Abstract
Grapevine trunk diseases (GTD) are caused by several fungal species and are major limiting factors to vineyard productivity and profitability in all viticulture areas. This study is aimed at addressing the gap in the knowledge with regards to measuring the long-term benefits of post-pruning fungicide application on trunk diseases incidence and crop yield in grape production systems. It also calculated the net economic benefit of implementing such practice over the vineyard lifespan. We selected a newly planted commercial table grape vineyard in the California desert and divided it in two blocks. In one block, the registered fungicide thiophanate-methyl was mechanically applied on pruning wounds for six consecutive years, while the other half remained untreated. Our results showed a significant lower GTD incidence and vine replants in treated blocks combined with a significant increase of total and marketable fruit. Potential annual economic benefits of applying fungicide on pruning wounds appear to be in the range of $8500–$12,500 per hectare annually in a 50–75% disease control scenario.
1. Introduction
According to the International Organization of Vine and Wine, 77.8 million tons of grapes were produced in 2018, with 57% wine grapes, 36% table grapes, and 7% dried grapes [1]. The US is the 8th largest producer of table grapes worldwide with about 1 million tons and 49,000 bearing hectares [2]. California produces over 95% of the nation’s table grapes [3]. A substantial fraction of table grapes is being produced in the California desert, where local growers have adapted the viticulture practices to the hot and dry summers and mild winters in order to reach optimal fruit yield and quality for early market access and high dollar crop value. To that end, they have implemented a hydro-cooling system using overhead sprinkler irrigation during the winter months to add chilling units and increase bud fruitfulness. In addition, a plant growth regulator (i.e., Dormex®; Hydrogen cyanamide) is applied after pruning to break bud dormancy and stimulate more uniform and earlier bud break. Another practice that is common for the new planted vineyards in the desert is to leave the old stumps from the previous vineyard and re-train the new vines on the already established trellis system (Figure 1). However, previous studies have raised concern that these practices would favor incidence of severity of grapevine trunk diseases (GTD) caused by fungal vascular pathogens [4].
Figure 1.
Vineyard with new vines inter-planted between old vine stumps (white arrow).
GTD are major factors limiting the profitable lifetime expectancy of vineyards [5,6]. Standard business models for vineyards are based on 25 years or more of optimal productivity. First GTD symptoms commonly manifest in 8–10 years old vineyards by a loss of spur positions [7]. As vineyards age, the diseases progress causing cordon/trunk dieback and eventually vine death. The drop in productivity is also accompanied with a decrease in fruit quality and marketability [8]. This disease condition implies that for growers, the break-even point is reached at a later time than projected in their business model, or in worst case scenario, not at all, and that overall profits are diminished [6].
GTD are caused by a set of taxonomically unrelated fungi that are soilborne (e.g., black foot caused by Campylocarpon, Dactylonectria, and Ilionectria species, and Armillaria root rot caused by Armillaria mellea), airborne (e.g., Eutypa dieback caused by Eutypa species, Botryosphaeria canker caused by several taxa in the Botryosphaeriaceae family), or both (e.g., esca caused by Phaeomoniella chlamydpospora, Phaeoacremonium and Cadophora species) [4,9,10,11,12,13,14,15,16,17]. Fungi use wounds (natural, mechanical, pruning) as a point of entry to the plant vascular system, colonize the host and decay the wood, causing an irreversible loss of function of the xylem and phloem elements that results in the dieback and wilt symptoms [18]. To ensure that vines remain pathogen-free, one must adopt preventative practices in order to limit the risks of infection, such as pruning during dry weather when airborne inoculum is low [4,19]. In addition, adoption of pruning wounds protection with biological and conventional agrochemicals early on at the establishment of a vineyard remains the safest practice to ensure low infection risks and extended vineyard longevity [6,20]. However, experimental studies implemented to evaluate efficacy of pruning wound protectants are limited in scope mainly because of the relatively short time frame of these studies in comparison to the incubation period required by those pathogens to cause symptoms. The challenges of conducting trials in commercial vineyards over several years that clearly links adoption of preventative practices to increased productivity and positive economic return hinders the positive perception of these practices and the broad adoption among industry stakeholders [21]. The goal of this research was to address this gap and assess the long-term efficacy of adopting preventative management practices at the establishment of vineyards on GTD incidence, measure its impact on grape yield, and calculate the net economic benefits.
