Productivity of Selected African Leafy Vegetables under Varying Water Regimes
Abstract
1. Introduction
2. Materials and Methods
2.1. Plant Material
2.2. Site Description
2.3. Experimental Design
2.4. Irrigation
- ETo = reference evapotranspiration, and
- Kc = crop factor.
2.5. Agronomic Practices
2.6. Data Collection
- Y = yields above ground in (t ha−1) and
- ETc = crop evapotranspiration in m3.
2.7. Statistical Analysis
3. Results
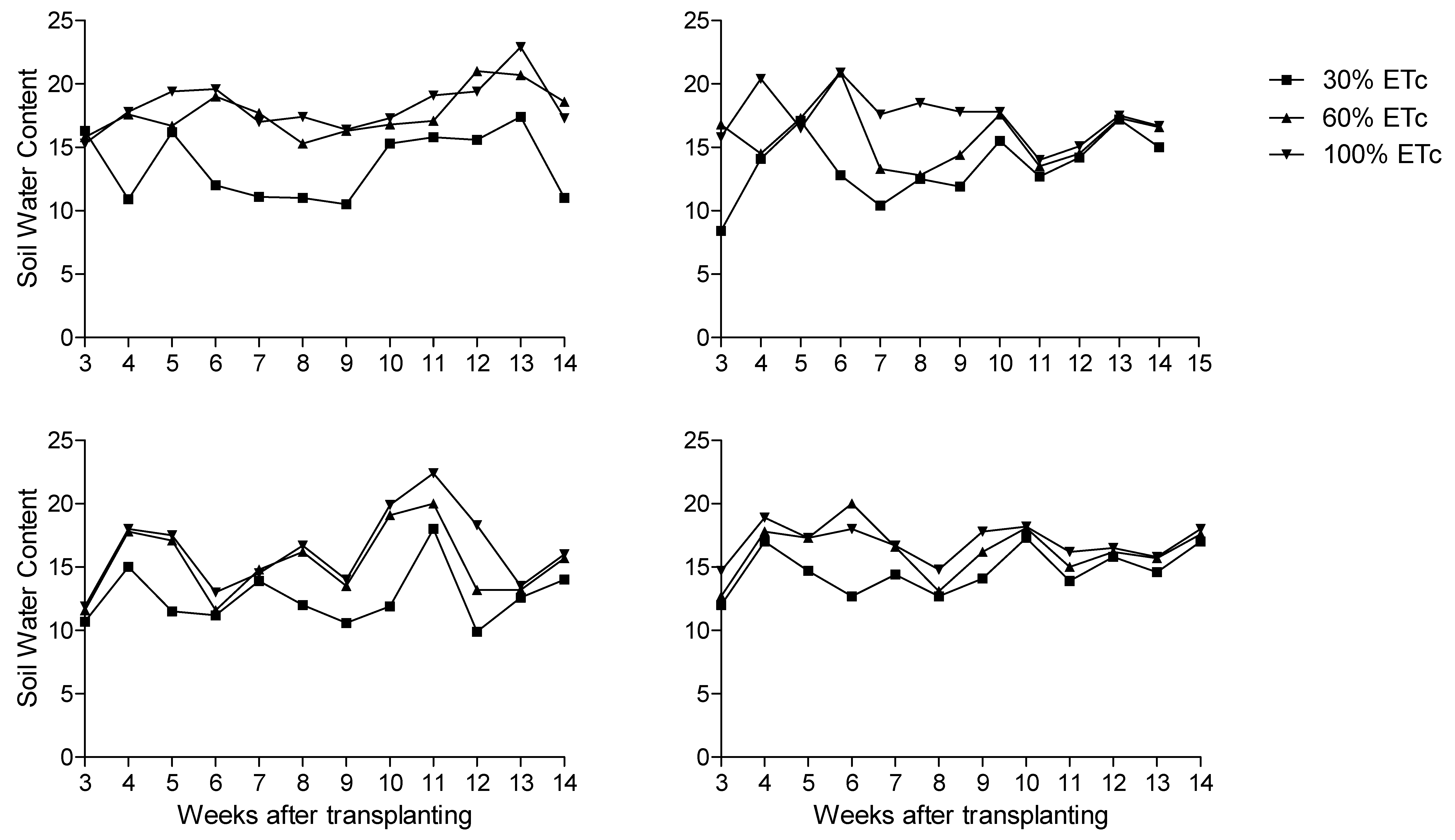
3.1. Meteorological Conditions and Soil Water Content
3.2. Growth Parameters
3.3. Crop Physiology
3.4. Yield Parameters
3.5. Water Productivity
4. Discussion
5. Conclusions
Author Contributions
Funding
Acknowledgments
Conflicts of Interest
References
- Oelofse, A.; van Averbeke, W. Nutritional Value and Water Use of African Leafy Vegetables for Improved Livelihoods; WRC TT535/12; Water Research Commission: Pretoria, South Africa, 2012. [Google Scholar]
- Annandale, J.G.; Stirzaker, R.J.; Singels, A.; Van Der Laan, M.; Laker, M.C. Irrigation schedule research, South African experiences and future prospects. Water SA 2011, 37, 751–763. [Google Scholar] [CrossRef]
- Van Averbeke, W.; Chabalala, M.P.; Okorogbona, A.O.M.; Rumania, T.D.; Azeez, J.O.; Slabbert, M.M. Plant nutrient requirements of African leafy vegetables. In Nutritional Value and Water Use of African Leafy Vegetables for Improved Livelihoods; Oelofse, A., Van Averbeke, W., Eds.; WRC TT535/12; Water Research Commission: Pretoria, South Africa, 2012. [Google Scholar]
- Department of Agriculture, Fisheries and Forestry. Strategic Plan for the Department of Agriculture Consolidating the Partnership for Poverty Eradication, Accelerated Growth and Wealth Creation; Directorate Agricultural Information Services: Pretoria, South Africa, 2004.
- Mavengahama, S. The Contribution of Indigenous Vegetables to Food Security and Nutrition within Selected Sites in South Africa. Ph.D. Thesis, Stellenbosch University, Cape Town, South Africa, 2013. [Google Scholar]
- Afolayan, A.J.; Jimoh, F.O. Nutritional quality of some wild leafy vegetables in South Africa. Int. J. Food Sci. Nutr. 2009, 60, 424–431. [Google Scholar] [CrossRef] [PubMed]
- Van Rensburg, W.S.J.; Van Averbeke, W.; Slabbert, R.; Faber, M.; Van Jaarsveld, P.; Van Heerden, I.; Wenhold, F.; Oelofse, A. African leafy vegetables in South Africa. Water SA 2007, 33, 317–326. [Google Scholar] [CrossRef]
