The C4 Atriplex halimus vs. the C3 Atriplex hortensis: Similarities and Differences in the Salinity Stress Response
Abstract
:1. Introduction
2. Materials and Methods
2.1. Acronyms
2.2. Plant Material and Growth Conditions
2.3. Treatments and Experimental Design
2.4. Growth and Yield Assessment
2.5. Plant Water Relations
2.6. Electrolyte Leakage
2.7. Leaf Gas Exchange and Chlorophyll Fluorescence
2.8. Mineral Elements
2.9. Total Carbon and Nitrogen Content and Carbon Isotope Ratio
2.10. Spectroscopic Characterisation
2.11. Statistical Analysis
3. Results
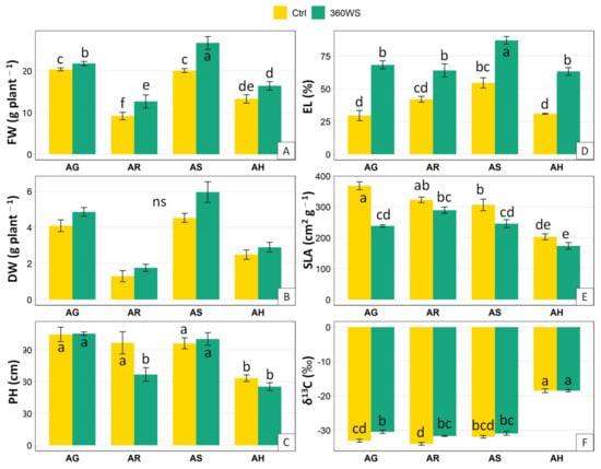
3.1. Plant Growth
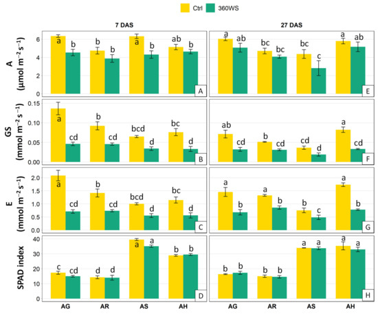
3.2. Photosynthesis and Leaf Gas Exchange
3.3. Chlorophyll Fluorescence
3.4. Water Relations
3.5. Element Vector Analysis
3.6. Physiological Traits Relationships and Results of the Multivariate Analysis
3.7. FT-IR Spectroscopy
4. Discussion
5. Conclusions
Supplementary Materials
Author Contributions
Funding
Institutional Review Board Statement
Informed Consent Statement
Data Availability Statement
Conflicts of Interest
References
- United Nation. World Population Prospects 2019: Highlights (ST/ESA/SER.A/423); United Nation–Department of Economics and Social Affairs, Population Division: New York, NY, USA, 2019. [Google Scholar]
- Hunter, M.C.; Smith, R.G.; Schipanski, M.E.; Atwood, L.W.; Mortensen, D.A. Agriculture in 2050: Recalibrating targets for sustainable intensification. Bioscience 2017, 67, 386–391. [Google Scholar] [CrossRef] [Green Version]
- Lal, R. Enhancing crop yields in the developing countries through restoration of the soil organic carbon pool in agricultural lands. Land Degrad. Dev. 2006, 17, 197–209. [Google Scholar] [CrossRef]
- Schjønning, P.; Jensen, J.L.; Bruun, S.; Jensen, L.S.; Christensen, B.T.; Munkholm, L.J.; Oelofse, M.; Baby, S.; Knudsen, L. The Role of Soil Organic Matter for Maintaining Crop Yields: Evidence for a Renewed Conceptual Basis. Adv. Agron. 2018, 150, 35–79. [Google Scholar]
- Godde, C.M.; Thorburn, P.J.; Biggs, J.S.; Meier, E.A. Understanding the impacts of soil, climate, and farming practices on soil organic carbon sequestration: A simulation study in Australia. Front. Plant Sci. 2016, 7, 1–15. [Google Scholar] [CrossRef] [PubMed] [Green Version]
- Blanco-Canqui, H.; Shapiro, C.A.; Wortmann, C.S.; Drijber, R.A.; Mamo, M.; Shaver, T.M.; Ferguson, R.B. Soil organic carbon: The value to soil properties. J. Soil Water Conserv. 2013, 68, 129A–134A. [Google Scholar] [CrossRef]
- Lal, R. Soils as source and sink of environmental carbon dioxide. In Molecular Environmental Soil Science at the Interfaces in the Earth’s Critical Zone; Xu, J., Huang, P.M., Eds.; Springer: Berlin/Heidelberg, Germany, 2010; pp. 11–12. ISBN 978-3-642-05297-2. [Google Scholar]
- Oelkers, E.H.; Cole, D.R. Carbon dioxide sequestration: A solution to a global problem. Elements 2008, 4, 305–310. [Google Scholar] [CrossRef]
