1. Introduction
Cotton is an important cash crop grown worldwide as a major source of fiber [
1]. Cotton is perennial but commercially grown as an annual crop and has indeterminate growth. China is the largest cotton-producing country in the world by contributing about 30% of the world’s cotton production [
2]. Henan Province is one of the major cotton growing provinces of China, with more than 400 thousand hectares of land [
3]. Plant density determination is one of the most important practices for increasing yield of cotton [
4]. Plant density is the key factor for optimizing structures and increasing the photosynthetic capacity of the cotton canopy. High planting density has become common in cotton production systems. It has been reported that both too high and too low plant density reduces cotton yield by affecting light penetration and moisture availability, further influencing plant height, architecture, boll behavior, and crop maturity. An optimum plant density not only improves the yield and fiber quality of cotton but also reduces input costs by minimizing seed rate and fertilizer application without decreasing yield [
5]. Low plant density produced a higher number of heavy bolls per plant, while both the number and weight of bolls reduced with increasing plant density [
6,
7]. Currently, suggested and practiced plant densities in China are 5.3 × 10
4 to 7.5 × 10
4 plants ha
−1 in the Yellow River Valley [
8], 3.0 × 10
4 plants ha
−1 in the Yangtze River Valley [
9], and 22.7 × 10
4 plants ha
−1 in the Northwest region. The difference between the plant densities among various locations is due to difference in climatic conditions which affect the yield and fiber quality of cotton.
Biomass accumulation in the cotton plant during the early growth period is an important factor for final yield determination. More biomass accumulation in early stages helps in better establishment of a crop while accumulation at late growth stages increases assimilation to the reproductive organs, resulting in a higher yield and quality of cotton [
10]. Cotton plants accumulate more biomass in vegetative organs due to its indeterminate nature. More assimilate accumulation to vegetative and reproductive organs increases the shedding of fruit and leaves [
11,
12]. At maturity, the aboveground biomass becomes lower than the total due to the shedding of leaves and fruits [
13]. Previous studies have confirmed that optimum plant density is the critical factor for establishing optimal canopy structure and leaf area index (LAI). Optimal LAI determines light penetration in the canopy [
14,
15,
16]. Several researchers have examined the relationship between the plant density, LAI, and cotton production [
17,
18,
19] and found that an increase in plant density results in higher LAI, while too-high LAI caused shading and reduced the yield [
20,
21]. Both LAI and yield increases slowly with an increase in plant density [
22]. Fiber quality indicators including fiber strength, fitness, length, uniformity index, and fineness are negatively affected by environmental and genetic factors as well as poor management practices at flowering and boll formation stages [
23,
24]. Similarly, fiber quality is affected by plant density, irrigation, fertilization, and weather changes [
23,
25]. This study is conducted with the aim to assess the response of cotton yield and fiber quality, biomass accumulation, and partitioning of various plant densities to identify technological alternatives to make efficient use of land and increase yield and profitability of cotton.
2. Materials and Methods
2.1. Experimental Site
The study was conducted in 2016 and 2017 at the experimental station of the Institute of Cotton Research of Chinese Academy of Agricultural Sciences in Anyang, Henan, China (36°06′ N, 114°21′ E). The soil was medium loam in texture with a total N of 0.65 g kg
−1, P of 0.01 g kg
−1 and K of 0.11 g kg
−1. The monthly average temperature and relative humidity data of both years of cotton growing seasons are presented in
Figure 1. The average temperature during the cotton growing season was 22 °C and 23 °C in 2016 and 2017, respectively. Annual rainfall was 713 mm in 2016 and 585 mm in 2017. Annual sunshine hours were 1737 h in 2016 and 1838 h in 2017. The average air temperature at the seedling and reproductive stages was cooler as compared to other growth stages. The overall cotton growing season in 2016 was cooler with more rainfall as compared to 2017.
2.2. Experimental Design
The experiment was conducted in a randomized complete block design (RCBD). Six plant densities (D1, 1.5; D2, 3.3; D3, 5.1; D4, 6.9; D5, 8.7; and D6, 10.5 plants m−2) were plotted randomly in three replications on clay loam soil. Each experimental plot area was 64 m2 with 8 m in length and width. Each plot consisted of 10 rows, with a row spacing of 0.8 m, which was constant for all plant densities. Seeds of cotton mid maturity cultivar SCRC28 were sown by hand on flat beds with plastic mulching to conserve soil moisture from evaporation. Plastic mulch was removed after one month of full emergence. Seedlings were thinned to the required plant densities after three weeks of emergence. During both years, the land was prepared by ploughing, and irrigated in early spring before sowing. Sowing was done during the growing season on 22 April in 2016 and 2017.