- Dieleman, A.; Hamill, A.S.; Fox, G.C.; Swanton, C.J. Decision rules for post emergency control of pigweed (Amaranthus spp) in Soybean (Glycine max). Weed Sci. 1996, 44, 126–132. [Google Scholar] [CrossRef]
- Ghorbani, R.; Seel, W.; Leifert, C. Effects of environmental factors on germination and emergency of Amaranthus retroflexus. Weed Sci. 1999, 48, 505510. [Google Scholar]
- Modi, A.T. Growth temperature and plant age influence on nutritional quality of Amaranthus leaves and seed germination capacity. Water SA 2006, 33, 03784738. [Google Scholar]
- Pimentel, C. The Relation of the Plant with Water; EDUR: Seropedica, Brazil, 2004. [Google Scholar]
- Costa, R.C.L.; Lobato, A.K.S.; Oliveira Neto, C.F.; Maia, P.S.P.; Alves, G.S.R.; Laughinhouse, H.D. Biochemical and physiological responses in two Vigna unguiculata (L) Walp. cultivars under water stress. J. Agron. 2008, 7, 98–101. [Google Scholar] [CrossRef]
- Lobato, A.K.S.; Oliveira Neto, C.F.; Costa, R.C.L.; Santos Filho, B.G.; Cruz, F.J.R.; Laughing house, H.D. Biochemical and physiological behaviour of Vigna unguiculata (L) Walp, under water stress during the vegetative phase. Asian J. Plant Sci. 2008, 7, 44–49. [Google Scholar]
- Fasinmirin, J.T. Nitrogen and Water Use of Irrigated Jute Mallow. Master’s Thesis, Department of Agricultural Engineering, Federal University of Technology, Akure, Nigeria, 2001; pp. 4–63. [Google Scholar]
- Maseko, I.; Mabhaudhi, T.; Tesfay, S.; Araya, H.T.; Fezzehazion, M.; Du Plooy, C.P.D. African Leafy vegetables: A review of status, production and utilization in South Africa. Sustainability 2018, 10, 16. [Google Scholar] [CrossRef]
- Nyathi, M.K.; Mabhaudhi, T.; Van Halsema, G.E.; Annandale, J.G.; Struik, P.C. Benchmarking nutritional water productivity of twenty vegetables—A review. Agric. Water Manag. 2019, 221, 248–259. [Google Scholar] [CrossRef]
- Mabhaudhi, T.; O’Reilly, P.; Walker, S. The role of underutilised crops in Southern African farming systems, a scoping study. Sustainability 2016, 8, 302. [Google Scholar] [CrossRef]
- Govender, L.; Pillay, K.; Siwela, M.; Modi, A.; Mabhaudhi, T. Food and nutrition insecurity in selected rural communities of KwaZulu-Natal, South Africa—Linking human nutrition and agriculture. Int. J. Environ. Res. Public Health 2017, 14, 17. [Google Scholar] [CrossRef] [PubMed]
- Nyathi, M.K.; van Halsema, G.E.; Beletse, Y.G.; Annandale, J.G.; Struike, P.C. Nutritional water productivity of selected leafy vegetables. Agric. Water Manag. 2018, 209, 111–122. [Google Scholar] [CrossRef]