- Lorenz, K.; Lal, R. Carbon Sequestration in Agricultural Ecosystems; Springer: Dordrecht, The Netherlands, 2018; ISBN 9783319923185. [Google Scholar]
- Ruddiman, W.F. The anthropogenic greenhouse era began thousands of years ago. Clim. Chang. 2003, 61, 261–293. [Google Scholar] [CrossRef]
- Lal, R.; Smith, P.; Jungkunst, H.F.; Mitsch, W.J.; Lehmann, J.; Ramachandran Nair, P.K.; McBratney, A.B.; De Moraes Sá, J.C.; Schneider, J.; Zinn, Y.L.; et al. The carbon sequestration potential of terrestrial ecosystems. J. Soil Water Conserv. 2018, 73, 145A–152A. [Google Scholar] [CrossRef] [Green Version]
- Food and Agriculture Organization of the United Nations. RECSOIL-Recarbonization of Global Soils; FAO: Rome, Italy, 2019. [Google Scholar]
- Torn, M.S.; Swanston, C.W.; Castanha, C.; Trumbore, S.E. Storage and Turnover of Organic Matter in Soil; Wiley: Hoboken, NJ, USA, 2009; ISBN 9780470413005. [Google Scholar]
- Abbas, A.; Khan, S.; Hussain, N.; Hanjra, M.A.; Akbar, S. Characterizing soil salinity in irrigated agriculture using a remote sensing approach. Phys. Chem. Earth 2013, 55–57, 43–52. [Google Scholar] [CrossRef]
- Glenn, E.; Squires, V.; Olsen, M.; Frye, R. Potential for carbon sequestration in the drylands. Water Air Soil Pollut. 1993, 70, 341–355. [Google Scholar] [CrossRef]
- Ritson, P.; Clarke, M.; Killen, A.; Jeffery, S. Testing Carbon Farming Opportunities for Salinity Management; Department of Primary Industries and Regional Development: Perth, Australia, 2015; ISBN 9780992332310. [Google Scholar]
- Liu, X.; Ruecker, A.; Song, B.; Xing, J.; Conner, W.H.; Chow, A.T. Effects of salinity and wet–dry treatments on C and N dynamics in coastal-forested wetland soils: Implications of sea level rise. Soil Biol. Biochem. 2017, 112, 56–67. [Google Scholar] [CrossRef] [Green Version]
- Setia, R.; Gottschalk, P.; Smith, P.; Marschner, P.; Baldock, J.; Setia, D.; Smith, J. Soil salinity decreases global soil organic carbon stocks. Sci. Total Environ. 2013, 465, 267–272. [Google Scholar] [CrossRef] [PubMed]
- Yang, J.; Zhan, C.; Li, Y.; Zhou, D.; Yu, Y.; Yu, J. Effect of salinity on soil respiration in relation to dissolved organic carbon and microbial characteristics of a wetland in the Liaohe River estuary, Northeast China. Sci. Total Environ. 2018, 642, 946–953. [Google Scholar] [CrossRef] [PubMed]
- Mishra, A.; Sharma, S.D. Leguminous trees for the restoration of degraded sodic wasteland in Eastern Uttar Pradesh, India. L. Degrad. Dev. 2003, 14, 245–261. [Google Scholar] [CrossRef]
- Qadir, M.; Noble, A.D.; Oster, J.D.; Schubert, S.; Ghafoor, A. Driving forces for sodium removal during phytoremediation of calcareous sodic and saline–sodic soils: A review. Soil Use Manag. 2005, 21, 173–180. [Google Scholar] [CrossRef]
- Qadir, M.; Oster, J.D.; Schubert, S.; Noble, A.D.; Sahrawat, K.L. Phytoremediation of sodic and saline-aodic Soils. In Advances in Agronomy; Elsevier: Amsterdam, The Netherlands, 2007; Volume 96, pp. 197–247. ISBN 0123742064. [Google Scholar]
