Impacts of Spatial Zonation Schemes on Yield Potential Estimates at the Regional Scale
Abstract
1. Introduction
2. Materials and Methods
2.1. Study Area
2.2. Method Roadmap
2.3. Data Description
2.4. WheatGrow Model Description and Validation
2.5. Design of the Zonation Schemes and the Regional Yield Potential Simulation Scenarios
2.6. Upscaling the Yield Potential of the Sites and Performing Uncertainty Analysis
2.6.1. Calculation of the Regional Yield Potential Using the Spatial Weighted Average Method
2.6.2. Uncertainty of the Regional Yield Potential Estimation
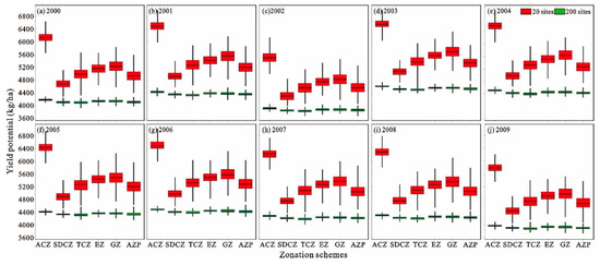
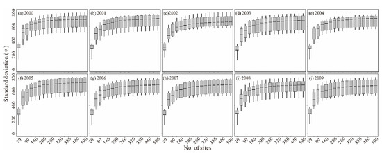
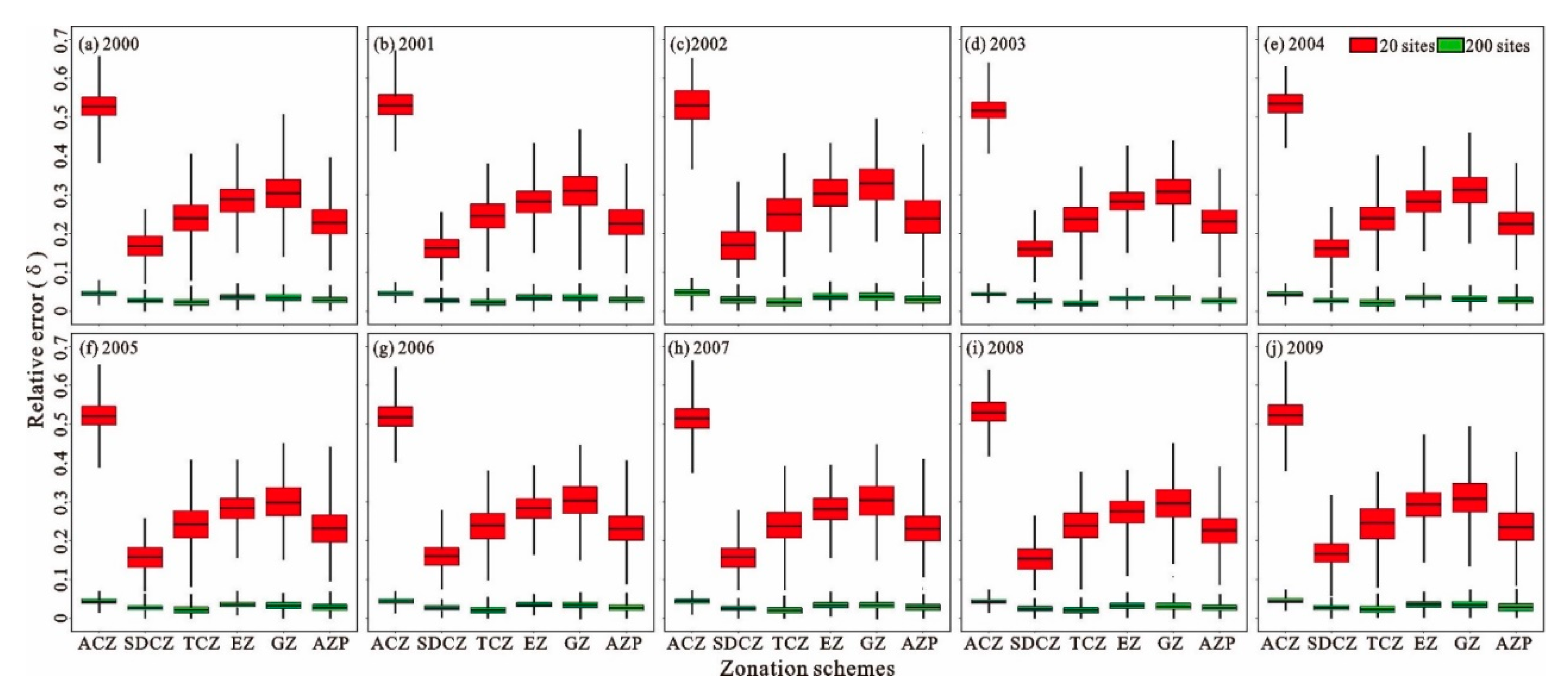
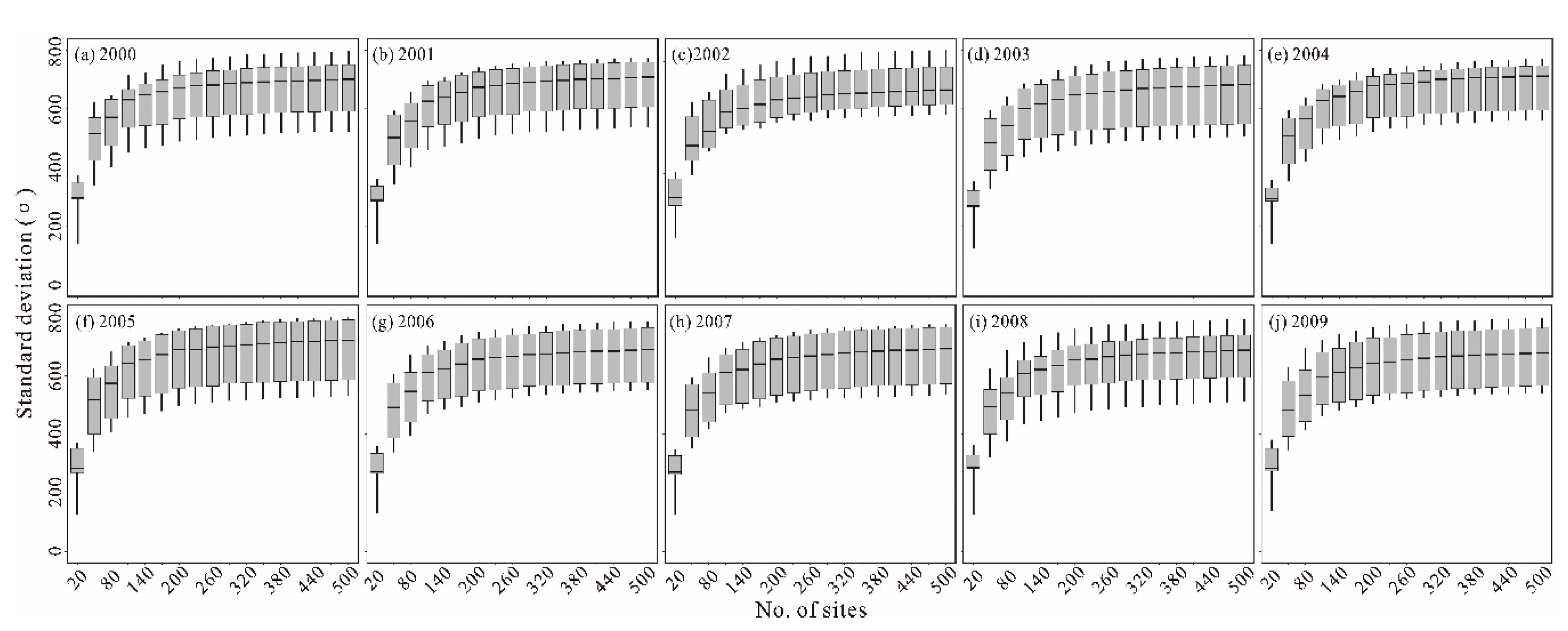
3. Results
4. Discussion
5. Conclusions
Author Contributions
Funding
Conflicts of Interest
References
- Van Wart, J.; Kersebaum, K.C.; Peng, S.; Milner, M.; Cassman, K.G. Estimating crop yield potential at regional to national scales. Field Crops Res. 2013, 143, 34–43. [Google Scholar] [CrossRef]
- Cedrez, C.B.; Hijmans, R.J. Methods for spatial prediction of crop yield potential. Agron. J. 2018, 110, 2322–2330. [Google Scholar] [CrossRef]
- Monjardino, M.; Hochman, Z.; Horan, H. Yield potential determines Australian wheat growers’ capacityto close yield gaps while mitigating economic risk. Agron. Sustain. Dev. 2019, 39, 49. [Google Scholar] [CrossRef]
- Zhang, X.; Xu, H.; Jiang, L.; Zhao, J.; Zuo, W.; Qiu, X.; Tian, Y.; Cao, W.; Zhu, Y. Selection of appropriate spatial resolution for the meteorological data for regional winter wheat potential productivity simulation in China based on wheatgrow model. Agronomy 2018, 8, 198. [Google Scholar] [CrossRef]
- Morell, F.J.; Yang, H.S.; Cassman, K.G.; Van Wart, J.; Elmore, R.W.; Licht, M.; Coulter, J.A.; Ciampitti, I.A.; Pittelkow, C.M.; Brouder, S.M.; et al. Can crop simulation models be used to predict local to regional maize yields and total production in the U.S. Corn Belt? Field Crops Res. 2016, 192, 1–12. [Google Scholar] [CrossRef]
- Tveito, O.E.; Bjørdal, I.; Skjelvåg, A.O.; Aune, B. A GIS-based agro-ecological decision system based on gridded climatology. Meteorol. Appl. 2010, 12, 57–68. [Google Scholar] [CrossRef]
- Elliott, J.W. The Global Gridded Crop Model Intercomparison (GGCMI). Geosci. Model Dev. Discuss. 2015, 7, 4383–4427. [Google Scholar] [CrossRef]
