Productive and Environmental Consequences of Sixteen Years of Unbalanced Fertilization with Nitrogen and Phosphorus—Trials in Poland with Oilseed Rape, Wheat, Maize and Barley
Abstract
1. Introduction
2. Materials and Methods
3. Results
3.1. Effect of P Additions on Crop Productivity
3.2. Crop Response to the Combined N and P Fertilizer Additions
3.3. Effects of N Additions on P Uptake and Use Efficiency
3.4. Effects of P Additions on Nitrogen Uptake and Use Efficiency
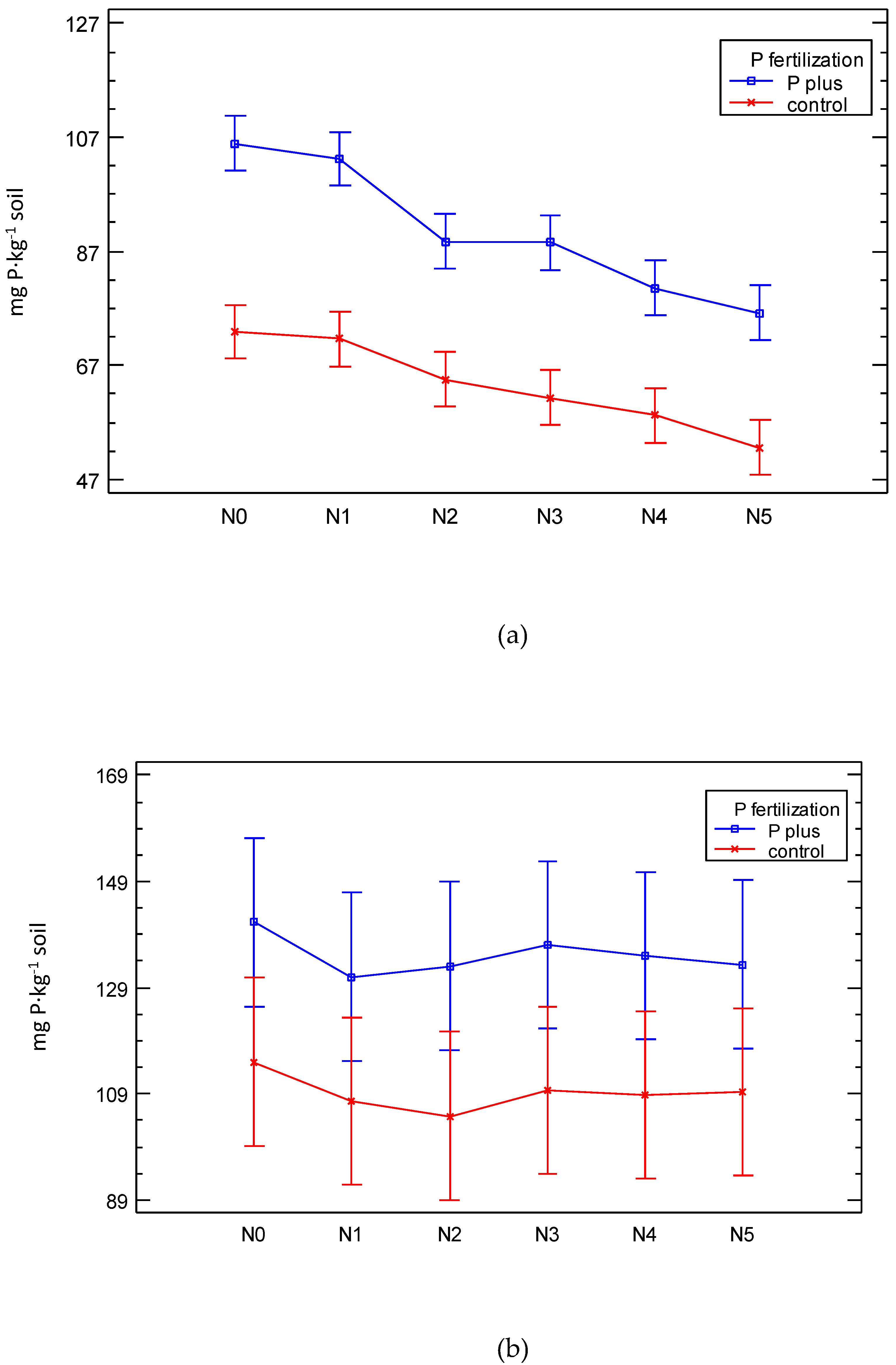
3.5. Changes in Available P in the Soil
4. Discussion
5. Conclusions
Author Contributions
Funding
Conflicts of Interest
References
- Marschner, H.; Kirkby, E.A.; Cakmak, I. Effects of mineral nutrition status on shoot-root partitioning of photo assimilates and cycling of mineral nutrients. J. Exp. Bot. 1996, 47, 1255–1263. [Google Scholar] [CrossRef] [PubMed]
- Muller, N.B.; Gerber, J.S.; Johnson, M.; Ray, D.K.; Ramankuty, N.; Foley, J.A. Closing yield gaps through nutrient and water management. Nature 2012, 490, 254–257. [Google Scholar] [CrossRef] [PubMed]
- Fernandez, M.S.; Rosiello, R.O.P. Mineral nitrogen in plant physiology and plant nutrition. Crit. Rev. Plant Sci. 1995, 14, 111–148. [Google Scholar] [CrossRef]
- Elser, J.J.; Bracken, M.E.S.; Cleland, E.E.; Gruner, D.S.; Harpole, W.S.; Hillebrand, H.J.; Ngai, T.; Seabloom, E.W.; Shurin, J.B.; Smith, J.E. Global analysis of nitrogen and phosphorus limitation of primary producers in freshwater marine and terrestrial ecosystems. Ecol. Lett. 2007, 10, 1135–1142. [Google Scholar] [CrossRef]
- Vojvodic, A.; Medford, A.J.; Studt, F.; Pedersen, F.A.; Khan, T.S.; Bligaard, T.; Nørskov, J.K. Exploring the limits: A low pressure, low-temperature Haber-Bosch process. Chem. Phys. Lett. 2014, 598, 108–112. [Google Scholar] [CrossRef]
- Fertilizers Europe. Industry Fact and Figures 2019. Brussels, Belgium. 2019. Available online: https://www.fertilizerseurope.com/wp-content/uploads/2019/07/Industry-Facts-and-Figures-2019-Digital-version.pdf (accessed on 14 October 2020).
- Smill, V. Enriching the Earth: Fritz Haber, Carl Bosch, and the Transformation of World Wood Production; MIT Press: Cambridge, MA, USA, 2004; p. 360. [Google Scholar]
- Galloway, J.N.; Townsend, A.R.; Erisman, J.W.; Bekunda, M.; Cai, Z.; Freney, J.R.; Martinelli, S.P.; Seitzinger, L.A.; Sutton, M.A. Transformation of the nitrogen cycle: Recent trends, questions, and potential solutions. Science 2008, 320, 889–892. [Google Scholar] [CrossRef]
- Sutton, M.; Howard, C.M.; Erisman, J.W.; Billen, G.; Bleeker, A.; Grennfelt, P.; van Grinsven, H.; Grizzetti, B. (Eds.) The European Nitrogen Assessment: Sources, Effects and Policy Perspectives; Cambridge University Press: Cambridge, UK, 2011; pp. 1–607. [Google Scholar]
- Jones, L.; Provins, A.; Holland, M.; Mills, G.; Hayes, F.; Emmetta, B.; Halla, J.; Sheppard, L.; Smith, R.; Sutton, M.; et al. A review and application of the evidence for nitrogen impacts on ecosystem services. Ecosyst. Serv. 2014, 7, 76–88. [Google Scholar] [CrossRef]
- Bouwman, L.; Goldewijk, K.K.; Van Der Hoek, K.W.; Beusen, A.H.W.; Van Vuuren, D.P.; Willems, J.; Rufino, M.C.; Stehfest, E. Exploring global changes in nitrogen and phosphorus cycles in agriculture induced by livestock production over the 1900–2050 period. Proc. Natl. Acad. Sci. USA 2013, 110, 20882–20887. [Google Scholar] [CrossRef]