- Wong, V.N.L.; Murphy, B.W.; Koen, T.B.; Greene, R.S.B.; Dalal, R.C. Soil organic carbon stocks in saline and sodic landscapes. Aust. J. Soil Res. 2008, 46, 378–389. [Google Scholar] [CrossRef]
- Glenn, E.P.; Lieth, H.; Hodges, C.N.; Pielke, R.; Pitelka, L. Growing halophytes to remove carbon from the atmosphere. Environ. Washingt. 1992, 34, 40–44. [Google Scholar] [CrossRef]
- Calone, R.; Bregaglio, S.; Sanoubar, R.; Noli, E.; Lambertini, C.; Barbanti, L. Physiological adaptation to water salinity in six wild halophytes suitable for mediterranean agriculture. Plants 2021, 10, 309. [Google Scholar] [CrossRef] [PubMed]
- Le Houérou, H.N. Salt-tolerant plants for the arid regions of the Mediterranean isoclimatic zone. In Towards the Rational Use of High Salinity Tolerant Plants; Springer: Dordrecht, The Netherlands, 1993; Volume I, pp. 403–422. [Google Scholar]
- Walden, L.L.; Harper, R.J.; Sochacki, S.J.; Montagu, K.D.; Wocheslander, R.; Clarke, M.; Ritson, P.; Emms, J.; Davoren, C.W.; Mowat, D.; et al. Mitigation of carbon using Atriplex nummularia revegetation. Ecol. Eng. 2017, 106, 253–262. [Google Scholar] [CrossRef] [Green Version]
- Zucca, C.; Arrieta Garcia, S.; Deroma, M.; Madrau, S. Organic carbon and alkalinity increase in topsoil after rangeland restoration through atriplex nummularia plantation. Land Degrad. Dev. 2016, 27, 573–582. [Google Scholar] [CrossRef]
- Asgari, H.R.; SolaimaniSardo, M.; Kiani, F.; Heshmati, G.A. Effects of planting haloxylon and atriplex on soil carbon sequestration in desertified land reclamation (Case Study: Kerman Province). Int. J. Environ. Resour. Res. 2013, 1, 131–140. [Google Scholar]
- Roya, V.; Reza, A.H.; Majid, O.; Bairam, K.C. Evaluating the relationship between atriplex halimus density with soil carbon sequestration (Case study: Semi-Arid Rangeland of Incheborun, Golestan Province). J. Range Watershed Manag. 2015, 68, 173–180. [Google Scholar]
- Vazirian, R.; Ownegh, M. Effect of Atriplex halimus on Indicators of soil erodibility (Case Study: Incheborun, Golestan Province). Int. J. Adv. Biol. Biomed. Res. 2014, 2, 1985–1990. [Google Scholar]
- Walker, D.J.; Lutts, S.; Sánchez-García, M.; Correal, E. Atriplex halimus L.: Its biology and uses. J. Arid Environ. 2014, 100–101, 111–121. [Google Scholar] [CrossRef]
- Bienes, R.; Marques, M.J.; Ruiz-colmenero, M.; Arevalo, D.; Sastre, B. Effects of shrub revegetation with Atriplex halimus L. and Retama sphaerocarpa L. in gypsiferous soils. Influence in soil properties. In Proceedings of the Conference: EGU General Assembly 2014, Vienna, Austria, 27 April–2 May 2014; Volume 16, p. 2153. [Google Scholar]
- Abdel-Fattah, M.K. Potential use of halophytes in combination with gypsum to reclaim and restore saline-sodic soils in Egypt. Malays. J. Soil Sci. 2015, 19, 131–139. [Google Scholar]
- Gharaibeh, M.A.; Eltaif, N.I.; Albalasmeh, A.A. Reclamation of highly calcareous saline sodic soil using Atriplex halimus and by-product gypsum. Int. J. Phytoremediation 2011, 13, 873–883. [Google Scholar] [CrossRef]