- Zhao, G.; Siebert, S.; Enders, A.; Rezaei, E.E.; Yan, C.; Ewert, F. Demand for multi-scale weather data for regional crop modeling. Agric. For. Meteorol. 2015, 200, 156–171. [Google Scholar] [CrossRef]
- Van Bussel, L.; Ewert, F.; Zhao, G.; Hoffmann, H.; Enders, A.; Wallach, D.; Asseng, S.; Baigorria, G.A.; Basso, B.; Biernath, C.; et al. Spatial sampling of weather data for regional crop yield simulations. Agric. For. Meteorol. 2016, 220, 101–115. [Google Scholar] [CrossRef]
- Zhao, G.; Hoffmann, H.; Yeluripati, J.; Xenia, S.; Nendel, C.; Coucheney, E.; Kuhnert, M.; Tao, F.; Constantin, J.; Raynal, H.; et al. Evaluating the precision of eight spatial sampling schemes in estimating regional means of simulated yield for two crops. Environ. Model. Softw. 2016, 80, 100–112. [Google Scholar] [CrossRef]
- Van Bussel, L.; Grassini, P.; Van Wart, J.; Wolf, J.; Claessens, L.; Yang, H.; Boogaard, H.; De Groot, H.; Saito, K.; Cassman, K.G.; et al. From field to atlas: Upscaling of location-specific yield gap estimates. Field Crops Res. 2015, 177, 98–108. [Google Scholar] [CrossRef]
- Van Wart, J.; Van Bussel, L.; Wolf, J.; Licker, R.; Grassini, P.; Nelson, A.; Boogaard, H.; Gerber, J.S.; Mueller, N.D.; Claessens, L.; et al. Use of agro-climatic zones to upscale simulated crop yield potential. Field Crops Res. 2013, 143, 44–55. [Google Scholar] [CrossRef]
- Rötter, R.; Palosuo, T.; Kersebaum, K.-C.; Valadez, C.E.A.; Bindi, M.; Ewert, F.; Ferrise, R.; Hlavinka, P.; Moriondo, M.; Nendel, C.; et al. Simulation of spring barley yield in different climatic zones of Northern and Central Europe: A comparison of nine crop models. Field Crops Res. 2012, 133, 23–36. [Google Scholar] [CrossRef]
- Van Ittersum, M.K.; Cassman, K.G.; Grassini, P.; Wolf, J.; Tittonell, P.; Hochman, Z. Yield gap analysis with local to global relevance—A review. Field Crops Res. 2013, 143, 4–17. [Google Scholar] [CrossRef]
- Dark, S.J.; Bram, D. The Modifiable Areal Unit Problem (MAUP) in Physical Geography. Prog. Phys. Geogr. 2007, 31, 471–479. [Google Scholar] [CrossRef]
- Ruddell, D.; Wentz, E.A. Multi-tasking: Scale in geography. Geogr. Compass 2009, 3, 681–697. [Google Scholar] [CrossRef]
- Simbahan, G.C.; Dobermann, A. Sampling optimization based on secondary information and its utilization in soil carbon mapping. Geoderma 2006, 133, 345–362. [Google Scholar] [CrossRef]
- Sun, P.; Congalton, R.G.; Pan, Y. Using a simulation analysis to evaluate the impact of crop mapping error on crop area estimation from stratified sampling. Int. J. Digit. Earth 2019, 12, 1046–1066. [Google Scholar] [CrossRef]
