Proposed Techniques to Supplement the Loss in Nutrient Cycling for Replanted Coffee Plantations in Vietnam
Abstract
1. Introduction
2. Materials and Methods
2.1. Site Characteristics
2.2. Materials
2.3. Experimental Setup
2.3.1. Biochemical Treatments to Improve Soil Chemistry
2.3.2. Organic Treatments to Improve Soil Organic Matter and Physical Properties
2.4. Soil Characteristics
2.5. Data Collection and Analysis
3. Results and Discussion
3.1. Proposed Techniques to Improve of Soil Chemistry
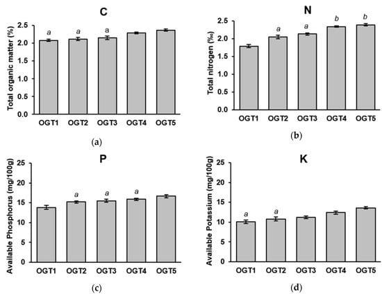
3.2. Proposed Techniques to Improve of Soil Organic Matter
4. Conclusions
Author Contributions
Funding
Conflicts of Interest
References
- Schröder, J.; Schulte, R.; Creamer, R.; Delgado, A.; Van Leeuwen, J.; Lehtinen, T.; Rutgers, M.; Spiegel, H.; Staes, J.; Tóth, G. The elusive role of soil quality in nutrient cycling: A review. Soil Use Manag. 2016, 32, 476–486. [Google Scholar] [CrossRef]
- Wintgens, J.N. Coffee: Growing, Processing, Sustainable Production. A Guidebook for Growers, Processors, Traders, and Researchers; WILEY-VCH Verlag GmbH & Co. KGaA: Weinheim, Germany, 2004. [Google Scholar]
- Molin, J.P.; Motomiya, A.V.D.A.; Frasson, F.R.; Faulin, G.D.C.; Tosta, W. Test procedure for variable rate fertilizer on coffee. Acta Sci. Agron. 2010, 32, 569–575. [Google Scholar] [CrossRef]
- Melke, A.; Ittana, F. Nutritional requirement and management of Arabica Coffee (Coffea arabica L.) in Ethiopia: National and global perspectives. J. Exp. Agric. Int. 2015, 5, 400–418. [Google Scholar] [CrossRef]
- Sanchez, P.A. Properties and Management of Soils in the Tropics; Cambridge University Press: Cambridge, UK, 2019. [Google Scholar]
- Byrareddy, V.; Kouadio, L.; Mushtaq, S.; Stone, R. Sustainable Production of Robusta Coffee under a Changing Climate: A 10-Year Monitoring of Fertilizer Management in Coffee Farms in Vietnam and Indonesia. Agronomy 2019, 9, 499. [Google Scholar] [CrossRef]
- Shahbandeh, M. World’s largest coffee producing countries in 2018 (in 1,000 60 kilogram bags). In Largest Coffee Producing Countries 2018; Statista: Hamburg, Germany, 2019. [Google Scholar]
- Thuy, P.T.; Niem, L.D.; Ho, T.M.H.; Burny, P.; Lebailly, P. Economic Analysis of Perennial Crop Systems in DakLak Province, Vietnam. Sustainability 2019, 11, 81. [Google Scholar] [CrossRef]
- Giang, B.L.; Nguyen, N.H.; Yen, P.N.D.; Hoang, V.D.M.; Ha, B.T.L.; Le, N.T.T. Combination of Mycorrhizal Symbiosis and Root Grafting Effectively Controls Nematode in Replanted Coffee Soil. Plants 2020, 9, 555. [Google Scholar]
- Tiemann, T.; Aye, T.M.; Dung, N.D.; Tien, T.M.; Fisher, M.; de Paulo, E.N.; Oberthür, T. Crop nutrition for Vietnamese Robusta coffee. Better Crop. Plant Food 2018, 102, 20–23. [Google Scholar] [CrossRef]
- Martins Neto, F.L.; Peralta-Antonio, N.; De Paula Pimenta, M.; Pinto Coelho Evangelista, J.S.; Silva Santos, R.H. Soil chemical characteristics on coffee plantations fertilized with continuous application of compost and green manure. Commun. Soil Sci. Plant Anal. 2020, 51, 829–838. [Google Scholar] [CrossRef]
- Zhao, Q.; Xiong, W.; Xing, Y.; Sun, Y.; Lin, X.; Dong, Y. Long-Term Coffee Monoculture Alters Soil Chemical Properties and Microbial Communities. Sci. Rep. 2018, 8, 11. [Google Scholar] [CrossRef]
