Next Article in Journal
Performance of Grain Sorghum and Forage of the Genus Brachiaria in Integrated Agricultural Production Systems
Next Article in Special Issue
Solar Drying of Greenhouse Crop Residues for Energy Valorization: Modeling and Determination of Optimal Conditions
Previous Article in Journal
Comparative Study of the Convertibility of Agricultural Residues and Other Cellulose-Containing Materials in Hydrolysis with Penicillium verruculosum Cellulase Complex
Previous Article in Special Issue
Influence of New Citrus Rootstocks on Lemon Quality
 
 
Font Type:
Arial Georgia Verdana
Font Size:
Aa Aa Aa
Line Spacing:
Column Width:
Background:
Article

Effect of the Foliar Application of Microalgae Hydrolysate (Arthrospira platensis) and Silicon on the Growth of Pelargonium hortorum L.H. Bailey under Salinity Conditions

by
Salvador Tejada-Ruiz
1,
Cynthia Gonzalez-Lopez
2,
Elisa Rojas
3 and
Silvia Jiménez-Becker
1,*
1
Department of Agronomy, Higher Engineering School, Agrifood Campus of International Excellence (CeiA3), Universidad de Almería, Ctra. Sacramento s/n, 04120 Almería, Spain
2
Department of Engineering, Higher Engineering School, Agrifood Campus of International Excellence (CeiA3), Universidad de Almería, Ctra. Sacramento s/n, 04120 Almería, Spain
3
Biorizon, Science and Technology Park, C/Albert Einstein, 04131 Almeria, Spain
*
Author to whom correspondence should be addressed.
Agronomy 2020, 10(11), 1713; https://doi.org/10.3390/agronomy10111713
Submission received: 8 October 2020 / Revised: 27 October 2020 / Accepted: 2 November 2020 / Published: 5 November 2020
(This article belongs to the Special Issue Characteristics and Technology in Mediterranean Agriculture)

Abstract

Plant growth is limited by salinity stress. There are few strategies for alleviating it although Arthrospira platensis and silicon can stimulate plants to grow under stress conditions. The aim of this work was to study the effects of both a single and a joint application of Arthrospira platensis and silicon on the growth of Pelargonium hortorum L.H. Bailey under salt stress conditions. Plants were exposed to 2.0, 3.0, and 3.5 dS m−1 EC (electrical conductivity), with and without the application of microalgae and silicon. At the end of the trial, the biometric parameters and the plant analysis were determined. The microalgae hydrolysate concentration was 5 g L−1 and the silicon concentration was 150 mg L−1. Foliar spraying was applied weekly. Pelargonium can be grown in moderately saline irrigation water (3.0 dS m−1). This bedding plant mitigates salt stress by avoiding the uptake of Cl ions and by tolerating a high Na+ concentration in the tissue. The joint foliar application of Arthrospira microalgae and silicon stimulates root, shoot, leaf, and flower formation in the Pelargonium hortorum L.H. Bailey crop under salinity conditions (3.5 dS m−1).