- Beletse, Y.G.; du Plooy, C.P.; van Rensburg, J.W.S. Water requirement of eight indigenous vegetables. In Nutritional Value and Water Use of African Leafy Vegetables for Improved Livelihoods; Oelofse, A., Van Averbeke, W., Eds.; WRC TT535/12; Water Research Commission: Pretoria, South Africa, 2012. [Google Scholar]
- Nyathi, M.K.; Annandale, J.G.; Beletse, Y.G.; Beukes, D.J.; Du Plooy, C.P.; Pretorius, B.; van Halsema, G.E. Nutritional Water Productivity of Traditional Vegetables Crops; WRC report No.2171/1/16; Water Research Commission: Pretoria, South Africa, 2016. [Google Scholar]
- Slabbert, M.M.; Sosibo, M.S.; van Averbeke, W. The response of six African leafy vegetables to drought and heat stress. In Nutritional Value and Water Use of African Leafy Vegetables for Improved Livelihoods; Oelofse, A., Van Averbeke, W., Eds.; WRC TT535/12; Water Research Commission: Pretoria, South Africa, 2012. [Google Scholar]
- Mabhaudhi, T.; Chimonyo, V.G.P.; Chibarabada, T.P.; Modi, A.T. Developing a roadmap for improving neglected and underutilised crops: A case study of South Africa. Front. Plant Sci. 2017, 8, 2143. [Google Scholar] [CrossRef]
- Allen, R.G.; Pereira, L.S.; Raes, D.; Smith, M. Crop Evapotranspiration (Guidelines for Computing Crop Water Requirements); FAO Irrigation and Drainage Paper no. 56; Food and Agriculture Organization of the United Nations: Rome, Italy, 1998. [Google Scholar]
- Fasinmirin, J.T.; Olufayo, A.A. Yield and water use efficiency of jute mallow Corchorus olitorius under varying soil water management strategies. J. Med. Plants Res. 2009, 3, 186–191. [Google Scholar]
- Mbatha, T.P.; Modi, A.T. Response of local mustard germplasm to water stress. S. Afr. J. Plant Soil 2010, 27, 328–330. [Google Scholar] [CrossRef]
- Zulu, N.S.; Modi, A.T. A preliminary study to determine water stress tolerance in wild melon (Citrullus lanatus L.). S. Afr. J. Plant Soil 2010, 27, 334–336. [Google Scholar] [CrossRef][Green Version]
- Kaya, M.D.; Okcub, G.; Ataka, M.; Cikilic, Y.; Kolsaricia, O. Seed treatments to overcome salt and drought stress during germination in sunflower (Helianthus annus L.). Eur. J. Agron. 2006, 24, 291–295. [Google Scholar] [CrossRef]
- Kiani, S.P.; Maury, P.; Sarrafi, A.; Grieu, P. QTL analysis of chlorophyll fluorescence parameters in sunflower (Helianthus annus) under well-watered and water-stressed conditions. Plant Sci. 2008, 175, 565–573. [Google Scholar] [CrossRef]
