Nitrogen Effects on Yield, Quality and Physiological Characteristics of Giant Rice
Abstract
1. Introduction
2. Materials and Methods
2.1. Test Background Overview
2.2. Experimental Design
2.3. Measurement Methods
2.3.1. Rice Quality
2.3.2. Lodging Index Determination Method
2.3.3. Photosynthetic Characteristics
2.3.4. Leaf Area Index
2.3.5. Nitrogen Utilization Ratio Calculation
2.4. Data Analysis
3. Results
3.1. Effects of Nitrogen Treatment on Yield of Giant Rice
3.2. Effects of Nitrogen Treatment on Quality of Giant Rice
3.3. Effects of Nitrogen Treatment on Photosynthetic Characteristics of Giant Rice
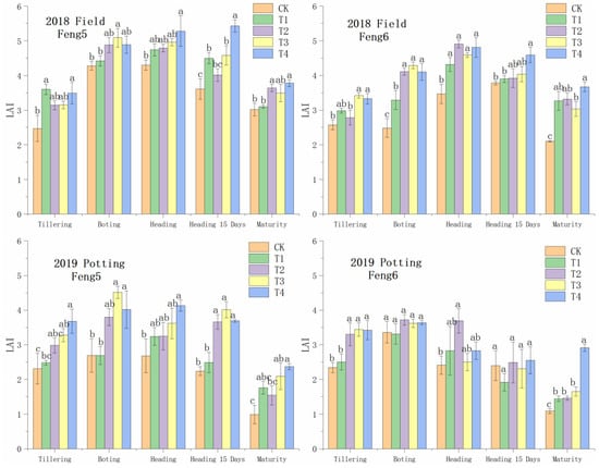
3.4. Effects of Nitrogen Treatment on Physiological Characteristics of Giant Rice
3.5. Effects of Nitrogen Treatment on Nitrogen Efficiency in Giant Rice
3.6. Multivariate Analysis
4. Discussion
5. Conclusions
Author Contributions
Funding
Conflicts of Interest
References
- Shiwei, B.; Hong, Y.; Bing, W.; Jiayang, L. Retrospective and perspective of rice breeding in China. J. Genet. Genom. 2018, 45, 603–612. [Google Scholar]
- Zheng, Y. Effects of mixed controlled release nitrogen fertilizer with rice straw biochar on rice yield and nitrogen balance in northeast China. Sci. Rep. 2020, 10, 9452. [Google Scholar] [CrossRef] [PubMed]
- Ladha, J.K.; Tirol, P.A.; Reddy, C.K.; Cassman, K.G.; Verma, S.; Powlson, D.S.; Van, K.C.; Chakra, D.; Pathak, H. Global nitrogen budgets in cereals: A 50-year assessment for maize, rice, and wheat production systems. Sci. Rep. 2016, 6, 19355. [Google Scholar] [CrossRef] [PubMed]
- Guo, C.Y. Study on Fertilization Status and Optimization of Nitrogen Fertilizer in Peach Main Producing Areas in China. Master’s Thesis, Southwest University, Chongqing, China, 2019. [Google Scholar]
- Yu, W.J.; Li, X.S.; Chen, Z.J.; Zhou, J.B. Effects of nitrogen fertilizer application on carbon dioxide emissions from soils with different inorganic carbon contents. Chin. J. Appl. Ecol. 2018, 29, 2493–2500. [Google Scholar]
- Ren, D.; Li, Y.F.; He, G.H.; Qian, Q. Multifloret spikelet improves rice yield. New Phytol. 2020, 225, 2301–2306. [Google Scholar] [CrossRef]
- Meng, Q.D.; Du, H.Y. Effects of different n application rates on agronomic characters and N use efficiency of rice. Jiangsu Agric. Sci. 2013, 41, 46–48. [Google Scholar]
