak, S. Construction, Installation, and Performance of Two Repacked Weighing Lysimeters. Irrig. Sci. 2008, 26, 191–202. [Google Scholar] [CrossRef] [Green Version]
- Ruiz-Peñalver, L.; Vera-Repullo, J.A.; Jiménez-Buendía, M.; Guzmán, I.; Molina-Martínez, J.M. Development of an Innovative Low Cost Weighing Lysimeter for Potted Plants: Application in Lysimetric Stations. Agric. Water Manag. 2015, 151, 103–113. [Google Scholar] [CrossRef]
- Nicolás-Cuevas, J.A.; Parras-Burgos, D.; Soler-Méndez, M.; Ruiz-Canales, A.; Molina-Martínez, J.M. Removable Weighing Lysimeter for Use in Horticultural Crops. Appl. Sci. 2020, 10, 4865. [Google Scholar] [CrossRef]
- Ruth, C.E.; Michel, D.; Hirschi, M.; Seneviratne, S.I. Comparative Study of a Long-Established Large Weighing Lysimeter and a State-of-the-Art Mini-Lysimeter. Vadose Zone J. 2018, 17, 170026. [Google Scholar] [CrossRef] [Green Version]
- Martí, P.; González-Altozano, P.; López-Urrea, R.; Mancha, L.A.; Shiri, J. Modeling Reference Evapotranspiration with Calculated Targets. Assessment and Implications. Agric. Water Manag. 2015, 149, 81–90. [Google Scholar] [CrossRef]
- López-Urrea, R.; Martínez-Molina, L.; de la Cruz, F.; Montoro, A.; González-Piqueras, J.; Odi-Lara, M.; Sánchez, J.M. Evapotranspiration and Crop Coefficients of Irrigated Biomass Sorghum for Energy Production. Irrig. Sci. 2016, 34, 287–296. [Google Scholar] [CrossRef]
- López-Urrea, R.; Montoro, A.; López-Fuster, P.; Fereres, E. Evapotranspiration and Responses to Irrigation of Broccoli. Agric. Water Manag. 2009, 96, 1155–1161. [Google Scholar] [CrossRef]
- Montoro, A.; Urrea, R.L.; Mañas, F.; Fuster, P.L.; Fereres, E. Evapotranspiration of Grapevines Measured by a Weighing Lysimeter in La Mancha, Spain; International Society for Horticultural Science: Leuven, Belgium, 2008; Volume 792, pp. 459–466. [Google Scholar]
- López-Urrea, R.; Montoro, A.; Mañas, F.; López-Fuster, P.; Fereres, E. Evapotranspiration and Crop Coefficients from Lysimeter Measurements of Mature “Tempranillo” Wine Grapes. Agric. Water Manag. 2012, 112, 13–20. [Google Scholar] [CrossRef]
- Sánchez, J.M.; López-Urrea, R.; Valentín, F.; Caselles, V.; Galve, J.M. Lysimeter Assessment of the Simplified Two-Source Energy Balance Model and Eddy Covariance System to Estimate Vineyard Evapotranspiration. Agric. For. Meteorol. 2019, 274, 172–183. [Google Scholar] [CrossRef]
- Sánchez, J.M.; López-Urrea, R.; Doña, C.; Caselles, V.; González-Piqueras, J.; Niclòs, R. Modeling Evapotranspiration in a Spring Wheat from Thermal Radiometry: Crop Coefficients and E/T Partitioning. Irrig. Sci. 2015, 33, 399–410. [Google Scholar] [CrossRef]
- Soldevilla-Martinez, M.; Quemada, M.; López-Urrea, R.; Muñoz-Carpena, R.; Lizaso, J.I. Soil Water Balance: Comparing Two Simulation Models of Different Levels of Complexity with Lysimeter Observations. Agric. Water Manag. 2014, 139, 53–63. [Google Scholar] [CrossRef]
- Allen, R.; Pereira, L.; Raes, D.; Smith, M. Crop Evapotranspiration-Guidelines for Computing Crop Water Requirements; FAO Irrigation and Drainage Paper 56; FAO: Rome, Italy, 1998; p. 300. [Google Scholar]
- Natural Resources Conservation Service Soil Survey Staff. Soil Taxonomy; United States Department of Agriculture Keys: Washington, DC, USA, 2014.