1. Introduction

There is a growing need to develop strategies aimed at reducing, or replacing, the use of chemicals with natural or biological substances, such as plant biostimulants [1]. In modern agriculture, plant biostimulants have attracted considerable interest as a way of enhancing crop performance, resilience to environmental stress, and efficient nutrient use [2]. The development of innovative technologies based on bioresources, which includes plant biostimulants, have proven to be effective methods at improving crop performance [3]. Plant biostimulants contain substances and/or microorganisms whose function, when applied to the plants or the rhizosphere, is to stimulate natural processes that enhance/benefit nutrient uptake, nutrient efficiency, tolerance to abiotic stress, and crop quality [4].
Microalgae, which comprise eukaryotic and prokaryotic cyanobacteria (blue-green algae), are of great interest to scientists, extension specialists, plant growers, and private industry because of their versatile nature; this includes their simple unicellular structure, high photosynthetic efficiency, potential for heterotrophic growth and valuable co-product yield, adaptability to domestic and industrial wastewater, and amenability to metabolic engineering [2]. Microalgae are classified mainly by their pigmentation, life cycle, and cell structure [5]. The predominant microalgae species available commercially are: Isochrysis spp., Chaetoceros spp., Chlorella spp., Arthrospira spp., and Dunaliella spp. Of these, Arthrospira spp. and Chlorella spp. are the main species cultivated and used commercially [5]. Microalgae are microscopic plants that contain potential bioactive materials in the form of proteins, lipids, glycerols, carotenes, and vitamins [6]. The potential of these microorganisms as resources for bioactive compounds is attributable to their remarkable capacity to synthesize useful products such as polysaccharides, proteins, polyunsaturated fatty acids, lipids, and other bioactive metabolites from atmospheric CO2 [3]. The average nutritional composition of the microalgae (expressed as g per 100 g dry weight (DW) is protein 63, fat 4.3, carbohydrates 17.8, chlorophyll 1.15, magnesium 0.316, beta-carotene 0.12, vitamin B1 (thiamin) 0.001, vitamin B2 (riboflavin) 0.0045, vitamin B3 (niacin) 0.0149, vitamin B5 (pantothenic acid) 0.0013, vitamin B6 (pyridoxine) 0.00096, vitamin B9 (folic acid) 0.000027, and vitamin B12 (cobalamin) 0.00016. The presence of certain amino acids in microalgal extracts is expected to significantly increase the growth and yield of cultivated crops because they are the metabolic precursors of various phytohormones [7]. Arginine serves as the precursor to polyamines, which are involved in floral initiation and development, and in protecting against osmotic stress [2,8]. Several studies have reported the positive effect of microalgae on plant growth. It has been proven that the foliar application of microalgae hydrolysates accelerates plant development in terms of higher rates of root growth, leaf and shoot development, and earliness of flowering [9].
Silicon, on the other hand, can stimulate growth and yield, both directly and indirectly [10,11]. Plants take up Si in the form of silicic acid, which is transported to the shoots. Following water loss, it is polymerized as silica gel on the surface of leaves and stems [11]. Silicon has been shown to mitigate the impact of many biotic and abiotic stresses [10,12]. The beneficial effect of Si may be due to the Si-induced decrease in transpiration, and to the partial blockage of the transpirational bypass flow [10]. There has been limited research addressing the effects of silicon on container-grown ornamentals [11]. Since most ornamental crops are grown in soilless media, where the silicon concentration is minimal [11], evaluating the effect of this element has attracted great interest. The beneficial effect of applying silicon to ornamental plants is evidenced by their improved health, firmness, and proper flower formation [13]. The application of Si+P fertilizer counteracted the negative effects of water stress on vegetative growth and certain biochemical parameters in potted geranium plants [14]. However, the effect of Si supplements depends on the Si source and the concentration [15]. In the case of KSiO3, the most beneficial Si concentration was 140 g m−3 [15].
Previous studies have revealed that using microalgae and silicon singly can stimulate growth, flowering, and fruiting in different crops. However, only limited research has been carried out into the effect on plant growth of using silicon in combination with microalgae. It was found that supplying banana plants with a mixture containing potassium silicate and seaweed extract gave the best results in terms of growth, earlier shooting, yield, and fruit quality [16].
The aim of this work was to study the effect of single and joint applications of Arthrospira platensis and silicon on Pelargonium hortorum L.H. Bailey growth under salt stress conditions.