- Erisman, J.W.; Galloway, J.N.; Seitzinger, S.; Bleeker, A.; Dise, N.B.; Petrescu, A.M.R.; Leach, A.M.; Vries, W. Consequences of human modification of the global nitrogen cycle. Phil. Trans. R. Soc. B 2013, 368, 20130165. [Google Scholar] [CrossRef]
- Howarth, R.W.; Billen, G.; Swaney, D.; Townsend, A.; Jaworski, N.; Lajtha, K.; Downing, J.A.; Elmgren, R.; Caraco, N.; Jordan, T.; et al. Regional nitrogen budgets and riverine N & P fluxes for the drainages to the North Atlantic Ocean: Natural and human influences. In Nitrogen Cycling in the North Atlantic Ocean and Its Watersheds; Howarth, R.W., Ed.; Springer: Dordrecht, Germany, 1996; pp. 75–139. [Google Scholar]
- Roberts, T.L.; Johnston, A.E. Phosphorus use efficiency and management in agriculture. Resour. Conserv. Recycl. 2015, 105, 275–281. [Google Scholar] [CrossRef]
- Raun, W.R.; Johnson, G.V. Improving nitrogen use efficiency for cereal production. Agron. J. 1999, 91, 357–363. [Google Scholar]
- Elser, J.; Bennett, E. A broken biogeochemical cycle. Nature 2011, 478, 29–31. [Google Scholar] [PubMed]
- Howarth, R.W. Coastal nitrogen pollution: A review of sources and trends globally and regionally. Harmful Algae 2008, 8, 14–20. [Google Scholar]
- Howarth, R.; Swaney, D.; Billen, G.; Garnier, J.; Hong, B.; Humborg, C.; Johnes, P.; Mörth, C.M.; Marino, R. Nitrogen fluxes from the landscape are controlled by net anthropogenic nitrogen inputs and by climate. Front. Ecol. Environ. 2012, 10, 37–43. [Google Scholar]
- Ilnicki, P. Emissions of nitrogen and phosphorus into rivers from agricultural land—Selected controversial issues. J. Water Land Dev. 2014, 23, 31–39. [Google Scholar]
- Kroeze, C.; Hofstra, N.; Ivens, W.; Lohr, A.; Strokal, M.; van Wijnen, J. The links between global carbon, water and nutrient cycles in an urbanizing world—The case of coastal eutrophication. Curr. Opin. Environ. Sustain. 2014, 5, 566–572. [Google Scholar]
- Pastuszak, M.; Kowalkowski, T.; Kopiński, J.; Doroszewski, A.; Jurga, B.; Buszewski, B. Long-term changes in nitrogen and phosphorus emission into the Vistula and Oder catchments (Poland)—Modelling (MONERIS) studies. Environ. Sci. Pollut. Res. 2018, 25, 29734–29751. [Google Scholar]
- HELCOM. Helcom Baltic Sea Action Plan Adopted on 15 November 2007 Krakow, Poland by the HELCOM Extraordinary Ministerial Meeting, Helcom, Helsinki. 2007. Available online: https://helcom.fi/media/documents/BSAP_Final.pdf (accessed on 21 September 2020).
- HELCOM. Copenhagen Ministerial Declaration. Taking Further Action to Implement the Baltic Sea Action Plan—Reaching Good Environmental Status for a Healthy Baltic Sea. 2013. Available online: http://www.helcom.fi/Documents/Ministerial2013 (accessed on 21 September 2020).
- HELCOM. Summary Report on Development of Revised Maximum Allowable Inputs (MAI) and Updated Country Allocated Reduction Targets (CART) of the Baltic Sea Action: Environmental Science; Springer: Berlin/Heidelberg, Germany, 2013; pp. 1–261. [Google Scholar]
- HELCOM. State of the Baltic Sea. Second HELCOM Holistic Assessment 2011–2016; Springer: Helsinki, Finland, 2018; pp. 1–155. [Google Scholar]