- Bai, Z.G. Effects of Nitrogen Fertilizer Operation on Nitrogen Metabolism of Rice and Nitrogen Utilization Rate in Rice Field. Ph.D. Thesis, Chinese Academy of Agricultural Sciences, Guangzhou, China, 2019. [Google Scholar]
- Li, S.; Pu, S.; Deng, F.; Wang, L.; Hu, H.; Liao, S.; Li, W.; Ren, W. Influence of optimized nitrogen management on the quality of medium hybrid rice under different ecological conditions (Article). Chin. J. Eco-Agric. 2019, 27, 1042–1052. [Google Scholar]
- Lv, X.H.; Fu, L.D.; Song, Y.T.; Chen, W.F. Effects of nitrogen application on nitrogen metabolism and related physiological characteristics of leaves of rice of different plant types. Jiangsu Agric. Sci. 2017, 45, 62–65. [Google Scholar]
- Li, X.; Liu, Z.Z.; Ji, W.W. Effects of nitrogen application on osmotic regulators in leaves of different plant types of rice. Jiangsu Agric. Sci. 2019, 47, 117–121. [Google Scholar]
- Hu, B.; Wang, W.; Ou, S.J.; Tang, J.Y.; Li, H.; Che, R.H.; Zhang, Z.H.; Chai, X.Y.; Wang, H.R.; Wang, Y.Q.; et al. Variation in NRT1.1B contributes to nitrate-use divergence between rice subspecies. Nat. Genet. 2015, 47, 834–838. [Google Scholar] [CrossRef]
- Ju, C.X.; Zhou, Z.B.; Zhao, B.H.; Wang, Z.Q.; Yang, J.C. Comparison in nitrogen metabolism and photosynthetic characteristics between japonica rice varieties differing in nitrogen sensitivity. J. Crops 2018, 44, 405–413. [Google Scholar] [CrossRef]
- Li, S.; Fu, X.D. Achieving a sustainable green revolution by GRF4-mediated enhancement of crop nitrogen use efficiency. Chem. Life 2019, 39, 943–949. [Google Scholar]
- Kurai, T.; Wakayama, M.; Abiko, T.; Yanagisawa, S.; Aoki, N.; Ohsugi, R. Introduction of the ZmDof1 gene into rice enhances carbon and nitrogen assimilation under low-nitrogen conditions. Plant Biotechnol. 2011, 9, 826–837. [Google Scholar] [CrossRef] [PubMed]
- Su, W.B.; Yang, Z.Q.; Zhang, Y.M. Comparative study on the correlation of two detection methods for soil N, P and K. Chin. Agric. Sci. Bull. 2016, 32, 135–139. [Google Scholar]
- GB/T 17891-2017. High Quality Rice [S]. General Administration of Quality Supervision, Inspection and Quarantine of the People’s Republic of China; Standardization Administration of China, Beijing, China. 2017. Available online: http://www.chinagrain.cn/axfwnh/2018/07/09/1814302621.shtml (accessed on 14 August 2020).