2. Material and Methods

2.1. Greenhouse Trial

The trials were carried out in a 170 m2 greenhouse with zenith ventilation, and relative humidity and temperature control. The temperature and relative humidity were recorded every 15 min with a HOBO U12-013 data logger (Onset Computer Corporation, Bourne, MA, USA) placed at canopy height in the central part of the cultivation table where the plants are grown. External radiation was measured every 15 min with a Q20-B sensor (DGT-Volmatic, Barcelona, Spain). To estimate the internal radiation, the cover transmission coefficient was estimated as the ratio between the internal and external radiation using a manual quantum photoradiometer (Delta OHM, model RAD/PAR (Dicsa, Almeria, Spain)). The average temperature, humidity, and global radiation in the greenhouse were 17.5 °C, 68.6%, and 1.40 MJ m2 day−1, respectively; the maximum and minimum averages of the temperature and humidity were 24.6 and 12.4 °C, and 79.6% and 52.9%, respectively.
The species studied was Pelargonium hortorum L.H. Bailey. Pelargonium hortorum was chosen as a model plant because it has a rapid crop cycle and is easily grown in a greenhouse. Nonetheless, these results can be applied to other horticultural crops. Plant cuttings were transplanted into 2.5 L pots (one plant per pot). The substrate used was a mixture of peat and perlite 80:20 (v/v). The white peat substrate (Brill WPS medium) is a potting substrate with a high air capacity (41%), a pH of 5.7 and a 1.0 g L−1 salt content. Projar expanded perlite has a total porosity of 92–98% and a 1–5 mm fraction size.
Fertigation was applied manually until the leachate fraction reached 20%. The average dose for the Pelargonium hortorum was 85 mL per plant once every 2 days. For the C2, C3, and C3.5 treatments, leachates from three plants were collected in a tray with plastic saucers and covered with black film. The amounts of leached water, the EC, and the pH were determined every 3 days using a test tube, an EC-meter, and a pH-meter (Dicsa, Almería, Spain), respectively. Water uptake was estimated as the difference between the water applied and the water leached.

2.2. Treatments

Twelve treatments were performed, comprising single and joint foliar application with Arthrospira platensis and silicon, along with fertigation at EC 2.0, 3.0, and 3.5 dS m−1 (Figure 1).
The C2 concentrations (the standard nutrient solution) were 0.52, 7.20, 0.71, 1.71, 3.00, 2.49, and 1.0 mmol L−1 of H2PO4, NO3, NH4+, SO42−, K+, Ca2+, and Mg2+, respectively. Phosphoric acid, nitric acid, calcium nitrate, potassium nitrate, ammonium nitrate, and potassium sulphate were used to prepare the nutrient solutions. The pH and EC of the standard nutrient solution was 6 and 2 dS m−1, respectively. After the nutrient solution was prepared, NaCl (491 and 982 mg L−1) was added to obtain EC 3.0 and 3.5 dS m−1, respectively.
The potassium silicate was sprayed at a concentration of 150 mg L−1. The microalgal hydrolysate concentration was 5 g L−1. The density of algal cells used was 100 g L−1. Foliar spraying was applied weekly. Arthrospira platensis was supplied by the Biorizon company (Almeria, Spain). The microalgae hydrolysate was produced using Arnon medium, with the addition of 16 g L−1 of bicarbonate, in a 100 m2 raceway reactor. The cultures were performed controlling the pH (pH = 10) by CO2 injection. The oxygen concentration was controlled and remained below 250% saturation. The biomass was harvested continuously at a dilution rate of 0.2 1/day.
The nutrient content of the microalgae hydrolysate was N 1.198 ± 0.005, P 0.187 ± 0.004, K 0.157 ± 0.005, Ca 0.157 ± 0.004, and Mg 0.048 ± 0.001 (%) [9]. The hormone content of the microalgae hydrolysate was cytokinins 2752, gibberellins 56.24, indoleacetic acid 10.3, ABA 1.03, salicylic acid 0.61, and jasmonic acid 0.84 ng g1 [9].

2.3. Nutrient Solution Analysis

The parameters determined in the nutrient solutions tested were pH, EC, NO3, SO42−, H2PO4, Ca2+, Mg2+, and K+. The pH was measured with a Crison Micro pH 2001 pH-meter and the EC with a Crison Micro CM 2200 conductivity meter. Nitrate, SO42−, H2PO4, Ca2+, Mg2+, and K+ were determined by HPLC (High Performance Liquid Chromatography; Metrohm 883 Basic IC Plus). NO3, SO42−, and H2PO4 were quantified using a Metrosep A SUPP 4 column (with an IC conductivity detector range of 0–15,000 μS cm−1). The mobile phase was prepared by mixing 190.6 mg of CO32− and 142.8 mg of HCO3, and then diluting this in 1 L of deionized water, acidified with H2SO4 (50 mM). The Ca2+, Mg2+ and K+ were quantified using a Metrosep C4 column (with an IC conductivity detector range of 0–15,000 μS cm−1) and the mobile phase was prepared by mixing 117 mg of 2,6-Pyridinedicarboxylic acid and 1.7 mL of nitric acid (1 M) diluted in 1 L of deionized water.