2. Materials and Methods
2.1. Experimental Design
The field experiments were conducted in a 3.8 ha own-rooted table grape vineyard cv. “Sugraone” located in the desert of Coachella Valley, California. The vineyard was planted at a vine density of 3.7 m between rows and 1.5 m between vines (1800 vines per hectare). Vines were planted in 2012 and were two years old at the onset of the experiment and were inter-planted between old vine stumps left from the previous vineyard (Figure 1). No data on GTDs incidence or severity were recorded before the start of the experiment.
Each year and for six consecutive years (2014 to 2019), vines were manually pruned during the winter and treated with Dormex® (AlzChem Group AG, Germany) on the next day. On the second day post-pruning, one half of the vineyard was tractor sprayed with the California industry standard Topsin® M 70WP (active ingredient thiophanate methyl 70%; Cerexagri-Nisso LLC, King of Prussia, PA, USA) at an application rate of 1.7 kg/ha using a regular ground application spray rig with output rate at 950 L/ha, whereas the other half always remained untreated. From each half of the vineyard, we selected 15 rows per treatment (30 rows total = 3840 vines about 55% of the vineyard) so that each treatment was equivalent to about one ha. A year after the first spray (in 2015, vineyard was three years-old) and for five consecutive years, we recorded the number of vines that were replaced annually (Figure 2). Vines were replaced because of overall poor vigor and were based on the vineyard’s manager decision.
Figure 2.
Vines replaced in recently planted vineyard (white arrows).
In addition, we recorded starting on the second year of the experiment (in 2016, vineyard was four years old), and for four consecutive years, the incidence of trunk diseases by randomly pruning 10 vines per row and scoring the number of vines with wood symptoms only (i.e., wood discoloration or necrosis; as seen in Figure 3). Symptoms on foliage and berries that can be caused by GTD were not recorded in this study. Finally, at the end of the experiment, following the fifth year of data collection (in 2019, vineyard was seven years old), we recorded at harvest both the total and marketable fruit yield of 25 individual vines selected randomly within those 15 rows in both the treated and untreated blocks. All the clusters (total fruit) from each vine were placed in a bin and weight was recorded using a portable field scale (Ohaus Corporation, Parsippany, NJ, USA). The crop was further processed by professional crew workers to remove all the blemished berries and only keep the marketable fruits for packaging. Marketable fruit weight was also recorded.
Figure 3.
Trunk Diseases symptoms (white arrow) in the cordon of a grapevine.
2.2. Fungal Isolation and Identification
Disease diagnosis was done at the end of the experiment in 2019 following published protocols [16] to determine the causal agents of the wood necrotic symptoms (Figure 3). A total of 50 symptomatic wood samples were collected from the experimental vineyard (25 samples per treatment) and brought back to the laboratory. Bark was removed from the samples and disinfected in 10% bleach (sodium hypochlorite) for 2 min. and rinsed twice in distilled water for 2 min. Fungi were recovered from diseased wood after plating disinfected wood chips (~3 × 3 × 3 mm) sampled from the margin of the canker on Potato Dextrose Agar (PDA) amended with tetracycline (100 ppm). After two weeks of growth at room temperature, fungal isolates were purified to single cultures on PDA. DNA was obtained from aerial mycelium scraped from the surface of 14-day cultures isolated as described above using a DNeasy® Plant kit (Qiagen, Valencia, CA, USA), following manufacturer instructions. The nuclear loci rDNA Internal Transcribed Spacer (ITS) was amplified using PCR primers ITS1/ITS4 [22]. PCR was performed with cycling parameters of one cycle at 94 °C for 5 min, 35 cycles at 94 °C for 1 min, 58 °C for 1 min, and 72 °C for 1 min and 30 s, and a final elongation step at 72 °C for 5 min. PCR products were sequenced in both forward and reverse directions at the Genomic Core Sequencing Facility, University of California, Riverside. BLASTn searches in GenBank identified sequences with percent homology above a 98% cut-off threshold.
2.3. Statistical Analysis
Statistical analysis and graphs were created using R version 3.4.4 (http://www.R-project.org/) and ggpubr version 0.2. Poisson regression followed by the post-hoc Dunnett test, which was used to determine the statistical difference between treated and untreated for the count of replants and vines showing wood symptoms. For weight of marketable fruit and total fruit, the Wilcox test was utilized to measure significance.