- Vurayai, R.; Emongor, V.; Moseki, B. Effect of water stress imposed at different growth and development stages on morphological traits and yield of Bambara Groundnut (Vigna subterranea L. Verdc). Am. J. Plant Physiol. 2011, 6, 17–27. [Google Scholar] [CrossRef]
- Ashley, J. Drought and crop adaptation. In Dryland Farming in Africa; Rowland, J.R.J., Ed.; Macmillan Press Ltd.: London, UK, 1993; pp. 46–67. [Google Scholar]
- Saleh, S.; Liu, G.; Liu, M.; Ji, Y.; He, H.; Gruda, N. Effect of irrigation on growth, yield, and chemical composition of two green bean cultivars. Horticulturae 2018, 4, 3. [Google Scholar] [CrossRef]
- Wang, W.; Vinocur, B.; Altman, A. Plant responses to drought, salinity and extreme temperatures: Towards genetic engineering for stress tolerance. Planta 2003, 218, 1–14. [Google Scholar] [CrossRef] [PubMed]
- Neluheni, K.; Du Plooy, C.P.; Mayaba, N. Yield response of leafy amaranths to different irrigation regimes. Afr. Crop Sci. Conf. Proc. 2007, 8, 1619. [Google Scholar]
- Palada, M.C.; Chang, L.C. Suggested Cultural Practices for Vegetable Amaranth. In International Cooperates Guide; AVRDC Pub #03-552; AVRDC-The World Vegetable Center: Shanhua, Taiwan, 2003; p. 4. [Google Scholar]
- Schippers, R.R. African Indigenous Vegetables. In An Overview of the Cultivated Species; Natural Resources Institute/ACP-EU Technical Centre for Agricultural and Rural Cooperation: Chatham, UK, 2000. [Google Scholar]
- Yarnia, M. Sowing dates and density evaluation of amaranth (Cv. Koniz) as a New Crop. Adv. Environ. Biol. 2010, 4, 41–46. [Google Scholar]
- Taylor, H.M.; Wepper, B. Limitation to Efficient Water Use in Crop Production; American Society of Agronomy: Madison, WI, USA, 1990. [Google Scholar]
- Connor, D.J.; Jones, T.R.; Palta, J.A. Response of sunflower to strategies of irrigation in growth, yield and the efficiency of water use. Field Crops Res. 1985, 10, 15–36. [Google Scholar] [CrossRef]
- Whitfield, D.M.; Wright, G.C.; Gyles, O.A.; Taylor, A.J. Growth of Lucerne (Medicago sativa L) in response to frequency of irrigation and gypsum application on a heavy clay soil. Irrig. Sci. 1986, 7, 37–52. [Google Scholar] [CrossRef]
- Singh, B.B.; Ajeigbe, H.A.; Tarawali, S.; Fernandez-Rivera, S.; Abubakar, M. Improving the production and utilization of cowpea as food and fodder. Field Crops Res. 2003, 84, 169–177. [Google Scholar] [CrossRef]
- Singh, B.B.; Chambliss, O.L.; Sharina, B. Recent advances in cowpea breeding. In Advances in Cowpea Research; Singh, B.B., Mohan Raji, B.R., Dasiell, K.E., Jackiat, L.E.N., Eds.; Co-Pub. of IITA and JIRCAS IITA: Ibadan, Nigeria, 1997. [Google Scholar]