- Tang, Y.J. Effects of Increasing Seedling and Decreasing Nitrogen on Yield and Utilization of Nitrogen Fertilizer in Machine-Inserted Super Rice. Master’s Thesis, South China Agricultural University, Guangzhou, China, 2018. [Google Scholar]
- Fan, Y.Y.; Yang, G.T.; Chen, J.; Jiang, F.; Qadir, M.; Chen, Y.J.; Hu, Y.G. The physical, chemical characters and lodging resistance of rice stem with silicon potassium collocation application. Acta Bot. Boreali-Occident. Sin. 2017, 37, 751–757. [Google Scholar]
- Zhu, Q.M.; Deng, C.T.; Ye, J.X.; Liang, S.W.; Yue, H.F.; Zhan, M.M.; Li, Y.D.; Chen, Q.C. Relationships between rice leaf area index and yield at different growth stages. J. Zhongkai Univ. Agric. Eng. 2016, 29, 17–21. [Google Scholar]
- Zhong, C.; Cao, X.C.; Zhu, L.F.; Zhang, J.H.; Yu, S.G.; Jin, Q.Y. A review on effects and regulation of paddy alternate wetting and drying on rice nitrogen use efficiency. Trans. Chin. Soc. Agric. Eng. 2016, 139–147. [Google Scholar] [CrossRef]
- Liu, D.; Sun, Y.Y.; Chai, Y.S. Research progress on nitrogen efficient genotype screening and related genes in rice. China Seed Ind. 2018, 10, 18–21. [Google Scholar]
- Chou, J.T.; Wu, Z.; Jiang, T.H.; Liu, F.; Zhang, Z.J. Effects of nitrogen reduction at different growth stages on rice population production characteristics and preliminary analysis of nitrogen reduction strategies. J. Yangzhou Univ. 2020, 65, 52–58. [Google Scholar]
- Chen, Z.M.; Wang, Q.; Ma, J.W.; Zou, P.; Jiang, L.N. Impact of controlled-release urea on rice yield, nitrogen use efficiency and soil fertility in a single rice cropping system. Sci. Rep. 2020, 10, 1–10. [Google Scholar] [CrossRef]
- Pan, J.F.; Liu, Y.Z.; Zhong, X.H.; Lampayan, R.M.; Singleton, G.R.; Huang, N.R.; Liang, K.M.; Peng, B.L.; Tian, K. Grain yield, water productivity and nitrogen use efficiency of rice under different water management and fertilizer-N inputs in South China. Agric. Water Manag. 2017, 184, 191–200. [Google Scholar] [CrossRef]
- Rea, R.S.; Islam, M.R.; Rahman, M.M.; Mix, K. Study of nitrogen use efficiency and yield of rice influenced by deep placement of nitrogen fertilizers. SAARC J. Agric. 2019, 17, 93–103. [Google Scholar] [CrossRef]
- Liu, G.L.; Wu, Z.S.; Luo, Q.C.; Li, H.; Zhu, Q.N.; Li, Q.W.; Chen, C.H. Analysis of nitrogen fertilizer efficiency of six high quality conventional rice varieties under different nitrogen application levels. Acta Agric. Southwest 2020, 33, 1716–1721. [Google Scholar]
- Tang, X.R.; Pan, S.G.; Duan, M.Y.; Tian, H.; Zhong, K.Y.; Xiao, L.Z. Technical rules of fragrant rice cultivation. Guangdong Agric. Sci. 2014, 41, 5–7. [Google Scholar]