- Zheng, J.; Yin, Y.; Li, B. A new scheme for climate regionalization in China. Acta Geogr. Sin. 2010, 65, 3–12. [Google Scholar]
- Zhao, G. Study on Chinese wheat planting regionalization (II). J. Triticeae Crops 2010, 30, 1140–1147. [Google Scholar]
- Liu, B.; Liu, L.; Asseng, S.; Zou, X.; Li, J.; Cao, W.; Zhu, Y. Modelling the effects of heat stress on post-heading durations in wheat: A comparison of temperature response routines. Agric. For. Meteorol. 2016, 222, 45–58. [Google Scholar] [CrossRef]
- Yan, M.; Cao, W.; Luo, W.; Jiang, H. A mechanistic model of phasic and phenological development of wheat. I. Assumption and description of the model. Chin. J. Appl. Ecol. 2000, 11, 355. [Google Scholar]
- Cao, W.; Moss, D.N. Modelling phasic development in wheat: A conceptual integration of physiological components. J. Agric. Sci. 1997, 129, 163–172. [Google Scholar] [CrossRef]
- Liu, T.; Cao, W.; Luo, W.; Wang, S.; Yin, J. A simulation model of photosynthetic production and dry matter accumulation in wheat. Acta Tritical Crops 2001, 21, 26–30. [Google Scholar]
- Liu, T.; Cao, W.; Luo, W.; Wang, S.; Guo, W.; Zou, W.; Zhou, Q. Quantitative simulation on dry matter partitioning dynamic in wheat organs. J. Triticeae Crops 2001, 21, 25–31. [Google Scholar]
- Pan, J.; Zhu, Y.; Jiang, D.; Dai, T.; Li, Y.; Cao, W. Modeling plant nitrogen uptake and grain nitrogen accumulation in wheat. Field Crops Res. 2006, 97, 322–336. [Google Scholar] [CrossRef]
- Pan, J.; Zhu, Y.; Cao, W. Modeling plant carbon flow and grain starch accumulation in wheat. Field Crops Res. 2007, 101, 276–284. [Google Scholar] [CrossRef]
- Hu, J.; Cao, W.; Jiang, D.; Luo, W. Quantification of water stress factor for crop growth simulation I. Effects of drought and waterlogging stress on photosynthesis, transpiration and dry matter partitioning in winter wheat. Acta Agron. Sin. 2004, 30, 315–320. [Google Scholar]
- Zhuang, H.Y.; Cao, W.X.; Jiang, S.X.; Wang, Z.G. Simulation on nitrogen uptake and partitioning in crops. Syst. Sci. Compr. Stud. Agric. 2004, 20, 5–8. [Google Scholar]
- Lv, Z.; Liu, X.; Tang, L.; Liu, L.; Cao, W.; Zhu, Y. Estimation of ecotype-specific cultivar parameters in a wheat phenology model and uncertainty analysis. Agric. For. Meteorol. 2016, 221, 219–229. [Google Scholar] [CrossRef]