- Hayatu, M.; Mukhtar, F.B. Physiological responses of some drought resistant cowpea genotypes (Vigna unguiculata (l.) walp) to water stress. Bayero J. Pure. Appl. Sci. 2010, 3, 69–75. [Google Scholar]
- Nkaa, F.A.; Nwokeocha, O.W.; Ihuoma. Effect of Phosphorus fertilizer on growth and yield of cowpea (Vigna unguiculata). J. Pharm. Biol. Sci. 2014, 9, 74–82. [Google Scholar]
- Van Averbeke, W.; Netshithuthuni, C. Effect of irrigation scheduling on leaf yield of non-heading Chinese cabbage (Brassica rapa L. subsp. chinensis). S. Afr. J. Plant Soil 2010, 27, 322–327. [Google Scholar] [CrossRef]
- Sammis, T.; Wu, I.P. Deficit irrigation effects on head cabbage production. Agric. Water Manag. 1989, 16, 229–239. [Google Scholar] [CrossRef]
- Sanchez, C.A.; Roth, R.L.; Gardner, B.R. Irrigation and nitrogen management for sprinkler irrigated cabbage on sand. J. Am. Soc. Hortic. Sci. 1994, 119, 427–433. [Google Scholar] [CrossRef]
- Moran, P.J.; Showler, A.T. Phomopsis amaranthicola and Microsphaeropsis amaranthi symptoms on Amaranthus spp. under South Texas conditions. Plant Dis. 2006, 91, 12–16. [Google Scholar]
- Liu, F.; Stutzel, H. Leaf water relations of vegetable amaranth (Amaranthus spp.) in response to soil drying. Eur. J. Agron. 2002, 16, 137150. [Google Scholar] [CrossRef]
- Zavitkovski, J.; Ferrell, W.K. Effect of drought upon rates of photosynthesis, respiration and transpiration of seedlings of two ecotypes of Douglas fir. Two- and three-month-old seedlings. Bot. Gaz. 1968, 129, 346–350. [Google Scholar] [CrossRef]
- Farooq, M.; Wahid, A.; Kobayashi, N.; Fujita, D.; Basra, S.M.A. Plant drought stress: Effects, mechanisms and management. Agron. Sustain. Dev. 2009, 29, 185–212. [Google Scholar] [CrossRef]
- Mabhaudhi, T.; Modi, A.T.; Beletse, Y.G. Parameterisation and evaluation of the FAO-AquaCrop model for a South African taro (Colocasia esculenta L) landrace. Agric. For. Meteorol. 2014, 192, 132–139. [Google Scholar] [CrossRef]
- Songsri, P.; Jogloy, S.; Junjittakarn, J.; Kesmala, T.; Vorasoot, N.; Holbrook, C.C.; Pananothai, A. Association of stomatal conductance and root distribution with water use efficiency of peanuts under different soil water regimes. Aust. J. Crop Sci. 2013, 7, 948–955. [Google Scholar]
- Luvaha, E.; Netondo, G.W.; Ouma, G. Effect of water deficit on the physiological and morphological characteristics of mango (Mangifera indica) rootstock seedlings. Am. J. Plant Physiol. 2008, 3, 115. [Google Scholar]