- Velmourougane, K. Impact of Organic and Conventional Systems of Coffee Farming on Soil Properties and Culturable Microbial Diversity. Scientifica (Cairo) 2016, 2016, 9. [Google Scholar] [CrossRef]
- Chemura, A. The growth response of coffee (Coffea arabica L) plants to organic manure, inorganic fertilizers and integrated soil fertility management under different irrigation water supply levels. Int. J. Recycl. Org. Waste Agric. 2014, 3, 59. [Google Scholar] [CrossRef]
- Pampuro, N.; Caffaro, F.; Cavallo, E. Reuse of animal manure: A case study on stakeholders’ perceptions about pelletized compost in northwestern Italy. Sustainability 2018, 10, 2028. [Google Scholar] [CrossRef]
- Oka, Y. Mechanisms of nematode suppression by organicsoil amendments. Appl. Soil Ecol. 2010, 44, 15. [Google Scholar] [CrossRef]
- Harelimana, A.; Goff, G.L.; Rukazambuga, D.T.N.; Hance, T. Coffee Production Systems: Evaluation of Intercropping System in Coffee Plantations in Rwanda. J. Agric. Sci. 2018, 10, 12. [Google Scholar] [CrossRef]
- Van Asten, P.J.; Wairegi, L.W.I.; Mukasa, D.; Uringi, N.O. Agronomic and economic benefits of coffee–banana intercropping in Uganda’s smallholder farming systems. Agric. Syst. 2011, 104, 326–334. [Google Scholar] [CrossRef]
- Perdoná, M.J.; Soratto, R.P. Higher yield and economic benefits are achieved in the macadamia crop by irrigation and intercropping with coffee. Sci. Hortic. 2015, 185, 8. [Google Scholar] [CrossRef]
- Moreira, L.S.S.; Pires, V.C.; Marcatti, E.G.; Santos, H.S.R.; Imbuzeiro, M.A.H.; Fernandes, B.A.R. Intercropping of coffee with the palm tree, macauba, can mitigate climate change effects. Agric. For. Meteorol. 2018, 256–257, 12. [Google Scholar] [CrossRef]
- Daklak-Provincial-People’s-Committee. Daklak Overview. Available online: https://daklak.gov.vn/web/english/about-daklak (accessed on 29 November 2019).
- Wrb, I.W.G. World reference base for soil resources 2014, update 2015: International soil classification system for naming soils and creating legends for soil maps. In World Soil Resources Reports; Fao: Rome, Italy, 2015; p. 192. [Google Scholar]
- Berding, F.; Tan, T.; Tuyen, T.; Hue, T.; Deckers, J.; Langohr, R. Soil Resources of Dak Lak Province. In Correlation with the World Reference Base for Soil Resources. KU Leuven University, Belgium, Internal Project Report—NIAPP-KULeuven, Land Evaluation for Land Use Planning and Development of Sustainable Agriculture in South Vietnam; International Soil Reference and Information Centre ISRIC: Wageningen, The Netherlands, 1999. [Google Scholar]
- Dzung, N.A.; Dzung, T.T.; Khanh, V.P. Evaluation of coffee husk compost for improving soil fertility and sustainable coffee production in rural central highland of Vietnam. Resour. Environ. 2013, 3, 77–82. [Google Scholar]
- Sato, J.H.; Figueiredo, C.C.D.; Marchão, R.L.; Madari, B.E.; Benedito, L.E.C.; Busato, J.G.; Souza, D.M.D. Methods of soil organic carbon determination in Brazilian savannah soils. Sci. Agric. 2014, 71, 302–308. [Google Scholar] [CrossRef]
- Center, N.A.E. Good Agricultural Practices for Robusta Coffee Production; Vietnamese Ministry of Agriculture and Rural Development: Hanoi, Vietnam, 1999. [Google Scholar]