2.4. Economic Analysis
Estimates of the economic benefits of post-pruning application of fungicides were derived from pairwise comparisons of simulated vine replacements and variable profits of a representative California table grape vineyard with and without pruning wound application of the fungicide thiophanate methyl. The simulation model is adapted from Kaplan et al. [6] and Baumgartner et al. [23]. Our analysis differs from these past studies by evaluating avoided costs from replanting, which were not evaluated previously, and using field trial data to calibrate the vineyard yield-age profile.
2.4.1. Avoided Replanting Cost
The avoided annual replanting cost was calculated by taking the difference in replanting rates for the treated vines with thiophanate methyl and the control vines in each replanting period, following per row differences (as shown in Figure 4), and multiplying those differences by the cost of replanting vines based on cost analysis data [24] (Supplemental Table S1). To approximate replanting throughout the experimental timeframe, linear regression models were fitted to the data on replanting for both the treated and non-treated vines. Only non-negative predicted values were used. When a predicted value was less than zero, a zero was used instead. The difference between these replanting rates was then multiplied by the average per vine replacement cost of $7.75 taken from the cost analysis studies (Supplemental Table S1).
Figure 4.
Number of vines replanted per row with 130 vines per row in treated and untreated blocks for five consecutive years following fungicide application. Poisson regression followed by the post-hoc Dunnett test was used to determine statistical difference between treated and untreated vines, and p values are presented above the bars. N = 15 rows.
2.4.2. Yield Effects
The mature yields reported in past studies [23,24] were noticeably greater than those obtained in our field trial. To accommodate the difference in mature yields, we calibrated the linear expansion of the yield-age profile to match the relative percentage decrease in yield as previously seen [23], when wounds are protected with thiophanate methyl (see Supplemental Figure S2), starting in year two at a 75% disease control efficacy (DCE) rate, a 50% DCE rate, as well as the no treatment scenario. In all cases, we assume the spread of the infection was uniformly distributed across the vineyard. For additional data to parameterize the simulation model, we relied on data from the University of California Cooperative Extension [24], the United States Department of Agriculture National Agricultural Statistics Service [2], and the scientific literature [23]. This discrepancy complicates translating cultural practices and their costs used in past studies to determine the overall profitability of a vineyard that applies thiophanate-methyl. As such, the analysis focuses on estimating the potential gains from applying thiophanate methyl relative to the non-treated control. To do so, we adopt the variable profit function depicted in Fuller et al. [25] such that:
where is the change in variable profits when the vineyard is t years old. Mathematically, this is the same as the change in profits if it is assumed that the cultural practices used in each vineyard and their costs are otherwise the same, except for the cost of spraying fungicide. In such a case, when taking the difference between profits in the pairwise comparison between a treated and non-treated vineyard results in the cultural costs offsetting, Equation (1) would then be identical to the change in profits. Further, the average table grape price reported in the cost studies of $2.03/kg is used as the price for the grapes produced on the representative vineyard (see Supplemental Table S1). The cost estimate used in Baumgartner et al. [23] of $158/hectare for tractor-sprayed thiophanate-methyl is also used as the treatment cost in each year. The net present value of these changes in variable profit is then calculated using a 3% discount rate to determine the potential economic benefit to spraying thiophanate-methyl relative to the control over a 25-year vineyard lifespan.
3. Results
Our data shows that pruning wound treatments of thiophanate-methyl had a significant effect on vine replant (p < 0.01), disease incidence (p < 0.01), and yield (p < 0.05). Hence, about twice as many vines were replanted each year in the untreated block in comparison to the treated block (Figure 4). The number of vine replant per row overall decreased from about four in year 1 (about 60 vines per ha) to two in year 5 in the untreated block and from two to one in the treated block. Trunk diseases incidence was about twice as high in the untreated block in comparison to the treated block. Disease incidence increased each year in the non-treated block but for the last year of the study, whereas it remained stable at the beginning of the study in the treated block but increased in the last years (Figure 5). We isolated several fungi from infected grapevine wood (50 samples total) that were identified based in ITS sequencing as Lasiodiplodia spp. (14 samples), Neoscytalidium dimidiatum (4 samples), Eutypella spp. (10 samples), Phaeoacremonium spp. (16 samples), and Phaeomoniella chlamydospora (9 samples). Some wood samples (8 total) were co-infected with two of these pathogenic fungi, whereas no known pathogens causing GTDs were recovered in others (5 samples).