- Chen, Y.; Fan, P.; Mo, Z.; Kong, L.; Tian, H.; Duan, M.; Li, L.; Wu, L.; Wang, Z.; Tang, X.; et al. Deep placement of nitrogen fertilizer affects grain yield, nitrogen recovery efficiency, and root characteristics in direct-seeded rice in south China. J. Plant Growth Regul. 2020. [Google Scholar] [CrossRef]
- Zhang, G.L.; Zhao, R.; Liu, Y.T.; Yao, F.W.; Tang, W.B. Effect of different amount of nitrogen on the yield and the quality of high quality rice and its nitrogen utilization efficiency. J. Hunan Agric. Univ. (Nat. Sci.) 2019, 45, 231–236. [Google Scholar]
- Li, H.; Huang, Q.; Chen, C.; Liu, G.; Wu, Z.; Luo, Q.; Zhu, Q.; Li, Q. Effects of density and nitrogen fertilizer rate on yield, appearance and processing quality of high quality rice guiyu 8. Southwest China J. Agric. Sci. 2020, 33, 718–724. [Google Scholar]






| Year | Organic Content (g kg−1) | Total N (g kg−1) | Total P (g kg−1) | Total K (g kg−1) | Available N (mg kg−1) | Available P (mg kg−1) | pH |
|---|---|---|---|---|---|---|---|
| 2018 | 22.87 | 3.2 | 14.50 | 17.56 | 370.42 | 35.20 | 5.70 |
| 2019 | 18.82 | 2.97 | 12.23 | 19.60 | 352.21 | 30.22 | 5.64 |
| Growing Season | Variety | Treatment | Number of Filled Grains Per Panicle | Effective Panicle Number (104/hm2) | 1000 Grain Weight (g) | Grain-Filling Percentage (%) | Yield (t·ha−1) |
|---|---|---|---|---|---|---|---|
| Late rice in 2018 field | Feng5 | CK | 192.87 b | 156.00 b | 27.45 a | 41.84 b | 6.35 a |
| T1 | 211.21 b | 186.33 a,b | 27.67 a | 48.39 a,b | 7.73 a | ||
| T2 | 274.81 a | 195.00 a,b | 25.40 b | 54.07 a | 8.78 a | ||
| T3 | 243.96 a,b | 238.33 a | 26.57 a,b | 55.05 a | 7.70 a | ||
| T4 | 267.60 a | 203.67 a,b | 26.90 a | 44.70 b | 8.33 a | ||
| Feng6 | CK | 206.34 a | 186.33 a | 26.65 a | 52.69 a | 7.11 b | |
| T1 | 236.53 a | 216.65 a | 26.43 a | 50.26 a | 7.44 b | ||
| T2 | 210.27 a | 229.67 a | 27.40 a | 55.94 a | 9.41 a | ||
| T3 | 229.78 a | 242.68 a | 27.17 a | 53.05 a | 11.08 a,b | ||
| T4 | 241.38 a | 242.67 a | 26.57 a | 50.87 a | 8.36 a,b | ||
| Late rice in 2019 potting | Feng5 | CK | 134.50 a | 80.00 c | 24.20 a,b | 61.94 b | 1.57 b |
| T1 | 161.89 a | 126.33 b | 25.30 a | 73.17 a | 3.81 a | ||
| T2 | 141.22 a | 162.00 a,b | 22.85 b | 76.54 a | 3.89 a | ||
| T3 | 127.44 a | 175.00 a | 24.31 a,b | 80.52 a | 4.34 a | ||
| T4 | 155.29 a | 139.00 a,b | 25.01 a | 74.18 a | 3.89 a | ||
| Feng6 | CK | 85.11 b | 74.67 c | 25.29 a | 74.97 b | 1.21 b | |
| T1 | 106.00 a,b | 84.33 b,c | 25.50 a | 76.00 b | 1.76 b | ||