- Curran Cournane, F.; McDowell, R.W.; Condron, L.M. Effects of cattle, sheep and deer grazing on soil physical quality and losses of phosphorus and suspended sediment losses in surface runoff. Agric. Ecosyst. Environ. 2010, 140, 264–272. [Google Scholar]
- Nash, D.; Hannah, M.; Halliwell, D.; Murdoch, C. Phosphorus in runoff from a pasture based grazing system. In Proceedings of the National Soils Conference, Environmental Benefits of Soil Management, Brisbane, Australia, 27–29 April 1998; pp. 447–449. [Google Scholar]
- McDowell, R.W.; Littlejohn, R.P.; Blennerhassett, J.D. Phosphorus fertilizer form affects phosphorus loss to waterways: A paired catchment study. Soil Use Manag. 2010, 26, 365–373. [Google Scholar]
- Mc Dowell, R.W.; Catto, W. Alternative fertilisers and management to decrease incidental phosphorus loss. Environ. Chem. Lett. 2005, 2, 169–174. [Google Scholar]
- Van Vuuren, D.P.; Bouwman, A.F.; Beusen, A.H.W. Phosphorus demand for the 1970–2100 period: A scenario analysis of resource depletion. Glob. Environ. Chang. 2010, 20, 428–439. [Google Scholar]
- Brar, M.S.; Bijay-Singh; Bansal, S.K.; Srinivasarao, C. Role of Potassium Nutrition in Nitrogen Use Efficiency in Cereals. e-ifc 2011, 29, 20–27. [Google Scholar]
- Rossini, F.; Provenzano, M.E.; Sestili, F.; Ruggeri, R. Synergistic effect of sulphur and nitrogen in the organic and mineral fertilization of durum wheat: Grain yield and quality traits in the Mediterranean environment. Agronomy 2018, 8, 189–205. [Google Scholar]
- Rashid, A.; Awan, Z.I.; Ryan, J. Diagnosing phosphorus deficiency in spring wheat by plant analysis: Proposed critical concentration ranges. Commun. Soil Sci. Plant Anal. 2005, 36, 609–622. [Google Scholar] [CrossRef]
- Rutkowska, A. Sensitivity of plant and soil indices in evaluating the long-term consequences of soil mining from reserves of phosphorus, potassium, and magnesium. Commun. Soil Sci. Plant Anal. 2013, 44, 377–389. [Google Scholar] [CrossRef]
- Usherwood, N.R.; Segars, W.I. Nitrogen interactions with phosphorus and potassium for optimum crop yield, nitrogen use effectiveness and environmental stewardship. Sci. World 2001, 1, 57–60. [Google Scholar] [CrossRef]
- Reich, P.B.; Oleksyn, J.; Wright, I.J. Leaf phosphorus influences the photosynthesis-nitrogen relation: A cross-biome analysis of 314 species. Oecologia 2009, 160, 207–212. [Google Scholar] [CrossRef]
- IUSS Working Group WRB. World Reference Base for Soil Resources 2014, Update 2015 International Soil Classification System for Naming Soils and Creating Legends for Soil Maps; World Soil Resources Reports; FAO: Rome, Italy, 2015; p. 106. [Google Scholar]
- Egnér, H.; Riehm, H.; Domingo, W.R. Untersuchungen über die chemische Bodenanalyse als Grundlage für die Beurteilung des Nährstoffzustandes der Böden. II. Chemische Extraktionsmethoden zur Phosphor-und Kaliumbestimmung. K. Lantbr. Ann. 1960, 26, 199–215. [Google Scholar]
- Schachtschabel, P. Das pflanzenverfügbare Magnesiumdes Bodens und seine Bestimmung. J. Plant Nutr. Soil Sci. 1954, 67, 9–23. [Google Scholar]
- EU Nitrogen Expert Panel. Nitrogen Use Efficiency (NUE) an Indicator for the Utilization of Nitrogen in Food Systems; Wageningen University: Wageningen, The Netherlands, 2015. [Google Scholar]