A basal dose of 225 kg N ha−1, 150 kg P2O5 ha−1, and 225 kg K2O ha−1 was applied to the field before sowing. Irrigation was applied by flooding during the flowering stage at a total volume of approximately 45 m3. Crop management practices such as weeding, hoeing, pesticides, and irrigation were performed in a timely manner to enhance crop growth.
2.3. Data Collection
Data were recorded on cotton leaf area index, biomass accumulation at critical stages of crop growth, fiber quality, yield and yield components (boll m−2 and boll weight) during 2016 and 2017 at different days after emergence.
2.3.1. Yield and Yield Components
Seed cotton yield (kg/ha) and lint yield (kg/ha) were recorded by hand-harvesting three times from each treatment. The boll moisture was reduced to less than 11% by air-drying and seed cotton of 100 bolls at first harvest were sampled for boll weight. Weight of single boll was calculated by dividing total seed cotton yield of 100 bolls by the total number of bolls. Lint percentage was calculated from lint yield of 100 bolls divided by seed cotton weight of 100 bolls.
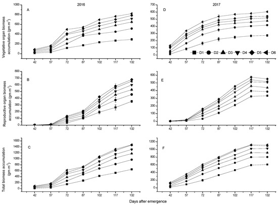
2.3.2. Biomass Accumulation and Partitioning
The dry weight of cotton plants was recorded seven times during the growing season with an interval of 15 days at 42 days after emergence (DAE), 57 DAE, 72 DAE, 87 DAE, 102 DAE, 117 DAE, and 132 DAE. Three plants from each plot of three replications were uprooted randomly and dissected into the underground part (roots), leaves, stem, and reproductive structures. Samples were quickly placed for 30 min in an electric fan-assisted oven at 105 °C in order to stop metabolism. Samples were dried at 80 °C for 48 h to attain a constant weight. Dry matter partitioning was calculated by the ratio of the dry weight of reproductive organs (DWRO) (squares, flowers, green, and open bolls) to plant total biomass while boll load was calculated by dividing DWRO by leaf area. A logistic regression equation was used to describe biomass accumulation [
26].
In Equation (1) Y (kg) is the biomass, A (kg) the maximum biomass, t (d) is the number of days after emergence (DAE) while a and b are constants.
From Formula (1), the following equations were calculated:
In the above equations, VM (kg ha−1 d−1) is the highest rate of biomass accumulation, and t (d) is the maximum biomass fast accumulation period. Y1 and Y2 are the biomass at t1 and t2. VA indicates the average biomass accumulation from t1 to t2 and ∆t (d) is the total period of average biomass accumulation.
2.3.3. Leaf Area Index
LAI of cotton plants were calculated by taking photos of leaves through a scanning machine (Phantom p800xl, MiCROTEK, Shanghai, China) and leaf area was calculated by using Image-Pro Plus 7.0 (Media Cybernetics, Rockville, MD, USA). The LAI was determined by dividing the total plant leaf area per unit ground area.
2.3.4. Fiber Quality
Fiber quality, including fiber length (mm), fiber uniformity, fiber strength (cN tex−1), and fiber micronaire, were assessed by the Supervision, Inspection and Test Center of Cotton Quality, Ministry of Agriculture, in Anyang, Henan province of China using a high volume instrument (HVI-900) (Changing Technologies, Mainland, China) according to the internationally accepted ICC standard.
2.3.5. Statistical Analysis
Microsoft Excel 365 (Microsoft, Bothell, WA, USA) as used for the processing of data. SPSS 19.0 (SPSS Inc. Chicago, IL, USA) and Origin 2016 (OriginLab Corporation, Northampton, MA, USA) were used for the analysis of data. Figures were plotted by using Origin 2016. Duncan’s multiple range test at 5% probability level was used to test differences among mean values.