Figure 5.
Disease incidence as expressed by the number of cordons showing wood necrotic symptoms in treated and untreated blocks for four consecutive years. Poisson regression followed by a post-hoc Dunnett test was used to determine statistical difference between treated and untreated vines, and p values are presented above the bars. N = 150 vines.
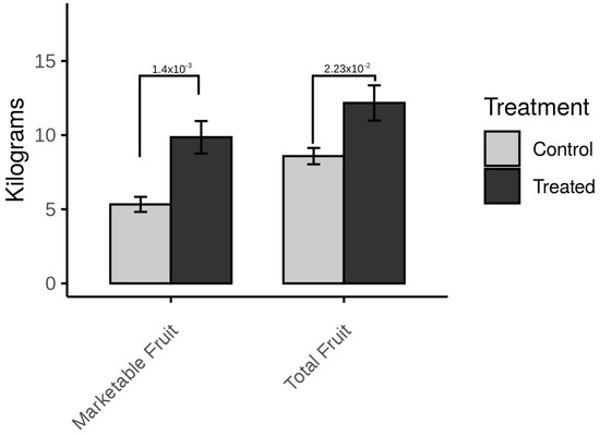
In addition, total yield was reduced from 12 kg of fruit per vine to 9 kg per vine, but the decrease in marketable fruit was even more significant with a drop from 10 kg per vine in the treated block to 5 kg per vine in the untreated block (Figure 6).
Figure 6.
Total fruit and marketable fruit per vine in treated and untreated blocks as measured at the end of the trial. Poisson regression followed by Wilcox test was used to determine statistical difference between treated and untreated vines and p values are presented above the bars. N = 25 vines.
According to our economic analysis, approximately 277 fewer vines/hectare would be replanted over the first 12 years of a vineyard lifespan (Supplementary Figure S1 and Table S2). This reduction in replanting comes with the benefit of avoiding a replanting cost of nearly $2150/hectare (or $2010/hectare in present value terms) over these 12 years. After simulating vineyard production over 25 years (Supplementary Figure S2), we derived measures of the gains in net returns from spraying in year 2 and beyond and calculated the present value of those benefits at approximately $313,100 per hectare and $210,919 per hectare in total over the 25 years for the 75% DCE rate and the 50% DCE rate scenarios, respectively (Supplemental Figure S3). On an annual average basis, these values translate to $12,523 per hectare and $8437 per hectare for the 75% DCE rate and 50% DCE rate scenarios, respectively. Note these potential gains would be avoided losses relative to taking no action to protect the vines from trunk diseases.
4. Discussion
Our study was designed to address a gap in the knowledge with regards to the long-term benefits of post-pruning preventative fungicide applications on disease incidence levels and yield improvements in order to provide an important validation of the research on GTD management. Most field studies aimed at evaluating fungicide efficacy on pathogens causing GTD are conducted over a relative short time frame using artificial pathogen inoculations of grapevines [20,26,27,28], with the speculation that “effective” fungicide will translate into low GTD incidence, and as a result, sustained vineyard productivity and economic prosperity. However, despite the scientific validity of these data, these figures remain mainly convincing within academic circles, whereas they suffer a lack of positive perceptions among industry stakeholders [21]. Growers are often hesitant to adopt preventative practices because improvements to yields and net returns have not been quantified [29]. Our goal was to generate the information to change grower’s perception on the efficacy of preventative GTD control measures and spark a behavioral change with the decision making of early adoption of those practices, at the establishment of a vineyard. Several studies [21,23,29] showed that in California, a minority of table and wine grape growers adopt preventative fungicide application after pruning of young vineyards, despite the fact that they acknowledge the negative impact of GTD on yields. In fact, for the majority of the growers, the first preventative fungicide application often coincides with the first appearance of GTD symptoms (i.e., loss of spur position and cordon dieback) when vineyards turn 8–10 years of age [7,8]. One major economic driver is an incentive to minimize annual production costs in order to reach the break-even point as early as possible. To that end, cutting back on the costs of fungicide applications or other preventative practices such as double pruning or late pruning [19,30] for diseases that are not yet apparent in young vineyards make sense from a grower’s standpoint. Unfortunately, the cost of adopting those preventative practices in mature and affected vineyards will not likely offset significant disease reduction [6], because at this stage curative practices (removal of infected cordon/trunks and vine retrain) are mostly required to reduce disease incidence and severity [31].