- Fageria, N.K.; Baligar, V.C.; Moreira, A.; Portez, T. Dry bean genotypes evaluation for growth, yield components and phosphorus use efficiency. J. Plant Nutr. 2010, 33, 2167–2181. [Google Scholar]
- Hansen, J.C.; Cade-Menun, B.J.; Strawn, D.G. Phosphorus Speciation in Manure-Amended Alkaline Soils. J. Environ. Qual. 2004, 33, 1521–1527. [Google Scholar] [CrossRef] [PubMed]
- Shen, J.; Yuan, L.; Zhang, J.; Li, H.; Bai, Z.; Chen, X.; Zhang, W.; Zhang, F. Phosphorus Dynamics: From Soil to Plant. Plant Physiol. 2011, 156, 997–1005. [Google Scholar] [CrossRef] [PubMed]
- Harrison, A.F. Soil Organic Phosphorus—A Review of World Literature; CAB International: Oxon, UK, 1987; pp. 1–257. [Google Scholar]
- Oelkers, E.H.; Valsami-Jones, E. Phosphate mineral reactivity and global sustainability. Elements 2008, 4, 83–87. [Google Scholar] [CrossRef]
- Pierzynski, G.M.; McDowell, R.W.; Sims, J.T. Chemistry, Cycling, and Potential Movement of Inorganic Phosphorus in Soils. In Phosphorus, Agriculture and the Environment; American Society of Agronomy: Madison, WI, USA, 2005; pp. 53–86. [Google Scholar]
- Kruse, J.; Abraham, M.; Amelung, W.; Baum, C.; Bol, R.; Kühn, O.; Lewandowski, H.; Niederberger, J.; Oelmann, Y.; Rüger, C.; et al. Innovative methods in soil phosphorus research: A review. J. Plant Nutr. Soil Sci. 2015, 178, 43–88. [Google Scholar] [CrossRef]
- Turner, B.L.; Papházy, M.J.; Haygarth, P.M.; McKelvie, I.D. Inositol phosphates in the environment. Philos. Trans. R. Soc. Lond. B. Biol. Sci. 2002, 357, 449–469. [Google Scholar] [CrossRef]
- Condron, L.M.; Turner, B.L.; Cade-Menun, B.J. Chemistry and dynamics of soil organic phosphorus. In Phosphorus: Agriculture and the Environment; Sims, J.T., Sharpley, A.N., Eds.; American Society of Agronomy, Crop Science Society of America, Soil Science Society of America, Inc.: Madison, WI, USA, 2005; pp. 87–121. [Google Scholar]
- Jones, D.A.; Smith, B.F.L.; Wilson, M.J.; Goodman, B.A. Solubilisator fungi of phosphate in rise soil. Mycol. Res. 2003, 95, 1009–1093. [Google Scholar]
- Lambers, H.; Shane, M.W.; Cramer, M.D.; Pearse, S.J.; Veneklaas, E.J. Root Structure and Functioning for Efficient Acquisition of Phosphorus: Matching Morphological and Physiological Traits. Ann. Bot. 2006, 98, 693–713. [Google Scholar] [CrossRef]
- Simpson, R.J.; Oberson, A.; Culvenor, R.A.; Ryan, M.A.; Veneklaas, E.J.; Lambers, H.; Lynch, J.P.; Ryan, P.R.; Delhaize, E.; Smith, F.A.; et al. Plant and microbial strategies to improve phosphorus efficiency of agriculture. Plant Soil 2011, 349, 89–120. [Google Scholar]
- Heffer, P.; Prud’homme, M.P.R.; Muirheid, B.; Isherwood, K.F. Phosphorus fertilisation: Issues and outlook. In Proceedings of International Fertilisers Society; IFS: York, UK, 2006; Volume 586, pp. 1–23. [Google Scholar]
- Johnson, A.E.; Syers, J.K. Changes in understanding the behaviour of soil and fertilizer phosphorus: Implications for their efficient use in agriculture. In Proceedings of International Fertilisers Society; IFS: York, UK, 2006; Volume 589, pp. 1–31. [Google Scholar]
- Benbi, D.K.; Biswas, C.R. Nutrient budgeting for phosphorus and potassium in a long-term fertilizer trial. Nutr. Cycl. Agroecosyst. 1999, 54, 125–132. [Google Scholar]