2.4. Biometric Parameters

Growth parameters and ornamental quality are particularly important for ornamental species since they can determine the plant price. Salinity can affect biomass production, leaf area, plant height, and water status. Therefore, the fresh weights (FW) and DW, the internode length, the leaf length and width, and the number of leaves and shoots were recorded at the end of the cultivation. The number of leaves and shoots per plant were counted. The internode length, and the leaf length and width were measured using a ruler. The number of flowers per plant was counted each week during the crop cycle. After removing the substrate, the plant material (comprising 12 plants per treatment) was separated into different vegetal fractions: absorption organs (roots), conductive organs (stems and petioles), photosynthetic organs (leaves), and flowers, which were weighed separately on a COBOS G M5-1000 scale (with a precision of 0.005 g) to determine the FW. All the samples were washed and dried in a Nüve EFN500 oven (with a 30 to 300 °C range) at 60 °C for 48 h to determine the DW. The total DW was calculated as the sum of the roots, stems and petioles, leaves, and flowers. The FW and DW totals were used to calculate the water content as (FW − DW) × 100/FW. The leaf area was estimated by a non-destructive method using the formula S = a + b LW, where S is the foliar surface area, L is the leaf length (cm), W is the leaf width, and the a and b coefficients are specific to each species. For Pelargonium, a is 0.07 cm2 and b is 0.68 cm2. Leaf color was identified according to the Munsell chart for leaves. The Munsell color is based on a three-dimensional model in which each color is composed of three attributes: hue (the color itself), value (lightness/darkness), and chroma (color saturation or brilliance). The color of the leaves was visually matched [17].

2.5. Mineral Analysis

A subsample of the dry matter (0.2 g of DW) from the most significant treatments (C2, C3, C3.5, ASi2, ASi3, and ASi3.5) was ground up in a Wiley mill and digested (in 96% H2SO4) in the presence of hydrogen peroxide (H2O2, 30%(w/v)) at 300 °C in a sand bath to analyze the organic N, P, K, Ca, and Mg. Each treatment was replicated four times. The total Na and K were directly measured by flame spectrophotometry using an Evans Electro Selenium LTB Flame Photometer (Halstead, Essex, England). The total Ca and Mg were analyzed by atomic-absorption spectrophotometry using a Perkin Elmer Atomic Absorption Spectrometer 3300 (Dicsa, Almeria, Spain). P was analyzed using the method proposed by [18], and nitrogen was analyzed using the method proposed by [19].

2.6. Experimental Design and Statistical Analysis

The experimental design comprised a completely randomized block with 12 treatments. There were four replicates per treatment and three plants (pots) per replicate (12 plants per treatment). The effect significance of the treatments (salinity, and the microalgae and silicon application) was examined using the standard analysis of variance (one-way ANOVA) and Fisher’s least significant difference (LSD) test, performed using Statgraphics Centurion XVI.II software (Statpoint Technologies, Inc., Warrenton, VA, USA). Differences were considered significant at p < 0.05.

3. Results

3.1. Salinity Effect

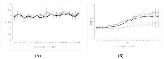
No differences in stems (SDW), leaves (LDW), flowers (FDW), or total dry weight (TDW) were found between the salinity treatments (Table 1). However, Pelargonium underwent a negative root growth response when the salinity level rose from 2 to 3.5 dS m−1. The treatments with an EC of 3.0 and 3.5 dS m−1 resulted in a reduction of more than 20% compared to an EC of 2.0 dS m−1. The number of shoots and flowers, the width and length of the leaves, and the internode length showed no significant differences (Table 2, Figure 2). However, the leaf area and leaf number improved in the treatment with an EC of 3.0 dS m−1. The Na concentration in the leaves was high in all the treatments [10], even in the C2 treatment where sodium was not added. This is due to the relatively high sodium concentration present in irrigation water. The Na levels were significantly higher in the leaves of plants that were given the salinity treatments (Table 3) although no differences were found between the C2.0 and C3.0 treatments; the similar concentration in the leaves was probably due to the effect of reduced root DW. The concentrations of N, P, S Cl, Ca, and Mg were not affected by the salinity treatments. The K concentration in the leaves decreased as the salinity increased, reducing by 20% in treatment C3.5 compared to C2. The evaluation of leached solution over the cultivation period is shown in Figure 3. The leachate pH did not present significant differences between the treatments (6.6–7.4). Nonetheless, the salinity treatment did affect the leachate EC, indicating that salt accumulation varied with the treatment [20] 59 days after transplanting, the leachate EC was 3.47, 5.10, and 6.06 dS m−1 for C2, C3, and C3.5, respectively. In all the treatments, the leachate EC increased during the assay, but this increase was greater in treatments C3 (50%) and C3.5 (60%) than in the C2 treatment (30%). However, no difference in the plant water content was found in treatments C3 and C3.5 compared to C2; the water content was 90.9%, 91.1%, and 91.0%, respectively. Differences in the water uptake were not found until 55 days after transplanting. At this point, plant water uptake reduced in the NaCl treatments. The water uptake was 17% and 12% lower in C3 and C3.5, respectively, than in C2 (58 days after transplanting) (Figure 4).