| K | Ca | Mg | Na | P | pH | N-NO3 | N-NH4 |
|---|---|---|---|---|---|---|---|
| mg/kg | |||||||
| 105 | 1412 | 221 | 67 | 67.7 | 7.4 | 5.44 | 3.42 |
| Season 2016–17 Month | a Tx (°C) | b Tn (°C) | Total Radiation (MJ m−2 day−1) | Wind Speed (m s−1) | c ETo |
|---|---|---|---|---|---|
| October | 30.90 | 13.32 | 25.18 | 1.15 | 163.12 |
| November | 29.40 | 15.49 | 24.70 | 0.83 | 148.48 |
| December | 30.14 | 17.39 | 24.31 | 0.87 | 155.51 |
| January | 29.36 | 17.24 | 23.02 | 0.89 | 146.04 |
| Season 2015–16 | |||||
| October | 32.58 | 14.16 | 25.17 | 0.69 | 161.52 |
| November | 31.77 | 13.95 | 27.88 | 1.15 | 176.03 |
| December | 33.88 | 18.09 | 26.54 | 0.94 | 176.96 |
| January | 31.67 | 17.63 | 25.68 | 0.87 | 165.89 |
| Plants | Parameters | Irrigation Levels | |||||
|---|---|---|---|---|---|---|---|
| 2015/16 Summer (Season 1) | 2016/2017 Summer (Season 2) | ||||||
| 30% ETc | 60% ETc | 100% ETc | 30% ETc | 60% ETc | 100% ETc | ||
| A. cruentus | Plant height (cm) | 52.11 ± 3.91 a | 63.83 ± 4.27 a | 68.31 ± 6.00 a | 29.51 ± 1.15 a | 37.54 ± 1.11 a | 34.61 ± 3.19 a |
| Leaf number | 80.01 ± 5.87 a | 103.03 ± 8.61 a | 111.13 ± 8.10 a | 69.31 ± 5.14 a | 64.34 ± 6.10 a | 74.27 ± 6.44 a | |
| C. olitorius | Plant height (cm) | 41.10 ± 3.11 a | 34.30 ± 2.47 a | 41.63 ± 4.09 a | 41.82 ± 3.61 a | 39.58 ± 2.38 a | 51.40 ± 3.15 a |
| Leaf number | 128.00 ± 6.43 a | 139.00 ± 9.28 a | 149.11 ± 9.97 a | 46.28 ± 3.33 a | 44.31 ± 3.76 a | 67.00 ± 4.31 a | |
| V. unguiculata | Plant height (cm) | 65.44 ± 4.36 a | 74.31 ± 4.44 a | 77.02 ± 5.12 a | 31.30 ± 2.37 a | 30.53 ± 2.77 a | 23.72 ± 1.88 a |
| Leaf number | 89.03 ± 3.19 a | 95.08 ± 7.21 a | 86.04 ± 7.71 a | 49.34 ± 3.55 a | 48.44 ± 3.14 a | 36.06 ± 0.73 a | |
| B. vulgaris | Plant height (cm) | 22.91 ± 2.38 a | 21.14 ± 1.73 a | 20.7 ± 1.45 a | 27.51 ± 1.57 a | 24.31 ± 2.00 a | 21.52 ± 2.00 a |
| Leaf number | 10.05 ± 0.99 a | 11.06 ± 0.99 a | 11.41 ± 0.59 a | 7.14 ± 0.59 a | 13.33 ± 0.83 b | 9.09 ± 0.76 a | |
| Crops | Plant Parts (t ha−1) | Irrigation Levels | |||||
|---|---|---|---|---|---|---|---|
| 2015/16 Summer (Season 1) | 2016/2017 Summer (Season 2) | ||||||
| 30% ETc | 60% ETc | 100% ETc | 30% ETc | 60% ETc | 100% ETc | ||
| A. cruentus | FM stem + leaves | 4.11 ± 0.65 a | 10.84 ± 1.86 b | 7.85 ± 1.15 ab | 2.87 ± 0.51 a | 4.35 ± 0.49 ab | 5.00 ± 0.40 b |
| FM leaves | 3.17 ± 0.72 a | 4.14 ± 0.53 a | 3.71 ± 0.32 a | 1.66 ± 0.13 a | 1.97 ± 0.15 ab | 2.45 ± 0.22 b | |