- Sun, B.H.; Cui, Q.H.; Guo, Y.; Yang, X.Y.; Zhang, S.L.; Gao, M.X.; Hopkins, D.W. Soil phosphorus and relationship to phosphorus balance under long-term fertilization. Plant Soil Environ. 2018, 64, 214–220. [Google Scholar]
- Lasaletta, L.; Billen, G.; Grizetti, B.; Garnier, J.; Leach, A.M.; Galloway, J.N. 50 years trends in nitrogen use efficiency of world cropping systems: The relationships between yield and nitrogen input to cropland. Environ. Res. Lett. 2014, 9, 10. [Google Scholar] [CrossRef]
- Scharf, P.C.; Lory, J.A. Calibration corn color from aerial photographs to predict side dress nitrogen nee. Agron. J. 2002, 94, 397–404. [Google Scholar] [CrossRef]
- Arregui, L.M.; Quemada, M. Strategies to improve nitrogen use efficiency in winter cereal production under rainfed conditions. Agron. J. 2008, 100, 277–284. [Google Scholar] [CrossRef]
- Sharma, L.K.; Bali, S.K. A review of methods to improve nitrogen use efficiency in agriculture. Sustainability 2017, 10, 51. [Google Scholar] [CrossRef]
- Bouchet, A.S.; Laperche, A.; Bissuel-Belaygue, C.; Snowdon, R.J.; Nesi, N.; Stahl, A. Nitrogen use efficiency in rapeseed. A review. Agron. Sustain. Dev. 2016, 36, 1–20. [Google Scholar] [CrossRef]
- Weiser, C.; Fuß, R.; Kage, H.; Flessa, H. Do farmers in Germany exploit the potential yield and nitrogen benefits from preceding oilseed rape in winter wheat cultivation? Arch. Agron. Soil Sci. 2017, 64, 1–13. [Google Scholar] [CrossRef]
- Bastani, S.; Hajiboland, R. Uptake and utilization of applied phosphorus in oilseed rape (Brassica napus L. cv. Hayola) plants at vegetative and reproductive stages: Comparison of root with foliar phosphorus application. Soil Sci. Plant Nutr. 2017, 63, 254–263. [Google Scholar] [CrossRef]
- Grzebisz, W.; Szczepaniak, W.; Barłóg, P.; Przygocka-Cyna, K.; Potarzycki, J. Phosphorus sources for winter oilseed rape (Brassica napus L.) during reproductive growth—Magnesium sulfate management impact on P use efficiency. Arch. Agron. Soil Sci. 2018, 64, 1646–1662. [Google Scholar] [CrossRef]
- Föhse, D.; Claassen, N.; Jungk, A. Phosphorus efficiency of plants: II. Significance of root radius, root hairs, and cation-anion balance for phosphorus influx in seven plant species. Plant Soil 1991, 132, 261–272. [Google Scholar] [CrossRef]
- Lickfett, T.; Mätthaus, B.; Velasco, L.; Möllers, C. Seed yield, oil and phytate concentration in the seeds of two oilseed rape cultivars as affected by different phosphorus supply. Eur. J. Agron. 1999, 11, 293–299. [Google Scholar] [CrossRef]
- Quemada, M.; Lassaletta, L.; Jensen, L.S.; Godinot, O.; Brentrup, F.; Buckley, C.; Foray, S.; Hvid, S.K.; Oenema, J.; Richards, K.G.; et al. Exploring nitrogen indicators of farm performance among farm types across several European case studies. Agric. Syst. 2020, 77, 1–14. [Google Scholar] [CrossRef]
- Fertilizers Europe. Forecast of Food Farming and Fertilizer Use in the European Union 2019–2029. Sustainable agriculture in Europe. 2019. Available online: https://www.fertilizerseurope.com/wp-content/uploads/2019/12/Forecast-of-food-farming-and-fertilizer-use-in-the-European-Union.pdf (accessed on 14 October 2020).