- Allen, R.G.; Pereira, L.S.; Howell, T.A.; Jensen, M.E. Evapotranspiration Information Reporting: II. Recommended Documentation. Agric. Water Manag. 2011, 98, 921–929. [Google Scholar] [CrossRef]
- Soler-Méndez, M.; Parras-Burgos, D.; Mas-Espinosa, E.; Ruíz-Canales, A.; Intrigliolo, D.S.; Molina-Martínez, J.M. Standardization of the Dimensions of a Portable Weighing Lysimeter Designed to Be Applied to Vegetable Crops in Mediterranean Climates. Sustainability 2021, 13, 2210. [Google Scholar] [CrossRef]
- Lancashire, P.D.; Bleiholder, H.; Van Den Boom, T.; Langeluddeke, P.; Stausss, R.; Weber, E.; Witzenberger, A. A Uniform Decimal Code for Growth Stages of Crops and Weeds. Ann. Appl. Biol. 1991, 119, 561–601. [Google Scholar] [CrossRef]
- Hack, H.; Gall, H.; Klemcke, T.; Klose, R.; Meier, U.; Strauss, R.; Witzen-berger, A. Phänologische Entwicklungsstadien Der Kartoffel (Solanum Tuberosum L.). Codierung Und Beschreibung Nach Der Erweiterten BBCH-Skala Mit Abbildungen. Nachrichtenbl. Deut. Pflanzenschutzd 1993, 45, 11–19. [Google Scholar]
- Cihlar, J.; Dobson, M.C.; Schmugge, T.; Hoogeboom, P.; Janse, A.R.P.; Baret, F.; Guyot, G.; Le Toan, T.; Pampaloni, P. Review Article Procedures for the Description of Agricultural Crops and Soils in Optical and Microwave Remote Sensing Studies. Int. J. Remote Sens. 1987, 8, 427–439. [Google Scholar] [CrossRef]
- Willmott, C.J. Some Comments on the Evaluation of Model Performance. Bull. Am. Meteorol. Soc. 1982, 63, 1309–1313. [Google Scholar] [CrossRef] [Green Version]
- R Core Team, R. A Language and Environment for Statistical Computing; R Core Team: Vienna, Austria, 2019. [Google Scholar]
- Pütz, T.; Fank, J.; Flury, M. Lysimeters in Vadose Zone Research. Vadose Zone J. 2018, 17, 180035. [Google Scholar] [CrossRef] [Green Version]
- Misra, R.K.; Padhi, J.; Payero, J.O. A Calibration Procedure for Load Cells to Improve Accuracy of Mini-Lysimeters in Monitoring Evapotranspiration. J. Hydrol. 2011, 406, 113–118. [Google Scholar] [CrossRef] [Green Version]
- Chávez, J.L.; Howell, T.A.; Copeland, K.S. Evaluating Eddy Covariance Cotton ET Measurements in an Advective Environment with Large Weighing Lysimeters. Irrig. Sci. 2009, 28, 35–50. [Google Scholar] [CrossRef]
- López-Urrea, R.; Chávez, J.L. One-Step Approach for Estimating Maize Actual Water Use: Part II. Lysimeter Evaluation of Variable Surface Resistance Models. Irrig. Sci. 2019, 37, 139–150. [Google Scholar] [CrossRef]
- Allen, R.G.; Walter, I.A.; Elliott, R.L.; Howell, T.A.; Itenfisu, D.; Jensen, M.E.; Snyder, R.L. The ASCE Standardized Reference Evapotranspiration Equation; American Society of Civil Engineers: Reston, VA, USA, 2005. [Google Scholar]
- Araya, A.; Habtu, S.; Haile, M.; Sisay, F.; Dejenie, T. Determination of Local Barley (Hordeum Vulgare) Crop Coefficient and Comparative Assessment of Water Productivity for Crops Grown Under the Present Pond Water in Tigray, Northern Ethiopia. Momona Ethiop. J. Sci. 2011, 3, 65–79. [Google Scholar] [CrossRef]
- Pozníková, G.; Fischer, M.; Pohanková, E.; Trnka, M. Analyses of Spring Barley Evapotranspiration Rates Based on Gradient Measurements and Dual Crop Coefficient Model. Acta Univ. Agric. Et Silvic. Mendel. Brun. 2014, 62, 1079–1086. [Google Scholar] [CrossRef] [Green Version]