This work provides a benchmark about the long-term benefits of adopting preventative pruning wounds protection on GTD incidence, vineyard productivity, and economic return. We measured that the gains in net returns from spraying in year 2 and beyond were approximately between $210,000–310,000 per hectare over 25 years in a scenario of 50–75% disease control as measured in our trial, which translate to a gain of approximately $8500–$12,500 per hectare annually. The efficacy of thiophanate-methyl protection against GTD was lower than what was previously reported in California [20], and may be explained by the mechanized application of the fungicide, which provides less pruning wound coverage than the hand application previously used in trials, and as a result, a lower efficacy [26]. In addition, our data showed that deploying these practices early comes with the benefit of avoiding a replanting cost of nearly $2150/hectare. These figures are reflective of vineyards under high GTD pressure as it is the case in the desert of Coachella. Our recent surveys indicated that several young vineyards (under 5 years of age) were affected by GTD in the California desert (Rolshausen, unpublished), which was unexpected given that the local dry and hot environmental conditions are not conducive to the spread of GTD pathogens as they require temperate weather with rain water or high relative humidity to release fungal spore inoculum [31]. The baseline level of GTD infection as observed in both treated and control blocks probably indicate that vines were already infected before planting or that they became infected in the first two years before the onset of our experiment. GTD infections stemming from nurseries have been reported [32,33] and may explain the relative high incidence of GTD in new vineyards. In addition, the presence of old vine stumps acting as a reservoir for pathogen inoculum, coupled with the overhead sprinkler irrigation create a conducive environment for fungal spores to become airborne at a time when vines are highly susceptible to infection because of the exposed pruning wounds. Hence, high levels of Botryosphaeriaceae inoculum were previously trapped in the region with a significant positive correlation between irrigation and spore release [4]. This unique viticulture area is also known for hosting some of the most virulent GTD pathogens, including Botryosphaeriaceae species in the genera Lasiodiplodia and Neoscytalidium dimidiatum [34,35] that were recovered from the infected grapevine in our field trial. We also identified Phaeomoniella chlamydospora and Phaeoacremonium species the causal agents of esca disease that are widespread to all viticulture production areas worldwide [36], as well as species in the genus Eutypella, previously identified in the California desert area on citrus [37] and known to be pathogenic to grapevine [38]. Additional sequencing will need to be undertaken to verify the species identify and range for some of these taxa. The high disease pressure and known aggressiveness of these fungi combined with additional factors such as perhaps the heightened susceptibility of table grape cultivars to these pathogens [18,39,40] are likely responsible for the increase in disease incidence and severity in our experimental vineyards that translated into vine replant and lower productivity.
Our results clearly demonstrate the economic benefits of early adoption of preventative pruning wound protection measures and will help develop extension material that will resonate with industry stakeholders and assist with decision making to effectively manage GTD.
Supplementary Materials
The following are available online at https://www.mdpi.com/2073-4395/10/12/1895/s1, Figure S1: Fitted Regression Lines for replanting field trial results; Figure S2: Projected yield (kg/vine) by vineyard age for the untreated control, treatment 1 (75% disease control efficacy) and treatment 2 (50% disease control efficacy); Figure S3: Change in Net Returns per hectare over the 25 year vineyard lifespan for treatment 1 (75% disease control efficacy) and treatment 2 (50% disease control efficacy), Table S1: Data and Sources for Vine Replacement Cost, Mature Yield and Grape Prices; Table S2: Predicted Avoided Losses due to treating vines with pruning wound protectant per hectare over first 12 years of vineyard lifespan.
Author Contributions
Conceptualization, C.G. and P.E.R.; methodology, E.D., J.D.K., and P.E.R.; software, E.D. and J.D.K.; validation, C.G., E.D., J.D.K., and P.E.R.; formal Analysis, E.D. and J.D.K.; investigation, C.G. and P.E.R.; resources, C.G., J.D.K., and P.E.R.; data curation, E.D. and J.D.K.; writing—original draft preparation, J.D.K. and P.E.R.; writing—review and editing, C.G., J.D.K., E.D., and P.E.R.; visualization, J.D.K., E.D., and P.E.R.; project administration, C.G. and P.E.R.; funding acquisition, C.G. and P.E.R. All authors have read and agreed to the published version of the manuscript.