- Al-Satari, Y.; Al-Dein Al-Ramamneh, E.; Ayad, J.; Dalbouh, M.A.; Amayreh, I.; Khreisat, Z. Impact of seedling age on the survival and productivity of Atriplex halimus shrubs in drought-affected rangelands of Jordan. Rangel. J. 2018, 40, 287–296. [Google Scholar] [CrossRef]
- Osman, A.E.; Bahhady, F.; Hassan, N.; Ghassali, F.; Al Ibrahim, T. Livestock production and economic implications from augmenting degraded rangeland with Atriplex halimus and Salsola vermiculata in northwest Syria. J. Arid Environ. 2006, 65, 474–490. [Google Scholar] [CrossRef]
- Abu-Zanat, M.M.W.; Al-Ghaithi, A.K.; Akash, M.W. Effect of Planting Atriplex seedlings in micro-catchments on attributes of natural vegetation in arid rangelands. J. Arid Environ. 2020, 180, 104199. [Google Scholar] [CrossRef]
- Tapia, Y.; Diaz, O.; Pizarro, C.; Segura, R.; Vines, M.; Zúñiga, G.; Moreno-Jiménez, E. Atriplex atacamensis and Atriplex halimus resist As contamination in Pre-Andean soils (northern Chile). Sci. Total Environ. 2013, 450–451, 188–196. [Google Scholar] [CrossRef]
- Martínez-Fernández, D.; Walker, D.J. The effects of soil amendments on the growth of Atriplex halimus and Bituminaria bituminosa in heavy metal-contaminated soils. Water. Air Soil Pollut. 2012, 223, 63–72. [Google Scholar] [CrossRef]
- Manousaki, E.; Kalogerakis, N. Phytoextraction of Pb and Cd by the Mediterranean saltbush (AtripLex halimus L.): Metal uptake in relation to salinity. Environ. Sci. Pollut. Res. 2009, 16, 844–854. [Google Scholar] [CrossRef] [PubMed]
- Suaire, R.; Durickovic, I.; Framont-Terrasse, L.; Leblain, J.Y.; De Rouck, A.C.; Simonnot, M.O. Phytoextraction of Na+ and Cl− by Atriplex halimus L. and Atriplex hortensis L.: A promising solution for remediation of road runoff contaminated with deicing salts. Ecol. Eng. 2016, 94, 182–189. [Google Scholar] [CrossRef]
- Acosta, J.A.; Abbaspour, A.; Martínez, G.R.; Martínez-Martínez, S.; Zornoza, R.; Gabarrón, M.; Faz, A. Phytoremediation of mine tailings with Atriplex halimus and organic/inorganic amendments: A five-year field case study. Chemosphere 2018, 204, 71–78. [Google Scholar] [CrossRef] [PubMed]
- Pérez-Esteban, J.; Escolástico, C.; Ruiz-Fernández, J.; Masaguer, A.; Moliner, A. Bioavailability and extraction of heavy metals from contaminated soil by Atriplex halimus. Environ. Exp. Bot. 2013, 88, 53–59. [Google Scholar] [CrossRef] [Green Version]
- Al-Satari, Y.A.R. Intercropping of Atriplex halimus, Salsola vermiculata and Barley for sustainable feed production under rangeland conditions in Jordan. IMPACT Int. J. Res. Appl. Nat. Soc. Sci. (IMPACT IJRANSS) 2014, 2, 67–72. [Google Scholar]
- Ghassali, F.; Osman, A.E.; Singh, M.; Norton, B.; Louhaichi, M.; Tiedeman, J. Potential use of Mediterranean saltbush (Atriplex halimus L.) in alley cropping in the low rainfall-cropping zone of Northwest Syria. Range Manag. Agrofor. 2011, 32, 1–8. [Google Scholar]