3.2. Silicon and Microalgae Application

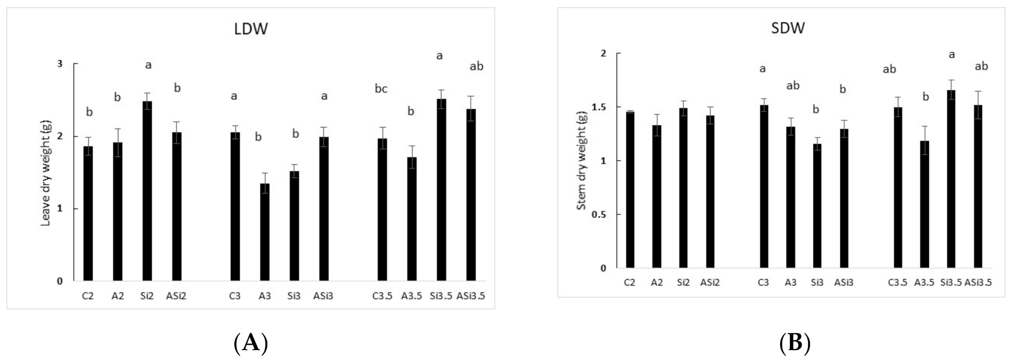
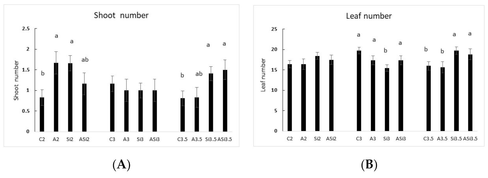
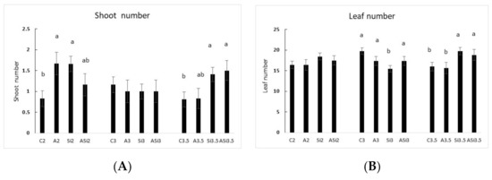
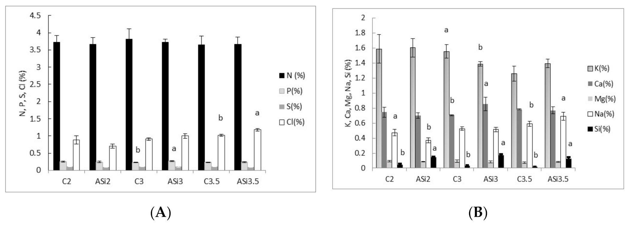
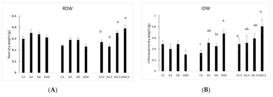
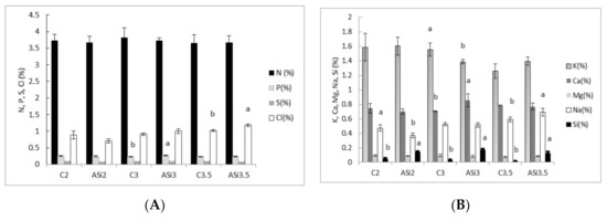
The combined application of microalgae and Si improved the LDW, RDW, IDW, and TDW in the treatment with an EC of 3.5 dS m−1 whereas it improved the IDW in the treatment with an EC of 3.0 dS m−1 (Figure 5, Figure 6 and Figure 7). However, no effect was observed on the RDW, IDW and between the treatments with an EC of 2.0 dS m−1. The Si treatments improved LDW compared with the control in the treatments with an EC of 2.0 and 3.5 dS m−1. A single application of microalgae improved the IDW in treatments with an EC of 3 dS m−1 although a reduction in TDW was observed in treatments A2 and A3.5. In treatments A2 and Si2, the number of shoots increased with an EC of 2 compared to the control, as it also did in treatments Si3.5 and ASi3.5 with an EC of 3.5 dS m−1 (Figure 8a). The leaf number increased compared to the control (by 22% and 28%) as did the flower number (by 24% and 51%) in treatments Si3.5 and ASi3.5, respectively (Figure 8b and Figure 9a). Furthermore, applying Arthrospira platensis and silicon increased the flower number in the treatments with an EC of 3.0 and 3.5 dS m−1. No differences were found in the internode length or the leaf area (Figure 9b and Figure 10). The Munsell chart was used to define color for all the treatments at the end of the assay. No differences were found between treatments; the leaves were identified as 5GY 4/4 for color, value, and chroma, respectively. The Cl and Na concentrations increased by 15% in treatment ASi3.5 compared to C3.5, as did the P and Ca concentrations in treatment ASi3 compared to C3 (Figure 11). The Si levels were significantly higher in plant leaves that had been treated with the Arthrospira and silicon foliar application. In contrast, the nitrogen, magnesium, and sulfur contents were not affected by the microalgae and silicon application.