Funding
This research was fully funded by the California Desert Grape Administrative Committee and partially funded by the U.S. Department of Agriculture (USDA), National Institute of Food and Agriculture, Specialty Crop Research Initiative Grant#2012-51181-19954.
Acknowledgments
We would like to thank Anthony Vineyards for providing a commercial vineyard to conduct the research, and for the assistance with the tractor application of fungicide and crop harvest.
Conflicts of Interest
The authors declare no conflict of interest.
References
- OIV, International Organisation of Vine and Wine. Statistiical Report on World Vitiviniculture. 2019. Available online: http://oiv.int/public/medias/6782/oiv-2019-statistical-report-on-world-vitiviniculture.pdf (accessed on 15 November 2020).
- USDA-NASS, United States Department of Agriculture National Agricultural Statistics Service. Statistics of Fruits, Tree Nuts, and Horticultural Specialties. 2019. Available online: https://www.nass.usda.gov/Publications/Ag_Statistics/ (accessed on 15 November 2020).
- CDFA, California Department of Food and Agriculture. California Agricultural Production Statistics. 2019. Available online: https://www.cdfa.ca.gov/statistics/ (accessed on 15 November 2020).
- Urbez-Torres, J.R.; Battany, M.; Bettiga, L.J.; Gispert, C.; McGourty, G.; Roncoroni, J.; Smith, R.J.; Verdegaal, P.; Gubler, W.D. Botryosphaeriaceae Species Spore-Trapping Studies in California Vineyards. Plant Dis. 2010, 94, 717–724. [Google Scholar] [CrossRef] [PubMed]
- Siebert, J.B. Eutypa the economic toll on vineyards. Wines Vines 2001, April, 50–56. [Google Scholar]
- Kaplan, J.; Travadon, R.; Cooper, M.; Hillis, V.; Lubell, M.; Baumgartner, K. Identifying economic hurdles to early adoption of preventative practices: The case of trunk diseases in California winegrape vineyards. Wine Econ. Policy 2016, 5, 127–141. [Google Scholar] [CrossRef]
- Duthie, J.A.; Munkvold, G.P.; Marois, J.J. Relationship between age of vineyard and incidence of Eutypa dieback. Phytopathology 1991, 81, 1183. [Google Scholar]
- Munkvold, G.P.; Duthie, J.A.; Marois, J.J. Reductions in Yield and Vegetative Growth of Grapevines Due to Eutypa Dieback. Phytopathology 1994, 84, 186–192. [Google Scholar] [CrossRef]
- Petit, E.; Barriault, E.; Baumgartner, K.; Wilcox, W.F.; Rolshausen, P.E. Cylindrocarpon Species Associated with Black-Foot of Grapevine in Northeastern United States and Southeastern Canada. Am. J. Enol. Vitic. 2011, 62, 177–183. [Google Scholar] [CrossRef]
- Baumgartner, K.; Rizzo, D.M. Spread of Armillaria root disease in a California vineyard. Am. J. Enol. Vitic. 2002, 53, 197–203. [Google Scholar]
- van Niekerk, J.M.; Calitz, F.J.; Halleen, F.; Fourie, P.H. Temporal spore dispersal patterns of grapevine trunk pathogens in South Africa. Eur. J. Plant Pathol. 2010, 127, 375–390. [Google Scholar] [CrossRef]
- Agusti-Brisach, C.; Gramaje, D.; Garcia-Jimenez, J.; Armengol, J. Detection of black-foot and Petri disease pathogens in soils of grapevine nurseries and vineyards using bait plants. Plant Soil 2013, 364, 5–13. [Google Scholar] [CrossRef]