| T2 | 128.33 a,b | 151.00 a | 26.10 a | 75.02 b | 3.68 a | ||
| T3 | 142.73 a | 138.67 a | 26.71 a | 74.76 b | 3.77 a | ||
| T4 | 130.51 a,b | 128.00 a,b | 26.23 a | 84.35 a | 3.58 a |
| F Value | Number of Filled Grains Per Panicle | Effective Panicle Number (104/hm2) | 1000-Grain Weight (g) | Grain-Filling Percentage (%) | Yield (t·ha−1) | |
|---|---|---|---|---|---|---|
| 2018 | Variety | 2.68 | 5.34 * | 0.15 | 5.51 * | 4.49 * |
| Treatment | 2.08 | 3.74 ** | 1.16 | 4.06 ** | 4.91 ** | |
| Variety × Treatment | 2.16 | 0.26 | 5.24 ** | 1.89 | 1.00 | |
| 2019 | Variety | 7.24 * | 5.74 * | 18.38 ** | 4.77 * | 19.32 ** |
| Treatment | 1.40 | 12.16 ** | 1.42 | 4.66 ** | 37.76 ** | |
| Variety × Treatment | 1.84 | 0.72 | 1.97 | 4.19 * | 4.61 ** | |
| Growing Season | Variety | Treatment | Ear Length (cm) | Length of Head Rice (mm) | Width of Head Rice (mm) | Brown Rice Rate (%) | Milled Rice Rate (%) | Head Rice Rate (%) |
|---|---|---|---|---|---|---|---|---|
| Late rice in 2018 field | Feng5 | CK | 21.46 a | 6.11 a,b | 2.19 b | 78.53 a | 67.02 b | 49.97 b |
| T1 | 21.59 a | 6.14 a,b | 2.22 ab | 78.78 a | 67.63 a,b | 53.28 a,b | ||
| T2 | 22.72 a | 6.21 a | 2.24 a | 78.25 a | 66.17 b | 53.21 a,b | ||
| T3 | 21.81 a | 6.02 b | 2.19 b | 79.71 a | 67.84 a,b | 54.53 a | ||
| T4 | 22.66 a | 6.06 a,b | 2.21 a,b | 79.70 a | 68.89 a | 56.82 a | ||
| Feng6 | CK | 23.92 a | 6.17 c | 2.11 c | 79.11 b | 69.06 a | 57.61 a | |
| T1 | 25.08 a | 6.33 b | 2.16 a,b | 79.97 a,b | 68.85 a | 59.06 a | ||
| T2 | 24.63 a | 6.45 a | 2.19 a | 79.38 a,b | 68.77 a | 58.04 a | ||
| T3 | 24.87 a | 6.24 c | 2.14 b,c | 80.66 a | 70.20 a | 60.59 a | ||
| T4 | 24.19 a | 6.16 c | 2.12 b,c | 80.30 a,b | 69.81 a | 59.03 a | ||
| Late rice in 2019 potting | Feng5 | CK | 21.88 a | 5.58 c | 2.22 c | 77.18 b | 60.13 b | 51.02 b |
| T1 | 22.98 a | 5.64 b | 2.31 a | 78.50 a | 60.85 b | 53.88 a,b | ||
| T2 | 21.90 a | 5.67 a,b | 2.26 b | 78.07 a,b | 67.40 a | 59.13 a | ||
| T3 | 21.98 a | 5.49 d | 2.22 c | 77.48 b | 66.11 a | 58.91 a | ||
| T4 | 22.54 a | 5.70 a | 2.22 c | 77.35 b | 60.82 b | 52.20 b | ||
| Feng6 | CK | 21.53 a | 5.37 b | 2.24 b | 79.77 b | 69.54 b | 58.70 b | |
| T1 | 21.40 a | 5.61 a,b | 2.30 a | 84.62 a | 74.98 a | 59.48 b | ||
| T2 | 21.17 a | 5.69 a | 2.24 b | 80.48 b | 71.83 a,b | 65.10 a | ||
| T3 | 20.97 a | 5.64 a | 2.20 c | 80.60 b | 71.58 a,b | 60.15 b | ||
| T4 | 20.93 a | 5.77 a | 2.22 b,c | 79.90 b | 69.24 b | 58.88 b |
| F Value | Ear Length (cm) | Length of Head Rice (mm) | Width of Head Rice (mm) | Brown Rice Rate (%) | Milled Rice Rate (%) | Head Rice Rate (%) | |