- Zhixiang, W.; Guishui, X.; Zhongliang, T. Characteristics of soil organic carbon and total nitrogen in rubber plantations soil at different age stages in the western region of Hainan Island. Agric. Sci. Technol. 2010, 11, 147–153. [Google Scholar]
- Eriksson, A.K.; Ulén, B.; Berzina, L.; Iital, A.; Janssons, V.; Sileika, A.; Toomsoo, A. Phosphorus in agricultural soils around the Baltic Sea–comparison of laboratory methods as indices for phosphorus leaching to waters. Soil Use Manag. 2013, 29, 5–14. [Google Scholar] [CrossRef]
- Rees, G.L.; Pettygrove, G.S.; Southard, R.J. Estimating plant-available potassium in potassium-fixing soils. Commun. Soil Sci. Plant Anal. 2013, 44, 741–748. [Google Scholar] [CrossRef]
- Carvalho, M.C.S.; Van Raij, B. Calcium sulphate, phosphogypsum and calcium carbonate in the amelioration of acid subsoils for root growth. Plant Soil 1997, 192, 12. [Google Scholar] [CrossRef]
- Cyamweshi, A.; John, S.T.; Peter, E.; Moses, T.M.; Athanase, M.; Athanase, N. Phosphate Sorption Characteristics of Andosols of the Volcanic Highlands of Central African Great Lakes Region. J. Environ. Sci. Eng. A 2013, 2, 8. [Google Scholar]
- Wang, Z.-G.; Bao, X.-G.; Li, X.-F.; Jin, X.; Zhao, J.-H.; Sun, J.-H.; Christie, P.; Li, L. Intercropping Maintains Soil Fertility in Terms of Chemical Properties and Enzyme Activities on a Timescale of One Decade. Plant Soil 2015, 391, 18. [Google Scholar] [CrossRef]
- Hethelyi, E.; Danos, B.; Tetenyi, P.; Koczka, I. GC-MS analysis of the essential oils of four tagetes species and the anti-microbial activity of Tagetes minuta. Flavour Fragr. J. 1986, 1, 169–173. [Google Scholar] [CrossRef]
- Soule, J. Tagetes minuta: A potential new herb from South America. In New Crops; Wiley: New York, NY, USA, 1993; pp. 649–654. [Google Scholar]
- Dung, P.T.; Dok, Y.N.H. Microbial organic fertilizer application for safe coffee production at Daklak, Vietnam. Int. Soc. Southeast Asian Agric. Sci. 2009, 15, 10. [Google Scholar]
- Dawid, J. Organic Fertilizers Requirement of Coffee (Coffea Arabica L) Review. Int. J. Res. Stud. Agric. Sci. 2018, 4, 8. [Google Scholar] [CrossRef]
- Martins, B.H.; Araujo-Junior, C.F.; Miyazawa, M.; Vieira, K.M. Humic substances and its distribution in coffee crop under cover crops and weed control methods. Soils Plant Nutr. 2016, 73, 8. [Google Scholar] [CrossRef]
- Matos, E.D.S.; Mendonça, E.D.S.; Cardoso, I.M.; Lima, P.C.D.; Freese, D. Decomposition and nutrient release of leguminous plants in coffee agroforestry systems. Rev. Bras. Ciência Solo 2011, 35, 141–149. [Google Scholar] [CrossRef]
- Bot, A.; Benites, J. The Importance of Soil Organic Matter_Key to Drought-Resistant Soil and Sustained Food Production; Food and Agriculture Organization of The United Nations: Rome, Italy, 2005; p. 78. [Google Scholar]
- Araújo, L.G.; Figueiredo, C.C.D.; Borges, I.B.; Ramos, M.L.G.; Rocha, O.C.; Guerra, A.F. Organic matter fractions in soil under coffee with split applications of phosphorus and water regimes. Rev. Bras. Eng. Agríc. Ambient. 2014, 18, 6. [Google Scholar] [CrossRef]



| Treatment | Description |
|---|---|
| BCT1 | Crop new coffee plants in the 1st year; No biochemical treatment |
| BCT2 | Crop Mexican marigold (Tagetes erecta) in the 1st year; Crop new coffee plants in the 2nd year; Apply 20 kg of manure/hole/year |