- GUS (Statistics Poland). Means of Production in Agriculture in the 2018/19 Farming Year. Warsaw, Poland; 2020. Available online: https://stat.gov.pl/download/gfx/portalinformacyjny/pl/defaultaktualnosci/5507/6/16/1/srodki_produkcji_w_rolnictwie_w_roku_gospodarczym_2018-2019.pdf (accessed on 1 November 2020).
- McLaughlin, M.J.; McBeath, T.M.; Smernik, R.; Stacey, S.P.; Ajiboye, B.; Guppy, C. The chemical nature of P accumulation in agricultural soils—Implications for fertiliser management and design: An Australian perspective. Plant Soil 2011, 349, 69–87. [Google Scholar] [CrossRef]
- Mühlbachová, G.; Čermák, P.; Vavera, R.; Káš, M.; Pechová, M.; Marková, K.; Kusá, H.; Růžek, P.; Hlušek, J.; Lošák, T. Boron availability and uptake under increasing phosphorus rates in a pot experiment. Plant Soil Environ. 2017, 63, 483–490. [Google Scholar]









| N Rate | Grabów | Baborówko | ||||||||
|---|---|---|---|---|---|---|---|---|---|---|
| P-Plus | Control | P-Plus | Control | |||||||
| 39 kg P·ha−1 | 0 kg P·ha−1 | 39 kg P·ha−1 | 0 kg P·ha−1 | |||||||
| PUE | Pn | Ps | Pn | Ps | PUE | Pn | Ps | Pn | Ps | |
| 0 | 3 a | 13.2 aA | 26 aA | 12.0 aA | −12 a | 0 | 6.91 aA | 32 a | 6.87 aA | −7 aB |
| 50 | 3 a | 17.2 bA | 22 bA | 16.1 bA | −16 b | 0 | 9.99 bA | 29 b | 10.6 bA | −11 bB |
| 100 | 4 ab | 21.0 cA | 18 cA | 19.4 cA | −19 c | 4 ab | 14.9 cA | 24 c | 13.2 cA | −13 cB |
| 150 | 4 ab | 23.0 dA | 16 dA | 21.3 cdA | −21 cd | 3 a | 17.8 dA | 21 d | 16.6 dA | −16 dB |
| 200 | 7 b | 24.5 eA | 15 deA | 21.6 cdB | −22 cd | 5 bc | 19.1 eA | 20 e | 17.2 eA | −17d eB |
| 250 | 12 c | 26.5 fA | 13 fA | 22.5 dB | −23 d | 5 ab | 21.2 fA | 18 f | 19.3 fA | −19 fB |
| Mean | 6 | 21 | 18 | 19 | −18 | 6 | 15 | 24 | 14 | −14 |
| N Rate | Grabów | Baborówko | ||||||||
|---|---|---|---|---|---|---|---|---|---|---|
| P-Plus | Control | P-Plus | Control | |||||||
| 31 kgP·ha−1 | 0 kgP·ha−1 | 31 kgP·ha−1 | 0 kgP·ha−1 | |||||||
| PUE | Pn | Ps | Pn | Ps | PUE | Pn | Ps | Pn | Ps | |
| 0 | 5 ab | 15.0 aA | 16 aA | 13.5 a | −14 aB | - | 8.85 aA | 22 aA | 9.00 aA | −9 aB |
| 40 | 6 bc | 17.3 bA | 14 bA | 15.5 bB | −16 bB | - | 13.0 bA | 18 bA | 13.9 bA | −14 bB |
| 80 | 4 a | 19.5 cA | 12 cA | 18.3 cA | −18 cB | 4 a | 17.5 cA | 14 cA | 16.4 cA | −16 cB |
| 120 | 4 a | 21.8 dA | 9 dA | 20.5 dA | −2 dB | - | 19.9 dA | 11 dA | 19.8 dA | −20 dB |
| 160 | 6 bc | 22.6 deA | 8 deA | 20.6 dB | −2 dB | 1 b | 21.4 eA | 10 eA | 21.2 eA | −21 eB |
| 200 | 8 d | 24.1 eA | 7 eA | 21.5 dB | −2 dB | - | 21.5 eA | 10 eA | 21.5 eA | −22 eB |
| Mean | 6 | 20 | 11 | 18 | −19 | 3 | 17 | 14 | 17 | −17 |
| N Rate | Grabów | Baborówko | ||||||||
|---|---|---|---|---|---|---|---|---|---|---|
| P-Plus | Control | P-Plus | Control | |||||||
| 35 kgP·ha−1 | 0 kgP·ha−1 | 35 kgP·ha−1 | 0 kgP·ha−1 | |||||||
| PUE | Pn | Ps | Pn | Ps | PUE | Pn | Ps | Pn | Ps | |
| 0 | 11 e | 27.7 aA | 7 aA | 23.9 aB | −24 aB | 5 c | 17.6 aA | 17 aA | 16.0 aA | −16 aB |
| 50 | 12 e | 29.1 abA | 6 abA | 25.0 abB | −25 abB | 2 a | 21.8 bA | 13 bA | 21.0 bA | −22 bB |