|---|---|---|---|---|---|---|---|
| 2018 | Variety | 34.93 ** | 47.32 ** | 61.13 ** | 8.86 ** | 24.09 ** | 52.22 ** |
| Treatment | 1.48 | 11.51 ** | 8.56 ** | 3.70 * | 3.31 * | 4.07 * | |
| Variety × Treatment | 1.51 | 1.54 | 0.88 | 0.186 | 0.77 | 1.49 | |
| 2019 | Variety | 1.72 | 0.02 | 1.31 | 83.21 ** | 143.91 ** | 24.87 ** |
| Treatment | 0.10 | 6.04 ** | 40.93 ** | 9.24 ** | 7.95 ** | 6.16 ** | |
| Variety × Treatment | 0.09 | 2.67 | 1.20 | 3.62 * | 5.97 ** | 1.03 | |
| Growing Season | Variety | Treatment | Tillering | Full Heading | ||||
|---|---|---|---|---|---|---|---|---|
| Ci (μmol) | Pn (μmol·m−2·s−1) | Tr (g·m−2·h−1) | Ci (μmol) | Pn (μmol·m−2·s−1) | Tr (g·m−2·h−1) | |||
| Late rice in 2018 field | Feng5 | CK | 343.00 a,b | 22.60 b | 11.08 a | 89.56 a | 9.49 d | 4.14 c |
| T1 | 340.67 a | 22.98 b | 10.33 b | 83.56 a | 14.98 b | 4.87 b | ||
| T2 | 332.56 b | 28.52 a | 11.52 a | 60.44 b | 11.13 c | 3.77 c | ||
| T3 | 313.44 c | 28.18 a | 10.19 b | 94.89 a | 17.22 a | 5.45 a | ||
| T4 | 309.11 b | 22.82 b | 8.66 c | 79.33 a | 10.93 c,d | 4.10 c | ||
| Feng6 | CK | 299.33 a | 18.19 c | 7.38 b | 91.89 a,b | 4.08 e | 2.75 c | |
| T1 | 291.00 a | 19.61 c | 7.31 b | 81.56 b,c | 13.44 b | 4.74 a | ||
| T2 | 290.44 a | 22.42 b | 7.70 a,b | 68.33 c,d | 16.60 a | 5.13 a | ||
| T3 | 296.11 a | 25.09 a | 8.07 a | 54.17 d | 11.78 c | 3.95 b | ||
| T4 | 300.78 a | 23.33 b | 7.98 a | 104.78 a | 6.10 d | 3.00 c | ||
| Late rice in 2019 potting | Feng5 | CK | 265.00 a,b | 9.57 b | 3.91 a,b | 271.13 a | 7.18 b | 4.08 a |
| T1 | 213.67 d | 9.97 b | 2.96 b | 240.41 a | 9.24 a | 3.93 a | ||
| T2 | 226.33 c,d | 11.77 a | 3.48 b | 268.83 a | 10.30 a | 4.92 a | ||
| T3 | 300.67 a | 12.00 a | 4.89 a | 266.82 a | 8.66 a | 4.45 a | ||
| T4 | 259.67 b,c | 10.63 a,b | 3.56 b | 273.40 a | 9.00 a,b | 4.63 a | ||
| Feng6 | CK | 288.00 a,b | 11.70 a | 4.4 a,b | 191.33 a | 6.11 a | 2.39 a | |
| T1 | 310.33 a | 12.20 a | 5.70 a | 210.00 a | 6.34 a | 2.44 a | ||
| T2 | 308.67 a | 13.07 a | 5.67 a | 214.08 a | 6.52 a | 2.74 a | ||
| T3 | 278.00 a,b | 12.53 a | 5.02 a,b | 234.54 a | 7.24 a | 3.30 a | ||
| T4 | 244.67 b | 9.34 b | 3.45 b | 249.62 a | 7.03 a | 3.19 a | ||
| Growing Season | Variety | Treatment | HI (%) | AE (kg·kg−1) | PFPN (kg·kg−1) | FCRN (%) |
|---|---|---|---|---|---|---|
| Late rice in 2018 field | Feng5 | CK | 42.93 ± 4.17 b | - | - | - |
| T1 | 46.57 ± 1.25 b | 18.43 ± 5.08 a | 61.83 ± 3.42 a | 16.41 ± 7.44 a | ||
| T2 | 57.00 ± 4.58 a | 16.17 ± 2.89 b | 58.54 ± 2.89 a | 27.27 ± 3.68 a | ||