- Pereira, L.S.; Paredes, P.; Rodrigues, G.C.; Neves, M. Modeling Malt Barley Water Use and Evapotranspiration Partitioning in Two Contrasting Rainfall Years. Assessing AquaCrop and SIMDualKc Models. Agric. Water Manag. 2015, 159, 239–254. [Google Scholar] [CrossRef]
- Sousa, V.; Pereira, L.S. Regional Analysis of Irrigation Water Requirements Using Kriging Application to Potato Crop (Solanum Tuberosum L.) at TraÂs-Os-Montes. Agric. Water Manag. 1999, 40, 221–233. [Google Scholar] [CrossRef]
- Zairi, A.; El Amami, H.; Slatni, A.; Pereira, L.S.; Rodrigues, P.N.; Machado, T. Coping with Drought: Deficit Irrigation Strategies for Cereals and Field Horticultural Crops in Central Tunisia. In Tools for Drought Mitigation in Mediterranean Regions; Rossi, G., Cancelliere, A., Pereira, L.S., Oweis, T., Shatanawi, M., Zairi, A., Eds.; Springer: Dordrecht, The Netherlands, 2003; pp. 181–201. ISBN 978-94-010-0129-8. [Google Scholar]
- Tasumi, M.; Allen, R.G. Satellite-Based ET Mapping to Assess Variation in ET with Timing of Crop Development. Agric. Water Manag. 2007, 88, 54–62. [Google Scholar] [CrossRef]
- Paredes, P.; D’Agostino, D.; Assif, M.; Todorovic, M.; Pereira, L.S. Assessing Potato Transpiration, Yield and Water Productivity under Various Water Regimes and Planting Dates Using the FAO Dual Kc Approach. Agric. Water Manag. 2018, 195, 11–24. [Google Scholar] [CrossRef]
- Martínez-Romero, A.; Domínguez, A.; Landeras, G. Regulated Deficit Irrigation Strategies for Different Potato Cultivars under Continental Mediterranean-Atlantic Conditions. Agric. Water Manag. 2019, 216, 164–176. [Google Scholar] [CrossRef]
- Villalobos, F.J.; Fereres, E. Evaporation Measurements beneath Corn, Cotton, and Sunflower Canopies. Agron. J. 1990, 82, 1153–1159. [Google Scholar] [CrossRef]
- Goodwin, I.; Whitfield, D.M.; Connor, D.J. Effects of Tree Size on Water Use of Peach (Prunus Persica L. Batsch). Irrig. Sci. 2006, 24, 59–68. [Google Scholar] [CrossRef]
- Bryla, D.R.; Trout, T.J.; Ayars, J.E. Weighing Lysimeters for Developing Crop Coefficients and Efficient Irrigation Practices for Vegetable Crops. HortScience 2010, 45, 1597–1604. [Google Scholar] [CrossRef] [Green Version]
- Trout, T.J.; DeJonge, K.C. Crop Water Use and Crop Coefficients of Maize in the Great Plains. J. Irrig. Drain. Eng. 2018, 144, 04018009. [Google Scholar] [CrossRef]
- Tanner, C.B.; Jury, W.A. Estimating Evaporation and Transpiration from a Row Crop during Incomplete Cover 1. Agron. J. 1976, 68, 239–243. [Google Scholar] [CrossRef]
- López-Urrea, R.; Montoro, A.; Trout, T.J. Consumptive Water Use and Crop Coefficients of Irrigated Sunflower. Irrig. Sci. 2014, 32, 99–109. [Google Scholar] [CrossRef]
- López-Urrea, R.; Montoro, A.; González-Piqueras, J.; López-Fuster, P.; Fereres, E. Water Use of Spring Wheat to Raise Water Productivity. Agric. Water Manag. 2009, 96, 1305–1310. [Google Scholar] [CrossRef]
- Lozano, D.; Ruiz, N.; Gavilán, P. Consumptive Water Use and Irrigation Performance of Strawberries. Agric. Water Manag. 2016, 169, 44–51. [Google Scholar] [CrossRef]