- Brus, D.J.; Spätjens, L.E.E.M.; De Gruijter, J.J. A sampling scheme for estimating the mean extractable phosphorus concentration of fields for environmental regulation. Geoderma 1999, 89, 129–148. [Google Scholar] [CrossRef]
- Pohlert, T. Use of empirical global radiation models for maize growth simulation. Agric. For. Meteorol. 2004, 126, 47–58. [Google Scholar] [CrossRef]
- Brassel, K.E.; Reif, D. A procedure to generate Thiessen polygons. Geogr. Anal. 1979, 11, 289–303. [Google Scholar] [CrossRef]
- Lv, Z.; Liu, X.; Cao, W.; Zhu, Y. Climate change impacts on regional winter wheat production in main wheat production regions of China. Agric. For. Meteorol. 2013, 171, 234–248. [Google Scholar] [CrossRef]
- Huang, Y.; Zhu, Y.; Wang, H.; Yao, X.; Cao, W.; Hannaway, D.B.; Tian, Y. Predicting winter wheat growth based on integrating remote sensing and crop growth modeling techniques. Acta Ecol. Sin. 2011, 31, 1073–1084. [Google Scholar]
- Liu, Y.; Zhang, Z.; Wang, J. Regional differentiation and comprehensive regionalization scheme of modern agriculture in China. Acta Geogr. Sin. 2018, 2, 203–218. [Google Scholar]
- Li, B.Y.; Pan, B.; Cheng, W.; Han, J.; Qi, D.; Zhu, C. Research on geomorphological regionalization of China. Acta Geogr. Sin. 2013, 68, 291–306. [Google Scholar]
- Shanbao, J. Chinese Wheat; China Agricultural Press: Beijing, China, 1996. [Google Scholar]
- Pedregosa, F.; Varoquaux, G.; Gramfort, A.; Michel, V.; Thirion, B.; Grisel, O.; Blondel, M. Scikit-learn: Machine Learning in Python. J. Mach. Learn. Res. 2013, 12, 2825–2830. [Google Scholar]
- Boschetti, L.; Stehman, S.V.; Roy, D.P. A stratified random sampling design in space and time for regional to global scale burned area product validation. Remote Sens. Environ. 2016, 186, 465–478. [Google Scholar] [CrossRef]
- De Gruijter, J.; Brus, D.J.; Bierkens, M.F.; Knotters, M. Sampling for Natural Resource Monitoring; Springer: Berlin/Heidelberg, Germany, 2006. [Google Scholar]
- Wang, J.; Haining, R.; Cao, Z. Sample surveying to estimate the mean of a heterogeneous surface: Reducing the error variance through zoning. Int. J. Geogr. Inf. Sci. 2010, 24, 523–543. [Google Scholar] [CrossRef]
- Baron, C.; Sultan, B.; Balme, M.; Sarr, B.; Traore, S.; Lebel, T.; Janicot, S.; Dingkuhn, M. From GCM grid cell to agricultural plot: Scale issues affecting modelling of climate impact. Philos. Trans. R. Soc. B Biol. Sci. 2005, 360, 2095–2108. [Google Scholar] [CrossRef] [PubMed]