| T3 | 46.48 ± 0.71 b | 8.94 ± 1.11 c | 34.22 ± 6.68 b | 21.30 ± 9.95 a | ||
| T4 | 43.42 ± 1.75 b | 6.60 ± 1.29 c | 27.78 ± 4.14 b | 19.90 ± 13.0 a | ||
| Feng6 | CK | 46.52 ± 1.30 a | - | - | - | |
| T1 | 50.73 ± 0.73 a | 17.68 ± 2.24 a | 69.2 ± 3.00 a | 15.64 ± 1.71 b | ||
| T2 | 47.65 ± 1.50 a | 15.33 ± 3.60 a | 62.75 ± 3.60 a | 23.92 ± 4.39 b | ||
| T3 | 46.75 ± 2.31 a | 17.63 ± 1.02 a | 49.25 ± 1.02 b | 35.74 ± 1.36 a | ||
| T4 | 46.67 ± 2.30 a | 4.16 ± 1.00 b | 27.87 ± 1.00 c | 14.70 ± 3.06 b | ||
| Late rice in 2019 potting | Feng5 | CK | 40.02 ± 1.57 a | - | - | - |
| T1 | 44.24 ± 0.46 a | 29.86 ± 5.38 a | 50.82 ± 5.38 a | 57.71 ± 4.93 a | ||
| T2 | 41.17 ± 1.75 a | 15.49 ± 1.69 b | 25.97 ± 1.69 b | 59.32 ± 2.50 a | ||
| T3 | 42.41 ± 4.58 a | 12.34 ± 0.98 b | 19.33 ± 0.98 b,c | 63.65 ± 1.91 a | ||
| T4 | 30.44 ± 1.38 b | 7.75 ± 0.33 b | 12.99 ± 0.33 c | 59.59 ± 1.03 a | ||
| Feng6 | CK | 29.38 ± 2.18 c | - | - | - | |
| T1 | 40.21 ± 2.06 a,b | 16.47 ± 1.89 a | 26.14 ± 0.92 a | 37.95 ± 2.20 b | ||
| T2 | 46.42 ± 5.69 a | 9.96 ± 0.92 b | 24.56 ± 1.89 a | 66.69 ± 2.41 a | ||
| T3 | 41.65 ± 1.13 a,b | 11.39 ± 1.18 b | 16.78 ± 1.18 b | 67.54 ± 2.25 a | ||
| T4 | 36.97 ± 1.30 b,c | 7.90 ± 0.61 b | 11.95 ± 0.61 c | 65.98 ± 1.69 a |
Publisher’s Note: MDPI stays neutral with regard to jurisdictional claims in published maps and institutional affiliations. |
© 2020 by the authors. Licensee MDPI, Basel, Switzerland. This article is an open access article distributed under the terms and conditions of the Creative Commons Attribution (CC BY) license (http://creativecommons.org/licenses/by/4.0/).
Share and Cite
Zhang, J.; Tong, T.; Potcho, P.M.; Huang, S.; Ma, L.; Tang, X. Nitrogen Effects on Yield, Quality and Physiological Characteristics of Giant Rice. Agronomy 2020, 10, 1816. https://doi.org/10.3390/agronomy10111816
Zhang J, Tong T, Potcho PM, Huang S, Ma L, Tang X. Nitrogen Effects on Yield, Quality and Physiological Characteristics of Giant Rice. Agronomy. 2020; 10(11):1816. https://doi.org/10.3390/agronomy10111816
Chicago/Turabian StyleZhang, Jisheng, Tianyi Tong, Pouwedeou Mouloumdema Potcho, Suihua Huang, Lin Ma, and Xiangru Tang. 2020. "Nitrogen Effects on Yield, Quality and Physiological Characteristics of Giant Rice" Agronomy 10, no. 11: 1816. https://doi.org/10.3390/agronomy10111816
APA StyleZhang, J., Tong, T., Potcho, P. M., Huang, S., Ma, L., & Tang, X. (2020). Nitrogen Effects on Yield, Quality and Physiological Characteristics of Giant Rice. Agronomy, 10(11), 1816. https://doi.org/10.3390/agronomy10111816