| 100 | 4 b | 28.8 abcA | 6 abA | 27.3 bA | −27 bB | 3 ab | 24.8 cA | 10 cA | 23.6 cA | −23 cB |
| 150 | 1 a | 29.4 abcA | 6 abA | 28.9 bcA | −29 bcB | 3 ab | 26.6 dA | 8 dA | 25.5 dA | −26 dB |
| 200 | 5 bc | 30.2 bcA | 9 bA | 28.3 bcA | −28 bcB | 5 c | 27.2 deA | 8 dA | 26.8 eA | −27 eB |
| 250 | 5 bc | 29.9 bA | 6 abA | 28.2 bcA | −28 bcB | 3 ab | 27.7 deA | 7 eA | 27.6 eA | −28 fB |
| Mean | 7 | 29 | 7 | 27 | −27 | 4 | 24 | 10 | 23 | −23 |
| N Rate | Grabów | Baborówko | ||||||||
|---|---|---|---|---|---|---|---|---|---|---|
| P-Plus | Control | P-Plus | Control | |||||||
| 31 kgP·ha−1 | 0 kgP·ha−1 | 31 kgP·ha−1 | 0 kgP·ha−1 | |||||||
| PUE | Pn | Ps | Pn | Ps | PUE | Pn | Ps | Pn | Ps | |
| 0 | 3 a | 13.7 aA | 17 aA | 12.7 aA | −13 aB | 3 b | 6.9 aA | 24 aA | 6.0 aA | −6 aB |
| 30 | 6 b | 17.6 bA | 14 bA | 15.8 bB | −16 bB | 1 a | 10.5 bA | 21 bA | 10.2 bA | −10 bB |
| 60 | 4 ab | 20.4 cA | 11 cA | 19.2 cA | −19 cB | 2 ab | 14.4 cA | 17 cA | 13.8 cA | −14 cB |
| 90 | 7 bc | 22.0 dA | 9 dA | 19.9 cdA | −20 cdB | 3 b | 17.2 dA | 14 dA | 16.4 dA | −16 dB |
| 120 | 7 bc | 22.9 dA | 8 dA | 20.6 deB | −21 deB | 4 bc | 19.5 eA | 12 eA | 18.3 eA | −18 eB |
| 150 | 9 c | 24.0 eA | 7 eA | 21.3 eB | −2 eB | 3 b | 21.2 fA | 10 fA | 20.3 fA | −20 fB |
| Mean | 6 | 20 | 11 | 18 | −18 | 3 | 15 | 16 | 14 | −14 |
| N Rate | Grabów | Baborówko | ||||||||||
|---|---|---|---|---|---|---|---|---|---|---|---|---|
| P-Plus | Control | P-Plus | Control | |||||||||
| NUE | Yn | Ns | NUE | Yn | Ns | NUE | Yn | Ns | NUE | Yn | Ns | |
| 50 | 145 a | 72 a | −22 a | 140 a | 70 a | −20 a | 91 a | 46 a | 4 a | 100 a | 50 a | 0 a |
| 100 | 100 b | 102 b | −2 a | 100 b | 101 b | −1 a | 73 b | 74 b | 26 b | 67 b | 70 ab | 30 b |
| 150 | 80 ab | 120 bc | 30 b | 78 c | 117 bc | 33 b | 65 c | 98 c | 52 c | 59 c | 89 c | 61 c |
| 200 | 70 b | 140 cd | 60 c | 67 cd | 134 c | 66 c | 54 d | 107 c | 93 d | 52 cd | 104 d | 96 d |
| 250 | 62 b | 155 d | 95 d | 57 d | 141 c | 109 d | 47 d | 118 d | 132 e | 46 d | 114 e | 136 e |
| Mean | 91 | 118 | 32 | 88 | 112 | 37 | 66 | 89 | 61 | 65 | 86 | 81 |
| N Rate | Grabów | Baborówko | ||||||||||
|---|---|---|---|---|---|---|---|---|---|---|---|---|
| P-Plus | Control | P-Plus | Control | |||||||||
| NUE | Yn | Ns | NUE | Yn | Ns | NUE | Yn | Ns | NUE | Yn | Ns | |
| 40 | 196 a | 78 a | −38 a | 193 a | 77 a | −37 a | 155 a | 62 a | −22 a | 153 a | 61 a | −21 a |
| 80 | 134 b | 107 b | −27 b | 131 b | 105 b | −25 b | 111 b | 89 b | −9 b | 106 b | 85 b | −5 b |
| 120 | 106 c | 128 c | −8 c | 103 c | 123 c | −3b c | 89 c | 107 c | 13 c | 89 c | 107 c | 13 c |
| 160 | 92 d | 147 d | 13 d | 91 cd | 146 d | 14 d | 78 c | 124 d | 36 d | 76 cd | 122 d | 38 d |
| 200 | 83 d | 166 e | 34 e | 81 d | 162 e | 38 e | 65 d | 130 d | 69 e | 64 d | 128 d | 72 e |
| Mean | 122 | 125 | −5 | 120 | 123 | −3 | 100 | 102 | 17 | 98 | 101 | 19 |
| N Rate | Grabów | Baborówko | ||||||||||
|---|---|---|---|---|---|---|---|---|---|---|---|---|