- Alexandridis, T.K.; Katagis, T.; Gitas, I.Z.; Silleos, N.G.; Eskridge, K.M.; Gritzas, G. Investigation of aggregation effects in vegetation condition monitoring at a national scale. Int. J. Geogr. Inf. Sci. 2010, 24, 507–521. [Google Scholar] [CrossRef]
- Van Groenigen, J.W. The influence of variogram parameters on optimal sampling schemes for mapping by kriging. Geoderma 2000, 97, 223–236. [Google Scholar] [CrossRef]
- Fortin, M.J.; Drapeau, P.; Legendre, P. Spatial autocorrelation and sampling design in plant ecology. Vegetation. 1989, 83, 209–222. [Google Scholar] [CrossRef]
- Wisz, M.S.; Hijmans, R.J.; Li, J.; Peterson, A.T.; Graham, C.H.; Guisan, A.; NCEAS. Effects of sample size on the performance of species distribution models. Divers. Distrib. 2008, 14, 763–773. [Google Scholar] [CrossRef]
- Varella, H.; Guérif, M.; Buis, S. Global sensitivity analysis measures the quality of parameter estimation: The case of soil parameters and a crop model. Environ. Model. Softw. 2010, 25, 310–319. [Google Scholar] [CrossRef]
- Zhao, G.; Bryan, B.A.; Song, X. Sensitivity and uncertainty analysis of the APSIM-wheat model: Interactions between cultivar, environmental, and management parameters. Ecol. Model. 2014, 279, 1–11. [Google Scholar] [CrossRef]
- Sadras, V.O.; Monzon, J.P. Modelled wheat phenology captures rising temperature trends: Shortened time to flowering and maturity in Australia and Argentina. Field Crops Res. 2006, 99, 136–146. [Google Scholar] [CrossRef]
- Asseng, S.; Jamieson, P.D.; Kimball, B.; Pinter, P.; Sayre, K.; Bowden, J.W.; Howden, S.M. Simulated wheat growth affected by rising temperature, increased water deficit and elevated atmospheric CO2. Field Crops Res. 2004, 85, 85–102. [Google Scholar] [CrossRef]
- Liu, L.; Wallach, D.; Li, J.; Liu, B.; Zhang, L.; Tang, L.; Zhang, Y.; Qiu, X.; Cao, W.; Zhu, Y. Uncertainty in wheat phenology simulation induced by cultivar parameterization under climate warming. Eur. J. Agron. 2018, 94, 46–53. [Google Scholar] [CrossRef]
- Grassini, P.; Van Bussel, L.; Van Wart, J.; Wolf, J.; Claessens, L.; Yang, H.; Boogaard, H.; De Groot, H.; Van Ittersum, M.; Cassman, K.G. How good is good enough? Data requirements for reliable crop yield simulations and yield-gap analysis. Field Crops Res. 2015, 177, 49–63. [Google Scholar] [CrossRef]
- Gao, J.; Liu, Y. Climate warming and land use change in Heilongjiang Province, Northeast China. Appl. Geogr. 2011, 31, 482. [Google Scholar] [CrossRef]