- Picón-Toro, J.; González-Dugo, V.; Uriarte, D.; Mancha, L.A.; Testi, L. Effects of Canopy Size and Water Stress over the Crop Coefficient of a “Tempranillo” Vineyard in South-Western Spain. Irrig. Sci. 2012, 30, 419–432. [Google Scholar] [CrossRef] [Green Version]
- Ferreira, M.I.; Silvestre, J.; Conceição, N.; Malheiro, A.C. Crop and Stress Coefficients in Rainfed and Deficit Irrigation Vineyards Using Sap Flow Techniques. Irrig. Sci. 2012, 30, 433–447. [Google Scholar] [CrossRef]
- Montoro, A.; Mañas, F.; López-Urrea, R. Transpiration and Evaporation of Grapevine, Two Components Related to Irrigation Strategy. Agric. Water Manag. 2016, 177, 193–200. [Google Scholar] [CrossRef]
- Grattan, S.R.; Bowers, W.; Dong, A.; Snyder, R.L.; Carroll, J.J.; George, W. New Crop Coefficients Estimate Water Use of Vegetables, Row Crops. Calif. Agric. 1998, 52, 16–21. [Google Scholar] [CrossRef] [Green Version]
- Johnson, L.F.; Trout, T.J. Satellite NDVI Assisted Monitoring of Vegetable Crop Evapotranspiration in California’s San Joaquin Valley. Remote Sens. 2012, 4, 439–455. [Google Scholar] [CrossRef] [Green Version]









| Crop | Kc mid (obs) (Kc mid (std)) | Kc end (obs) (Kc end (std)) | Kcb mid (obs) (Kcb mid (std)) | Kcb end (obs) (Kcb end (std)) | * Zr max (m) | hmax (m) | fc max | 
|---|---|---|---|---|---|---|---|
| Barley | 1.11 (1.05) | 0.30 (na) | 1.06 (1.00) | 0.25 (na) | 0.40 | 0.70 | 0.88 | 
| Potato | 1.12 (1.06) | 0.65 (0.58) | 1.08 (1.02) | 0.45 (0.38) | 0.40 | 0.65 | 0.98 | 
| Publisher’s Note: MDPI stays neutral with regard to jurisdictional claims in published maps and institutional affiliations. | 
© 2021 by the authors. Licensee MDPI, Basel, Switzerland. This article is an open access article distributed under the terms and conditions of the Creative Commons Attribution (CC BY) license (https://creativecommons.org/licenses/by/4.0/).
Share and Cite
López-Urrea, R.; Pardo, J.J.; Simón, L.; Martínez-Romero, Á.; Montoya, F.; Tarjuelo, J.M.; Domínguez, A. Assessing a Removable Mini-Lysimeter for Monitoring Crop Evapotranspiration Using a Well-Established Large Weighing Lysimeter: A Case Study for Barley and Potato. Agronomy 2021, 11, 2067. https://doi.org/10.3390/agronomy11102067
López-Urrea R, Pardo JJ, Simón L, Martínez-Romero Á, Montoya F, Tarjuelo JM, Domínguez A. Assessing a Removable Mini-Lysimeter for Monitoring Crop Evapotranspiration Using a Well-Established Large Weighing Lysimeter: A Case Study for Barley and Potato. Agronomy. 2021; 11(10):2067. https://doi.org/10.3390/agronomy11102067
Chicago/Turabian StyleLópez-Urrea, Ramón, José Jesús Pardo, Llanos Simón, Ángel Martínez-Romero, Francisco Montoya, José María Tarjuelo, and Alfonso Domínguez. 2021. "Assessing a Removable Mini-Lysimeter for Monitoring Crop Evapotranspiration Using a Well-Established Large Weighing Lysimeter: A Case Study for Barley and Potato" Agronomy 11, no. 10: 2067. https://doi.org/10.3390/agronomy11102067
APA StyleLópez-Urrea, R., Pardo, J. J., Simón, L., Martínez-Romero, Á., Montoya, F., Tarjuelo, J. M., & Domínguez, A. (2021). Assessing a Removable Mini-Lysimeter for Monitoring Crop Evapotranspiration Using a Well-Established Large Weighing Lysimeter: A Case Study for Barley and Potato. Agronomy, 11(10), 2067. https://doi.org/10.3390/agronomy11102067
 
         
                                                


 
       