- Molnar, M.; Voegele, R.T.; Fischer, M. Grapevine trunk diseases in German viticulture IV. Spreading of spores of Phaeomoniella chlamydospora in Esca-affected vineyards. Vitis 2020, 59, 63–69. [Google Scholar] [CrossRef]
- Lawrence, D.P.; Nouri, M.T.; Trouillas, F.P. Taxonomy and multi-locus phylogeny of cylindrocarpon-like species associated with diseased roots of grapevine and other fruit and nut crops in California. Fungal Syst. Evol. 2019, 4, 59–75. [Google Scholar] [CrossRef] [PubMed]
- Urbez-Torres, J.R. The status of Botryosphaeriaceae species infecting grapevines. Phytopathol. Mediterr. 2011, 50, S5–S45. [Google Scholar]
- Rolshausen, P.E.; Baumgartner, K.; Travadon, R.; Fujiyoshi, P.; Pouzoulet, J.; Wilcox, W.F. Identification of Eutypa spp. Causing Eutypa Dieback of Grapevine in Eastern North America. Plant Dis. 2014, 98, 483–491. [Google Scholar] [CrossRef] [PubMed]
- Urbez-Torres, J.R.; Haag, P.; Bowen, P.; O’Gorman, D.T. Grapevine Trunk Diseases in British Columbia: Incidence and Characterization of the Fungal Pathogens Associated with Black Foot Disease of Grapevine. Plant Dis. 2014, 98, 456–468. [Google Scholar] [CrossRef]
- Pouzoulet, J.; Pivovaroff, A.L.; Santiago, L.S.; Rolshausen, P.E. Can vessel dimension explain tolerance toward fungal vascular wilt diseases in woody plants? Lessons from Dutch elm disease and esca disease in grapevine. Front. Plant Sci. 2014, 5, 253. [Google Scholar] [CrossRef]
- Petzoldt, C.H.; Moller, W.J.; Sall, M.A. Eutypa Dieback of Grapevine—Seasonal Differences in Infection and Duration of Susceptibility of Pruning Wounds. Phytopathology 1981, 71, 540–543. [Google Scholar] [CrossRef]
- Rolshausen, P.E.; Urbez-Torres, J.R.; Rooney-Latham, S.; Eskalen, A.; Smith, R.J.; Gubler, W.D. Evaluation of Pruning Wound Susceptibility and Protection against Fungi Associated with Grapevine Trunk Diseases. Am. J. Enol. Vitic. 2010, 61, 113–119. [Google Scholar]
- Hillis, V.; Lubell, M.; Kaplan, J.; Baumgartner, K. Preventative Disease Management and Grower Decision Making: A Case Study of California Wine-Grape Growers. Phytopathology 2017, 107, 704–710. [Google Scholar] [CrossRef]
- White, T.J.; Bruns, T.; Lee, S.; Taylor, J. Amplification and direct sequencing of fungal ribosomal RNA genes for phylogenetics. PCR Protoc. 1990, 315–322. [Google Scholar] [CrossRef]
- Baumgartner, K.; Hillis, V.; Lubell, M.; Norton, M.; Kaplan, J. Managing Grapevine Trunk Diseases in California’s Southern San Joaquin Valley. Am. J. Enol. Vitic. 2019, 70, 267–276. [Google Scholar] [CrossRef]
- Fidelibus, M.; El-Kereamy, A.; Haviland, D.; Hembree, K.; Zhuang, G.; Stewart, D.; Sumner, D.A. Sample Costs to Establish and Produce Table Grapes: San Joaquin Valley South; University of California Cooperative Extension, Department of Agricultural and Resource Economics, UC Davis: Davis, CA, USA, 2018; Available online: http://coststudies.ucdavis.edu/ (accessed on 15 November 2020).