| Zonation Scheme | Number | Maximum Area (km2) | Minimum Area (km2) | Mean Area (km2) |
|---|---|---|---|---|
| AZP | 11 | 313,747.8 | 105,505.6 | 204,452.7 |
| ACZ | 18 | 361,497.3 | 30,636.7 | 124,943.3 |
| GZ | 12 | 396,268.4 | 32,847.2 | 187,415 |
| EZ | 11 | 622,829.2 | 41,791.6 | 204,452.7 |
| TCZ | 9 | 648,279.9 | 91,468.6 | 249,886.7 |
| SDCZ | 9 | 431,735.3 | 64,543.5 | 249,886.7 |
| Year | Meteorological and Topographic Factors | ||||
|---|---|---|---|---|---|
| AveTmax | AveTmin | AveTEM | AveSSD | DEM | |
| 2000 | −0.707 ** | −0.699 ** | −0.715 ** | 0.831 ** | −0.189 ** |
| 2001 | −0.703 ** | −0.687 ** | −0.705 ** | 0.83 ** | −0.214 ** |
| 2002 | −0.7 ** | −0.696 ** | −0.71 ** | 0.818 ** | −0.07 |
| 2003 | −0.673 ** | −0.655 ** | −0.674 ** | 0.815 ** | −0.174 ** |
| 2004 | −0.714 ** | −0.682 ** | −0.706 ** | 0.852 ** | −0.248 ** |
| 2005 | −0.761 ** | −0.743 ** | −0.762 ** | 0.871 ** | −0.138 ** |
| 2006 | −0.764 ** | −0.754 ** | −0.771 ** | 0.877 ** | −0.144 ** |
| 2007 | −0.722 ** | −0.713 ** | −0.728 ** | 0.841 ** | −0.099 * |
| 2008 | −0.741 ** | −0.716 ** | −0.738 ** | 0.863 ** | −0.24 ** |
| 2009 | −0.703 ** | −0.687 ** | −0.705 ** | 0.819 ** | −0.089 * |
© 2020 by the authors. Licensee MDPI, Basel, Switzerland. This article is an open access article distributed under the terms and conditions of the Creative Commons Attribution (CC BY) license (http://creativecommons.org/licenses/by/4.0/).
Share and Cite
Xu, H.; Huang, F.; Zuo, W.; Tian, Y.; Zhu, Y.; Cao, W.; Zhang, X. Impacts of Spatial Zonation Schemes on Yield Potential Estimates at the Regional Scale. Agronomy 2020, 10, 631. https://doi.org/10.3390/agronomy10050631
Xu H, Huang F, Zuo W, Tian Y, Zhu Y, Cao W, Zhang X. Impacts of Spatial Zonation Schemes on Yield Potential Estimates at the Regional Scale. Agronomy. 2020; 10(5):631. https://doi.org/10.3390/agronomy10050631
Chicago/Turabian StyleXu, Hao, Fen Huang, Wenjun Zuo, Yongchao Tian, Yan Zhu, Weixing Cao, and Xiaohu Zhang. 2020. "Impacts of Spatial Zonation Schemes on Yield Potential Estimates at the Regional Scale" Agronomy 10, no. 5: 631. https://doi.org/10.3390/agronomy10050631
APA StyleXu, H., Huang, F., Zuo, W., Tian, Y., Zhu, Y., Cao, W., & Zhang, X. (2020). Impacts of Spatial Zonation Schemes on Yield Potential Estimates at the Regional Scale. Agronomy, 10(5), 631. https://doi.org/10.3390/agronomy10050631