| FM stem | 2.92 ± 0.80 a | 4.67 ± 0.13 a | 3.60 ± 0.43 a | 1.32 ± 0.19 a | 1.86 ± 0.17 ab | 2.48 ± 0.29 b | |
| DM leaves | 0.54 ± 0.43 a | 0.87 ± 0.07 b | 0.71 ± 0.09 ab | 0.38 ± 0.04 a | 0.50 ± 0.03 a | 0.54 ± 0.02 a | |
| DM stem | 0.45 ± 0.28 a | 0.70 ± 0.14 a | 0.52 ± 0.09 a | 0.38 ± 0.03 a | 0.39 ± 0.02 a | 0.48 ± 0.03 a | |
| C. olitorius | FM stem + leaves | 4.43 ± 0.15 a | 7.21 ± 0.78 a | 6.79 ± 1.17 a | 1.95 ± 0.07 a | 3.68 ± 0.33 a | 4.04 ± 0.31 a |
| FM leaves | 2.05 ± 0.26 a | 2.74 ± 0.49 a | 2.62 ± 0.34 a | 0.83 ± 0.04 a | 1.46 ± 0.11 ab | 1.70 ± 0.01b | |
| FM stem | 2.40 ± 0.34 a | 3.72 ± 0.61 a | 3.40 ± 0.17 a | 1.21 ± 0.02 a | 1.32 ± 0.09 a | 1.25 ± 0.01 a | |
| DM leaves | 0.50 ± 0.04 a | 0.63 ± 0.49 ab | 0.66 ± 0.04 b | 0.33 ± 0.03 a | 0.40 ± 0.00 a | 0.43 ± 0.03 a | |
| DM stem | 0.45 ± 0.04 a | 0.43 ± 0.03 a | 0.48 ± 0.03 a | 0.33 ± 0.03 a | 0.37 ± 0.03 a | 0.36 ± 0.03 a | |
| V. unguiculata | FM stem + leaves | 5.04 ± 0.54 a | 5.72 ± 0.54 a | 6.90 ± 0.65 a | 4.93 ± 0.52 a | 7.34 ± 0.78 a | 5.76 ± 0.55 a |
| FM leaves | 3.03 ± 0.34 a | 3.34 ± 0.31 a | 3.81 ± 0.34 a | 2.28 ± 0.01 a | 3.60 ± 0.34 a | 2.91 ± 0.18 a | |
| FM stem | 2.05 ± 0.29 a | 2.39 ± 0.14 a | 3.05 ± 0.21 a | 2.56 ± 0.02 a | 3.42 ± 0.29 a | 2.93 ± 0.31 a | |
| DM leaves | 0.62 ± 0.05 a | 0.68 ± 0.06 a | 0.68 ± 0.05 a | 0.59 ± 0.03 a | 0.54 ± 0.05 a | 0.51 ± 0.03 a | |
| DM stem | 0.36 ± 0.02 a | 0.39 ± 0.01 a | 0.43 ± 0.03 a | 0.57 ± 0.02 a | 0.44 ± 0.03 a | 0.44 ± 0.01 a | |
| B. vulgaris | FM leaves | 4.53 ± 0.32 a | 6.91 ± 0.59 ab | 10.26 ± 1.09 b | 4.08 ± 0.43 a | 6.44 ± 0.02 b | 8.67 ± 0.77 b |
| DM leaves | 0.83 ± 0.18 a | 0.74 ± 0.06 a | 1.04 ± 0.03 a | 0.61 ± 0.02 a | 0.72 ± 0.05 ab | 0.86 ± 0.06 b | |
| Leaf number | 40.00 ± 3.22 a | 51.00 ± 4.18 a | 57.00 ± 1.11 a | 28.00 ± 1.89 a | 38.00 ± 2.91 a | 37.00 ± 2.97 a | |
| African Leaf Vegetables | Well-Watered (100 ETc) | Moderately Watered (60 ETc) | Deficit Irrigation (30 ETc) | ||||||
| Average total above ground fresh yield (t ha−1) | Average irrigation water Use (mm) | Crop water productivity , (kg m−3) | Average total above ground fresh yield (t ha−1) | Average irrigation water use (mm) | Crop water productivity (kg m−3) | Average total above ground Fresh yield (t ha−1) | Average irrigation water use (mm) | Crop water productivity (kg m−3) | |
| A. cruentus | 6.42 ± 0.53 | 589 | 1.09 ± 0.01 a | 7.59 ± 0.69 | 353 | 2.15 ± 0.18 a | 3.49 ± 0.19 | 176 | 1.98 ± 0.08 a |
| C. olitorius | 5.42 ± 0.37 | 589 | 0.91 ± 0.00 a | 5.44 ± 0.37 | 353 | 1.50 ± 0.01 a | 3.18 ± 0.11 | 176 | 1.80 ± 0.12 a |