- Kachout, S.S.; Ben Mansoura, A.; Jaffel, K.; Leclerc, J.C.; Rejeb, M.N.; Ouerghi, Z. The effect of salinity on the growth of the halophyte Atriplex hortensis (Chenopodiaceae). Appl. Ecol. Environ. Res. 2010, 7, 319–332. [Google Scholar] [CrossRef]
- Wilson, C.; Lesch, S.M.; Grieve, C.M. Growth stage modulates salinity tolerance of New Zealand spinach (Tetragonia tetragonioides Pall.) and red orach (Atriplex hortensis L.). Ann. Bot. 2000, 85, 501–509. [Google Scholar] [CrossRef] [Green Version]
- Sai Kachout, S.; Leclerc, J.C.; Ben Mansoura, A.; Rejeb, M.N.; Ouerghi, Z. Effects of heavy metals on growth and bioaccumulation of the annual halophytes Atriplex hortensis and A. rosea. J. Appl. Sci. Res. 2009, 5, 746–756. [Google Scholar]
- Rinchen, T.; Singh, N.; Bhadur, S.M. Mineral content estimation in Atriplex hortensis L., an indigenous vegetable of Trans-Himalayan region of Ladakh, India. Res. Crop. 2019, 20, 135–140. [Google Scholar]
- Rinchen, T.; Singh, N. Exploring nutritional potential of Atriplex hortensis. Indian Hortic. 2015, 60, 16–17. [Google Scholar]
- Wright, K.H.; Pike, O.A.; Fairbanks, D.J.; Huber, C.S. Composition of Atriplex hortensis, sweet and bitter Chenopodium quinoa seeds. J. Food Sci. 2002, 67, 1383–1385. [Google Scholar] [CrossRef]
- Carlsson, R.; Clarke, E.M.W. Atriplex hortensis L. as a leafy vegetable, and as a leaf protein concentrate plant. Qual. Plant. Plant Foods Hum. Nutr. 1983, 33, 127–133. [Google Scholar] [CrossRef]
- Khan, M.M.; Al-Mas’oudi, R.S.M.; Al-Said, F.; Khan, I. Salinity Effects on Growth, Electrolyte Leakage, Chlorophyll Content and Lipid Peroxidation in Cucumber (Cucumis sativus L.). In Proceedings of the International Conference on Food and Agricultural Sciences, Melaka, Malaysia, 7–8 October 2013; IACSIT Press: Singapore, 2013; Volume 55. [Google Scholar]
- Smart, R.E.; Bingham, G.E. Rapid Estimates of Relative Water Content. Plant Physiol. 1974, 53, 258–260. [Google Scholar] [CrossRef] [Green Version]
- Fieller, E.C.; Pearson, E.S. Tests for rank correlation coefficients. I. Biometrika 1957, 44, 470–481. [Google Scholar] [CrossRef]
- Fox, J.; Weisberg, S. An R Companion to Applied Regression, 3rd ed.; Sage: Thousand Oaks, CA, USA, 2019. [Google Scholar]
- Lenth, R.V.; Buerkner, P.; Herve, M.; Love, J.; Riebl, H.; Singmann, H. Emmeans: Estimated Marginal Means, aka LeastSquares Means. R pack. Available online: https://cran.r-project.org/web/packages/emmeans/index.html (accessed on 30 June 2021).
- Lê, S.; Josse, J.; Husson, F. FactoMineR: An R package for multivariate analysis. J. Stat. Softw. 2008, 25, 1–18. [Google Scholar] [CrossRef] [Green Version]
- Wickham, H. ggplot2: Elegant Graphics for Data Analysis. Available online: https://ggplot2.tidyverse.org/reference/ (accessed on 18 June 2021).
- Wei, T.; Simko, V. R package ’corrplot’: Visualization of a Correlation Matrix. (Version 0.90). Available online: https://github.com/taiyun/corrplot (accessed on 21 June 2021).