4. Discussion
The main purpose of this study is to explore and compare different plant densities in response to cotton yield, leaf area index, dry matter partitioning, and fiber quality at different growth stages. Higher plant density is the key management practice for obtaining greater numbers of bolls per unit area, but in most cases, the yield enhances up to an optimum density, after which further increase in plant population decreases yield. Different regions of China have different optimum densities and lint production, which depends on climatic conditions along with other management practices. The Xinjiang autonomous region has the recommended PD of 21.0 × 10
4 to 24.0 × 10
4 plants ha
−1 [
27]; followed by Yellow River Valley with a PPD of 3.0 × 10
4, 4.5 × 10
4, and 6.0 × 10
4 plants ha
−1 for hybrid Bt cotton, indigenous Bt cotton, and Bt cotton, respectively [
28,
29], and for late sowing, PD is 7.5 × 10
4 ha
−1 [
30]; while in the Yangtze River Valley where hybrid seeds are commonly used, it has the PD of 3.0 × 10
4 plants ha
−1 [
31]. Our results are consistent with previous studies that have shown that cotton yield increases up to a certain limit with increasing PD, while too low and too high plant density cause a reduction in yield [
32]. In this study, yield and yield components were significantly affected by plant density, excluding boll weight and lint percentage. High yield and yield components were noted in plant density D5. Yield and number of bolls produced by a single plant of the treatment D5 was lower as compared to other treatments but was more based on per unit area. These results are consistent with Mao et al. [
33], who reported that high plant population increase bolls m
−2 while the weight of individual bolls decreases.
More biomass production is the foundation of high yield [
34,
35,
36]. In this study, biomass accumulation was higher in 2016 as compared to 2017, which might be due to differences in environmental conditions. Total plant biomass and vegetative organ biomass accumulation were high in higher plant density while higher reproductive organ biomass was accumulated in D5 as compared to other treatments. In early growth stages of the cotton plant, plant density did not affect reproductive structure biomass accumulation, while after 87 DAE ROB, accumulation was influenced significantly. High biomass accumulation in high plant density was due to a greater number of plants per unit ground area with more vegetative growth. Our results are in line with other researchers who also reported that high plant density resulted in high biomass production [
37,
38]. Both high and low plant density lead to reductions in reproductive organ biomass. The less ROB production in high population might be due to less light penetration to the lower parts of plants, followed by a reduction in temperature and increased relative humidity in the cotton canopy, which enhanced fruit shedding as compared to other plant densities [
39].
The ratio of dry weight of reproductive organs to plant biomass (DWRO/PB) also affected the yield of cotton [
40]. In this study, the highest ratio was obtained in the lowest plant density D1 as compared to other treatments which showed less differences. Similar results were previously obtained by Dai et al. [
37], who also reported high DWRO/PB in the lowest density. Boll load is also an important indicator of lint yield. In this study, a high and significant ratio of dry weight of reproductive organs per leaf area (DWRO/LA) was observed in high plant densities (D4–D6), mostly in the late growth stages. Our results are supported by Dong et al. [
30], where high boll load led to an increase in leaf senescence and a decrease in cotton yield and quality. The high DWRO/LA in late growth stages is due to high competition for nutrients and assimilates between vegetative and reproductive growth after the bloom stage [
40].
Leaf area index is an important factor that affects biomass production of cotton [
41]. LAI is also one of the physiological parameters which determine crop yield and predict crop production up to some extent. For obtaining high yield, it is necessary to maintain optimum LAI for more light penetration and high light use efficiency, mostly at late growth stages: that is, the flowering and boll setting stages [
22].
Cotton fiber is the extension of seed epidermal cells. Fiber quality indicators are affected by plant density and environmental factors [
10]. In the present study, cotton fiber indicators were significantly affected by plant density. Low plant density had high strength and micronaire value as compared to high plant density, while the length of low plant density is shorter as compared to high and moderate plant density. Our results are in agreement with previous research that have reported high strength and micronaire and short fiber length at low planting density [
5,
33]. The lower fiber quality at high planting density may be due to less photosynthesis, which reduces carbohydrate supply for fiber formation. For obtaining good quality fiber, cultivar selection is of great importance, while managing plant populations to maintain genetic potential is the secondary part [
42,
43].
Economic benefit plays an important role in the success of agriculture business. In the Yellow River Valley, due to fast urbanization, high labor costs and a shortage of labor have become a challenge to traditional intensive cotton production [
2]. Labor cost specifically affects the profitability of the cotton crop. High density has less vegetative branches as compared to high plant density, which needs less labor for vegetative branch removal and other field management.