| V. unguiculata | 6.33 ± 0.45 | 589 | 1.07 ± 0.01 a | 6.53 ± 0.55 | 353 | 1.84 ± 0.01 b | 4.98 ± 0.39 | 176 | 2.83 ± 0.13 b |
| B. vulgaris | 9.46 ± 0.73 | 589 | 1.60 ± 0.02 b | 6.67 ± 0.60 | 353 | 1.89 ± 0.02 b | 4.30 ± 0.12 | 176 | 2.40 ± 0.07 a |
| African Leaf Vegetables | Well-Watered (100 ETc) | Medium-Watered (60 ETc) | Deficit Irrigation (30 ETc) | ||||||
| Average total above ground dry matter yield (t ha−1) | Average irrigation water use (mm) | Crop water productivity (kg m−3) | Average total above ground dry matter yield (t ha−1) | Average irrigation water use (mm) | Crop water productivity (kg m−3) | Average total above ground dry matter yield (t ha−1) | Average irrigation water use (mm) | Crop water productivity (kg m−3) | |
| A. cruentus | 0.56 ± 0.03 | 589 | 0.10 ± 0.00 a | 0.61 ± 0.01 | 353 | 0.17 ± 0.01 a | 0.43 ± 0.03 | 176 | 0.24 ± 0.01 a |
| C. olitorius | 0.48 ± 0.01 | 589 | 0.08 ± 0.00 a | 0.45 ± 0.04 | 353 | 0.12 ± 0.02 a | 0.40 ± 0.02 | 176 | 0.22 ± 0.01 a |
| V. unguiculata | 0.51 ± 0.04 | 589 | 0.09 ± 0.01 a | 0.51 ± 0.02 | 353 | 0.14 ± 0.00 a | 0.53 ± 0.02 | 176 | 0.30 ± 0.00 a |
| B. vulgaris | 0.95 ± 0.07 | 589 | 0.16 ± 0.02 a | 0.73 ± 0.04 | 353 | 0.20 ± 0.01 a | 0.70 ± 0.00 | 176 | 0.40 ± 0.02 a |
© 2020 by the authors. Licensee MDPI, Basel, Switzerland. This article is an open access article distributed under the terms and conditions of the Creative Commons Attribution (CC BY) license (http://creativecommons.org/licenses/by/4.0/).
Share and Cite
Maseko, I.; Ncube, B.; Tesfay, S.; Fessehazion, M.; Modi, A.T.; Mabhaudhi, T. Productivity of Selected African Leafy Vegetables under Varying Water Regimes. Agronomy 2020, 10, 916. https://doi.org/10.3390/agronomy10060916
Maseko I, Ncube B, Tesfay S, Fessehazion M, Modi AT, Mabhaudhi T. Productivity of Selected African Leafy Vegetables under Varying Water Regimes. Agronomy. 2020; 10(6):916. https://doi.org/10.3390/agronomy10060916
Chicago/Turabian StyleMaseko, Innocent, Bhekumthetho Ncube, Samson Tesfay, Melake Fessehazion, Albert Thembinkosi Modi, and Tafadzwanashe Mabhaudhi. 2020. "Productivity of Selected African Leafy Vegetables under Varying Water Regimes" Agronomy 10, no. 6: 916. https://doi.org/10.3390/agronomy10060916
APA StyleMaseko, I., Ncube, B., Tesfay, S., Fessehazion, M., Modi, A. T., & Mabhaudhi, T. (2020). Productivity of Selected African Leafy Vegetables under Varying Water Regimes. Agronomy, 10(6), 916. https://doi.org/10.3390/agronomy10060916