- Sun, X.F.; Xu, F.; Sun, R.C.; Fowler, P.; Baird, M.S. Characteristics of degraded cellulose obtained from steam-exploded wheat straw. Carbohydr. Res. 2005, 340, 97–106. [Google Scholar] [CrossRef] [PubMed]
- Westworth, S.; Ashwath, N.; Cozzolino, D. Application of FTIR-ATR spectrocopy to detect salinity response in Beauty Leaf Tree (Calophyllum inophyllam L). Energy Procedia 2019, 160, 761–768. [Google Scholar] [CrossRef]
- Zhou, G.; Taylor, G.; Polle, A. FTIR-ATR-based prediction and modelling of lignin and energy contents reveals independent intra-specific variation of these traits in bioenergy poplars. Plant Methods 2011, 7, 9. [Google Scholar] [CrossRef] [PubMed] [Green Version]
- Afifi, A.A.; Youssef, R.A.; Husseiny, M.M. Fourier transform infrared spectometry study on early stage of salt stress in jujube plant. Life Sci. J. 2013, 10, 1973–1981. [Google Scholar]
- El-Sakhawy, M.; Kamel, S.; Salama, A.; Tohamy, H.A.S. Preparation and infrared study of cellulose based amphiphilic materials. Cellul. Chem. Technol. 2018, 52, 193–200. [Google Scholar]
- Zaman, M.; Shahid, S.; Heng, L. Guideline for Salinity Assessment, Mitigation and Adaptation Using Nuclear and Related Techniques; Springer: Cham, Switzerland, 2018; ISBN 978-3-319-96189-7. [Google Scholar]
- Glenn, E.P.; Nelson, S.G.; Ambrose, B.; Martinez, R.; Soliz, D.; Pabendinskas, V.; Hultine, K. Comparison of salinity tolerance of three Atriplex spp. in well-watered and drying soils. Environ. Exp. Bot. 2012, 83, 62–72. [Google Scholar] [CrossRef]
- Shannon, M.C.; Grieve, C.M. Tolerance of vegetable crops to salinity. Sci. Hortic. 1998, 78, 5–38. [Google Scholar] [CrossRef]
- Hassine, A.B.; Lutts, S. Differential responses of saltbush Atriplex halimus L. exposed to salinity and water stress in relation to senescing hormones abscisic acid and ethylene. J. Plant Physiol. 2010, 167, 1448–1456. [Google Scholar] [CrossRef] [PubMed]
- Nedjimi, B.; Daoud, Y. Effects of calcium chloride on growth, membrane permeability and root hydraulic conductivity in two Atriplex species grown at high (sodium chloride) salinity. J. Plant Nutr. 2009, 32, 1818–1830. [Google Scholar] [CrossRef]
- Bouchenak, F.; Henri, P.; Benrebiha, F.Z.; Rey, P. Differential responses to salinity of two Atriplex halimus populations in relation to organic solutes and antioxidant systems involving thiol reductases. J. Plant Physiol. 2012, 169, 1445–1453. [Google Scholar] [CrossRef]
- Ayad, J.Y. Comparative effects of CaCl2 nad NaCl salinity on growth and Ion partitioning of Atriplex halimus L. Agric. Sci. 2010, 37, 82–90. [Google Scholar]
- Yepes, L.; Chelbi, N.; Vivo, J.M.; Franco, M.; Agudelo, A.; Carvajal, M.; del Martínez-Ballesta, M.C. Analysis of physiological traits in the response of Chenopodiaceae, Amaranthaceae, and Brassicaceae plants to salinity stress. Plant Physiol. Biochem. 2018, 132, 145–155. [Google Scholar] [CrossRef] [PubMed]
- Nippert, J.B.; Fay, P.A.; Knapp, A.K. Photosynthetic traits in C3 and C4 grassland species in mesocosm and field environments. Environ. Exp. Bot. 2007, 60, 412–420. [Google Scholar] [CrossRef]
- Sage, R.F. Synthetic evolution of C4 photosynthesis. New Phytol. 2004, 161, 341–370. [Google Scholar] [CrossRef]
- Collatz, G.; Ribas-Carbo, M.; Berry, J. Coupled photosynthesis-stomatal conductance model for leaves of C4 plants. Funct. Plant Biol. 1992, 19, 519. [Google Scholar] [CrossRef]
- Katschnig, D.; Broekman, R.; Rozema, J. Salt tolerance in the halophyte Salicornia dolichostachya Moss: Growth, morphology and physiology. Environ. Exp. Bot. 2013, 92, 32–42. [Google Scholar] [CrossRef]