| P-Plus | Control | P-Plus | Control | |||||||||
| NUE | Yn | Ns | NUE | Yn | Ns | NUE | Yn | Ns | NUE | Yn | Ns | |
| 50 | 231 a | 115 a | −65 a | 227 a | 114 | −64 a | 195 a | 97 a | −47 a | 199 a | 99 a | −49 a |
| 100 | 154 b | 154 b | −54 a | 145 b | 145 | −45 b | 145 b | 145 b | −45 a | 138 b | 138 b | −38 a |
| 150 | 107 c | 161 b | −11 b | 99 c | 148 | 2 c | 112 c | 168 c | −18 b | 104 c | 156 c | −6 b |
| 200 | 89 d | 179 c | 21 c | 85 cd | 170 | 30 d | 87 d | 175 cd | 25 c | 87 d | 175 d | 25 c |
| 250 | 71 e | 175 c | 75 d | 69 d | 173 | 77 e | 74 e | 185 d | 65 d | 76 d | 191 e | 59 d |
| Mean | 130 | 156 | −7 | 125 | 150 | 0 | 123 | 154 | −4 | 121 | 151 | −2 |
| N Rate | Grabów | Baborówko | ||||||||||
|---|---|---|---|---|---|---|---|---|---|---|---|---|
| P-Plus | Control | P-Plus | Control | |||||||||
| NUE | Yn | Ns | NUE | Yn | Ns | NUE | Yn | Ns | NUE | Yn | Ns | |
| 30 | 211 a | 63 a | −33 a | 202 a | 61 a | −31 a | 132 a | 39 a | −9 a | 135 a | 41 a | −9 a |
| 60 | 136 b | 81 b | −21 b | 132 b | 78 b | −19 b | 101 b | 61 b | −1 b | 103 b | 62 b | −2 b |
| 90 | 114 c | 102 c | −12 c | 106 c | 95 c | −5 c | 89 ab | 81 c | 9 c | 82 c | 74 c | 16 c |
| 120 | 99 d | 119 d | 1 d | 96 c | 114 d | 6 d | 77 bc | 92 d | 28 d | 76 cd | 91 d | 29 d |
| 150 | 88 d | 132 e | 18 e | 81 d | 121 d | 29 e | 70 cd | 105 e | 45 e | 66 d | 99 e | 51 e |
| Mean | 130 | 99 | −10 | 123 | 94 | −4 | 94 | 76 | 14 | 92 | 73 | 17 |
Publisher’s Note: MDPI stays neutral with regard to jurisdictional claims in published maps and institutional affiliations. |
© 2020 by the authors. Licensee MDPI, Basel, Switzerland. This article is an open access article distributed under the terms and conditions of the Creative Commons Attribution (CC BY) license (http://creativecommons.org/licenses/by/4.0/).
Share and Cite
Rutkowska, A.; Skowron, P. Productive and Environmental Consequences of Sixteen Years of Unbalanced Fertilization with Nitrogen and Phosphorus—Trials in Poland with Oilseed Rape, Wheat, Maize and Barley. Agronomy 2020, 10, 1747. https://doi.org/10.3390/agronomy10111747
Rutkowska A, Skowron P. Productive and Environmental Consequences of Sixteen Years of Unbalanced Fertilization with Nitrogen and Phosphorus—Trials in Poland with Oilseed Rape, Wheat, Maize and Barley. Agronomy. 2020; 10(11):1747. https://doi.org/10.3390/agronomy10111747
Chicago/Turabian StyleRutkowska, Agnieszka, and Piotr Skowron. 2020. "Productive and Environmental Consequences of Sixteen Years of Unbalanced Fertilization with Nitrogen and Phosphorus—Trials in Poland with Oilseed Rape, Wheat, Maize and Barley" Agronomy 10, no. 11: 1747. https://doi.org/10.3390/agronomy10111747
APA StyleRutkowska, A., & Skowron, P. (2020). Productive and Environmental Consequences of Sixteen Years of Unbalanced Fertilization with Nitrogen and Phosphorus—Trials in Poland with Oilseed Rape, Wheat, Maize and Barley. Agronomy, 10(11), 1747. https://doi.org/10.3390/agronomy10111747