| BCT3 | Intercrop Mexican marigold (Tagetes erecta) with new coffee plants in the 1st year; Apply 20 kg of manure/hole/year |
| BCT4 | Intercrop Mexican marigold (Tagetes erecta) with new coffee plants in the 1st year; Apply 5 kg of microbial organic fertilizer/hole/year |
| BCT5 | Intercrop Mexican marigold (Tagetes erecta) with new coffee plants in the 1st year; Apply 20 kg of coffee husk compost/hole/year |
| Treatment | Description |
|---|---|
| OGT1 | No organic treatment |
| OGT2 | Cover 10 kg of green manure/hole/year for the first 3 years |
| OGT3 | Cover 15 kg of green manure/hole/year for the first 2 years |
| OGT4 | Bury 10 kg of green manure/hole/year for the first 3 years |
| OGT5 | Bury 15 kg of green manure/hole/year for the first 2 years |
| Treatment | Survival Rate (%) | Tree Height (cm) | Stump Diameter (cm) | Canopy Diameter (cm) | No. of Primary Branch | No. of Secondary Branch | Fresh Berry Yield (kg/ha) |
|---|---|---|---|---|---|---|---|
| BCT1 | 72.0 a | 116.5 a | 2.83 | 185.6 a | 13.0 | 6.9 a | 6969.0 |
| BCT2 | 81.3 b | 121.4 b | 3.59 a | 192.3 ab | 14.8 a | 8.3 ab | 8163.0 a |
| BCT3 | 80.0 ab | 122.6 b | 3.52 a | 200.0 bc | 15.1 a | 7.8 b | 8596.5 b |
| BCT4 | 82.5 b | 127.9 | 3.78 b | 205.6c | 15.4 a | 8.2 b | 8668.0 b |
| BCT5 | 80.0 ab | 122.5 b | 3.57 ab | 199.7 bc | 14.8 a | 7.9 b | 8453.5 a |
| LSD0.05 | 5.61 | 4.92 | 0.24 | 9.04 | 0.68 | 0.63 | 378.21 |
| Treatment | Survival Rate (%) | Tree Height (cm) | Stump Diameter (cm) | Canopy Diameter (cm) | No. of Primary Branch | No. of Secondary Branch | Fresh Berry Yield (kg/ha) |
|---|---|---|---|---|---|---|---|
| OGT1 | 71.3 a | 115.9 | 2.73 | 187.6 | 13.0 | 6.5 | 6869.5 |
| OGT2 | 77.5 ab | 123.2 a | 3.20 a | 194.2 a | 14.4 a | 7.7 a | 7580.5 a |
| OGT3 | 78.8 b | 123.6 a | 3.23 a | 198.5 a | 14.7 ab | 7.9 ab | 7949.8 a |
| OGT4 | 78.7 b | 129.6 b | 3.20 a | 204.7 b | 15.7 b | 8.5 b | 8019.0 ab |
| OGT5 | 86.2 | 130.0 b | 3.42 | 205.4 b | 15.9 b | 8.6 b | 8283.5 b |
| LSD0.05 | 3.67 | 2.92 | 0.09 | 2.97 | 0.61 | 0.36 | 350.16 |
© 2020 by the authors. Licensee MDPI, Basel, Switzerland. This article is an open access article distributed under the terms and conditions of the Creative Commons Attribution (CC BY) license (http://creativecommons.org/licenses/by/4.0/).
Share and Cite
Pham, T.T.; Nguyen, N.H.; Yen, P.N.D.; Lam, T.D.; Le, N.T.T. Proposed Techniques to Supplement the Loss in Nutrient Cycling for Replanted Coffee Plantations in Vietnam. Agronomy 2020, 10, 905. https://doi.org/10.3390/agronomy10060905
Pham TT, Nguyen NH, Yen PND, Lam TD, Le NTT. Proposed Techniques to Supplement the Loss in Nutrient Cycling for Replanted Coffee Plantations in Vietnam. Agronomy. 2020; 10(6):905. https://doi.org/10.3390/agronomy10060905
Chicago/Turabian StylePham, The Trinh, Ngoc Hoi Nguyen, Pham Nguyen Dong Yen, Tri Duc Lam, and Ngoc Thuy Trang Le. 2020. "Proposed Techniques to Supplement the Loss in Nutrient Cycling for Replanted Coffee Plantations in Vietnam" Agronomy 10, no. 6: 905. https://doi.org/10.3390/agronomy10060905
APA StylePham, T. T., Nguyen, N. H., Yen, P. N. D., Lam, T. D., & Le, N. T. T. (2020). Proposed Techniques to Supplement the Loss in Nutrient Cycling for Replanted Coffee Plantations in Vietnam. Agronomy, 10(6), 905. https://doi.org/10.3390/agronomy10060905