- Marshall, J.D.; Zhang, J. Carbon isotope discrimination and water-use efficiency in native plants of the North-Central rockies. Ecology 1994, 75, 1887–1895. [Google Scholar] [CrossRef]
- Farquhar, G.D.; Ehleringer, R.; Hubick, K.T. Carbon isotope discrimination and photosynthesis. Annu. Rev. Plant Physiol. Plant Mol. Bioi. 1989. 1989, 40, 503–537. [Google Scholar] [CrossRef]
- O’Leary, M.H. Carbon isotope fractionation in plants. Phytochemistry 1981, 20, 553–567. [Google Scholar] [CrossRef]
- Basu, S.; Agrawal, S.; Sanyal, P.; Mahato, P.; Kumar, S.; Sarkar, A. Carbon isotopic ratios of modern C3-C4 plants from the Gangetic Plain, India and its implications to paleovegetational reconstruction. Palaeogeogr. Palaeoclimatol. Palaeoecol. 2015, 440, 22–32. [Google Scholar] [CrossRef]
- Sandquist, D.R.; Ehleringer, J.R. Carbon isotope discrimination in the C4 shrub Atriplex confertifolia along a salinity gradient. Great Basin Nat. 1995, 55, 135–141. [Google Scholar]
- Zhu, J.; Meinzer, F.C. Efficiency of C4 photosynthesis in Atriplex lentiformis under salinity stress. Aust. J. Plant Physiol. 1999, 26, 79–86. [Google Scholar]
- Reddy, M.; Vora, A. Salinity induced changes in pigment composition and chlorophyllase activity of wheat. Indian J. Plant Physiol. 1986, 29, 331–334. [Google Scholar]
- James, R.A.; Rivelli, A.R.; Munns, R.; Von Caemmerer, S. Factors affecting CO2 assimilation, leaf injury and growth in salt-stressed durum wheat. Funct. Plant Biol. 2002, 29, 1393–1403. [Google Scholar] [CrossRef]
- Li, Y.; Cui, L.; Yao, X.; Ding, X.; Pan, X.; Zhang, M.; Li, W.; Kang, X. Trade-off between leaf chlorophyll and betacyanins in Suaeda salsa in the Liaohe estuary wetland in northeast China. J. Plant Ecol. 2018, 11, 569–575. [Google Scholar] [CrossRef]
- Polturak, G.; Heinig, U.; Grossman, N.; Battat, M.; Leshkowitz, D.; Malitsky, S.; Rogachev, I.; Aharoni, A. transcriptome and metabolic profiling provides insights into betalain biosynthesis and evolution in Mirabilis jalapa. Mol. Plant 2018, 11, 189–204. [Google Scholar] [CrossRef] [Green Version]
- Boughalleb, F.; Denden, M.; Tiba, B.B. Photosystem II photochemistry and physiological parameters of three fodder shrubs, Nitraria retusa, Atriplex halimus and Medicago arborea under salt stress. Acta Physiol. Plant. 2009, 31, 463–476. [Google Scholar] [CrossRef]
- Marron, N.; Dreyer, E.; Boudouresque, E.; Delay, D.; Petit, J.M.; Delmotte, F.M.; Brignolas, F. Impact of successive drought and re-watering cycles on growth and specific leaf area of two Populus x canadensis (Moench) clones, “Dorskamp” and “Luisa_Avanzo”. Tree Physiol. 2003, 23, 1225–1235. [Google Scholar] [CrossRef] [Green Version]
- Rangani, J.; Parida, A.K.; Panda, A.; Kumari, A. Coordinated changes in antioxidative enzymes protect the photosynthetic machinery from salinity induced oxidative damage and confer salt tolerance in an extreme halophyte Salvadora persica L. Front. Plant Sci. 2016, 7, 1–18. [Google Scholar] [CrossRef] [Green Version]
- Paulino, M.K.S.S.; de Souza, E.R.; Lins, C.M.T.; Dourado, P.R.M.; de Leal, L.Y.C.; Monteiro, D.R.; de Rego Junior, F.E.A.; de Silva, C.U.C. Influence of vesicular trichomes of Atriplex nummularia on photosynthesis, osmotic adjustment, cell wall elasticity and enzymatic activity. Plant Physiol. Biochem. 2020, 155, 177–186. [Google Scholar] [CrossRef]
- Mansour, M.M.F. Nitrogen containing compounds and adaptation of plants to salinity stress. Biol. Plant. 2000, 43, 491–500. [Google Scholar] [CrossRef]
- Demidchik, V.; Straltsova, D.; Medvedev, S.S.; Pozhvanov, G.A.; Sokolik, A.; Yurin, V. Stress-induced electrolyte leakage: The role of K+ permeable channels and involvement in programmed cell death and metabolic adjustment. J. Exp. Bot. 2014, 65, 1259–1270. [Google Scholar] [CrossRef]