- Fuller, K.B.; Alston, J.M.; Golino, D.A. Economic Benefits from Virus Screening: A Case Study of Grapevine Leafroll in the North Coast of California. Am. J. Enol. Vitic. 2019, 70, 139–146. [Google Scholar] [CrossRef]
- Sosnowski, M.R.; Mundy, D.C. Pruning Wound Protection Strategies for Simultaneous Control of Eutypa and Botryosphaeria Dieback in New Zealand. Plant Dis. 2019, 103, 519–525. [Google Scholar] [CrossRef] [PubMed]
- Diaz, G.A.; Latorre, B.A. Efficacy of paste and liquid fungicide formulations to protect pruning wounds against pathogens associated with grapevine trunk diseases in Chile. Crop Prot. 2013, 46, 106–112. [Google Scholar] [CrossRef]
- Halleen, F.; Fourie, P.H.; Lombard, P.J. Protection of Grapevine Pruning Wounds against Eutypa lata by Biological and Chemical Methods. South Afr. J. Enol. Vitic. 2010, 31, 125–132. [Google Scholar] [CrossRef]
- Hillis, V.; Lubell, M.; Kaplan, J.; Doll, D.; Baumgartner, K. The Role of Pest Control Advisers in Preventative Management of Grapevine Trunk Diseases. Phytopathology 2016, 106, 339–347. [Google Scholar] [CrossRef] [PubMed]
- Weber, E.A.; Trouillas, F.P.; Gubler, W.D. Double pruning of grapevines: A cultural practice to reduce infections by Eutypa lata. Am. J. Enol. Vitic. 2007, 58, 61–66. [Google Scholar]
- Gramaje, D.; Urbez-Torres, J.R.; Sosnowski, M.R. Managing Grapevine Trunk Diseases with Respect to Etiology and Epidemiology: Current Strategies and Future Prospects. Plant Dis. 2018, 102, 12–39. [Google Scholar] [CrossRef]
- Gramaje, D.; Armengol, J. Fungal Trunk Pathogens in the Grapevine Propagation Process: Potential Inoculum Sources, Detection, Identification, and Management Strategies. Plant Dis. 2011, 95, 1040–1055. [Google Scholar] [CrossRef]
- Berlanas, C.; Ojeda, S.; Lopez-Manzanares, B.; Andres-Sodupe, M.; Bujanda, R.; Martinez-Diz, M.; Diaz-Losada, E.; Gramaje, D. Occurrence and Diversity of Black-Foot Disease Fungi in Symptomless Grapevine Nursery Stock in Spain. Plant Dis. 2020, 104, 94–104. [Google Scholar] [CrossRef]
- Urbez-Torres, J.R.; Gubler, W.D. Pathogenicity of Botryosphaeriaceae Species Isolated from Grapevine Cankers in California. Plant Dis. 2009, 93, 584–592. [Google Scholar] [CrossRef]
- Rolshausen, P.E.; Akgul, D.S.; Perez, R.; Eskalen, A.; Gispert, C. First Report of Wood Canker Caused by Neoscytalidium dimidiatum on Grapevine in California. Plant Dis. 2013, 97, 1511. [Google Scholar] [CrossRef] [PubMed]
- Mugnai, L.; Graniti, A.; Surico, G. Esca (Black measles) and brown wood-streaking: Two old and elusive diseases of grapevines. Plant Dis. 1999, 83, 404–418. [Google Scholar] [CrossRef] [PubMed]
- Mayorquin, J.S.; Wang, D.H.; Twizeyimana, M.; Eskalen, A. Identification, Distribution, and Pathogenicity of Diatrypaceae and Botryosphaeriaceae Associated with Citrus Branch Canker in the Southern California Desert. Plant Dis. 2016, 100, 2402–2413. [Google Scholar] [CrossRef] [PubMed]
- Pitt, W.M.; Trouillas, F.P.; Gubler, W.D.; Savocchia, S.; Sosnowski, M.R. Pathogenicity of Diatrypaceous Fungi on Grapevines in Australia. Plant Dis. 2013, 97, 749–756. [Google Scholar] [CrossRef]
- Pouzoulet, J.; Scudiero, E.; Schiavon, M.; Rolshausen, P.E. Xylem Vessel Diameter Affects the Compartmentalization of the Vascular Pathogen Phaeomoniella chlamydospora in Grapevine. Front. Plant Sci. 2017, 8, 1442. [Google Scholar] [CrossRef]
- Spagnolo, A.; Magnin-Robert, M.; Alayi, T.D.; Cilindre, C.; Schaeffer-Reiss, C.; Van Dorsselaer, A.; Clement, C.; Larignon, P.; Ramirez-Suero, M.; Chong, J.; et al. Differential Responses of Three Grapevine Cultivars to Botryosphaeria Dieback. Phytopathology 2014, 104, 1021–1035. [Google Scholar] [CrossRef]
Publisher’s Note: MDPI stays neutral with regard to jurisdictional claims in published maps and institutional affiliations. |
© 2020 by the authors. Licensee MDPI, Basel, Switzerland. This article is an open access article distributed under the terms and conditions of the Creative Commons Attribution (CC BY) license (http://creativecommons.org/licenses/by/4.0/).