- Mata-González, R.; Abdallah, M.A.B.; Trejo-Calzada, R.; Wan, C. Growth and leaf chemistry of Atriplex species from Northern Mexico as affected by salt stress. Arid Land Res. Manag. 2016, 31, 57–70. [Google Scholar] [CrossRef]
- Pan, Y.-Q.Q.; Guo, H.; Wang, S.-M.M.; Zhao, B.; Zhang, J.-L.L.; Ma, Q.; Yin, H.-J.J.; Bao, A.-K.K. The photosynthesis, Na+/K+ homeostasis and osmotic adjustment of Atriplex canescens in response to salinity. Front. Plant Sci. 2016, 7, 1–14. [Google Scholar] [CrossRef] [Green Version]
- Wallace, A.; Romney, E.M.; Mueller, R.T. Sodium relations in desert plants: 7 effects of sodium chloride on Atriplex polycarpa and Atriplex canescens. Soil Sci. 1982, 134, 65–68. [Google Scholar] [CrossRef]
- Mahmood, K.; Vanderdeelen, J.; Baert, L. Growth and phosphorus uptake of Atriplex amnicola at different levels of NaCI. Biol. Plant. 1993, 35, 285–288. [Google Scholar] [CrossRef]
- Villora, G.; Moreno, D.A.; Pulgar, G.; Romero, L. Salinity affects phosphorus uptake and partitioning in zucchini. Commun. Soil Sci. Plant Anal. 2000, 31, 501–507. [Google Scholar] [CrossRef]
- Wang, L.; Showalter, A.M.; Ungar, I.A. Effect of salinity on growth, ion content, and cell wall chemistry in Atriplex prostrata (Chenopodiaceae). Am. J. Bot. 1997, 84, 1247–1255. [Google Scholar] [CrossRef] [PubMed]
- Hagege, D.; Kevers, C.; Boucaud, J.; Gaspar, T. Peroxidase activities, ethylene production and lignification in relation with growth limitation in Suaeda maritima cultured in absence of NaCl. Plant Physiol. Biochem. 1988, 26, 609–614. [Google Scholar]
- Grigore, M.; Toma, C. Histo-anatomical strategies of chenopodiaceae halophytes: Adaptive, ecological and evolutionary implications. WSEAS Trans. Biol. Biomed. 2007, 4, 204–218. [Google Scholar]
- Ashraf, M.; Harris, P.J.C. Potential biochemical indicators of salinity tolerance in plants. Plant Sci. 2004, 166, 3–16. [Google Scholar] [CrossRef]
- Bennert, H.W.; Schmidt, B. On the osmoregulation in Atriplex hymenelytra (Torr.) Wats. (Chenopodiaceae). Oecologia 1984, 62, 80–84. [Google Scholar] [CrossRef]








Publisher’s Note: MDPI stays neutral with regard to jurisdictional claims in published maps and institutional affiliations. |
© 2021 by the authors. Licensee MDPI, Basel, Switzerland. This article is an open access article distributed under the terms and conditions of the Creative Commons Attribution (CC BY) license (https://creativecommons.org/licenses/by/4.0/).
Share and Cite
Calone, R.; Cellini, A.; Manfrini, L.; Lambertini, C.; Gioacchini, P.; Simoni, A.; Barbanti, L. The C4 Atriplex halimus vs. the C3 Atriplex hortensis: Similarities and Differences in the Salinity Stress Response. Agronomy 2021, 11, 1967. https://doi.org/10.3390/agronomy11101967
Calone R, Cellini A, Manfrini L, Lambertini C, Gioacchini P, Simoni A, Barbanti L. The C4 Atriplex halimus vs. the C3 Atriplex hortensis: Similarities and Differences in the Salinity Stress Response. Agronomy. 2021; 11(10):1967. https://doi.org/10.3390/agronomy11101967
Chicago/Turabian StyleCalone, Roberta, Antonio Cellini, Luigi Manfrini, Carla Lambertini, Paola Gioacchini, Andrea Simoni, and Lorenzo Barbanti. 2021. "The C4 Atriplex halimus vs. the C3 Atriplex hortensis: Similarities and Differences in the Salinity Stress Response" Agronomy 11, no. 10: 1967. https://doi.org/10.3390/agronomy11101967
APA StyleCalone, R., Cellini, A., Manfrini, L., Lambertini, C., Gioacchini, P., Simoni, A., & Barbanti, L. (2021). The C4 Atriplex halimus vs. the C3 Atriplex hortensis: Similarities and Differences in the Salinity Stress Response. Agronomy, 11(10), 1967. https://doi.org/10.3390/agronomy11101967