4. Discussion

Salinity can reduce growth in plants; this growth reduction may result from the effects of salt on physiological processes, biochemical relationships, or a combination of such factors [21]. However, salinity affects the biomass and biochemical parameters differently, depending on the species [22]. The results from this assay indicate that salinity caused a reduction in root growth. The root/shoot ratio for treatments C2, C3, and C3.5 were 0.065, 0.058, and 0.058 g g−1, respectively. Root growth appears to be limited by increasing Na concentrations in the growth medium [10]. However, the C3 treatment, which had an EC of 3 dS m−1, improved the leaf area and leaf number compared to C2 and C3.5. A number of herbaceous perennials, groundcover plants, floriculture crops, and landscape woody shrubs became more compact yet showed little visual damage when irrigated at low to moderate salinity compared to the non-saline control [20]. Pelargonium may be considered a plant that is moderately tolerant to salinity [21].
Water uptake was affected 56 days after transplantation in treatments that had an EC of 3.0 and 3.5 dS m−1. Furthermore, no differences in water content were found. In spite of the high salt concentration in the soil causing a decrease in the water uptake, salt stress did not cause changes in the water status of the pelargonium leaves, which shows that the plants did not suffer from water deficit stress [23]. There are three salt tolerance mechanisms in plants: osmotic stress tolerance, tissue tolerance to accumulated Na and/or Cl ions, and minimizing the entry of Na and/or Cl ions [24]. Both the proline and anthocyanin contents increased significantly in the pelargonium leaves growing in peat substrate with the two highest NaCl doses [23]. These compounds may function as osmotic adjusters, and as scavengers of oxygen radicals protecting cytoplasmic structures and chloroplasts from the adverse effects of toxic ions [23]. According to our results, the ability to maintain turgor in the plant probably also resulted from Na+ accumulation in the vacuoles after Na+ transport from the root to the aerial parts; this is an important mechanism in salinity tolerance [23]. Soil salinity can affect nutrient acquisition by severely reducing root growth [25] and causing deficiencies or imbalances in the plants, which depend on the ionic composition of the external solution [25]. In accordance with our results, the concentration of potassium ions in the leaves was found to change significantly with increased NaCl concentration in the growing medium [23]. Moreover, the leaf concentrations of P, N, Ca, Mg, and S did not present any differences. Some species tolerate salt stress by avoiding the uptake of certain ions or by tolerating a high ion concentration in the tissue [20]. A plant’s ability to tolerate excessive amounts of Na+ varies widely between species [25]. Pelargonium seems to tolerate high Na concentrations in the tissue. Despite observing an increased Cl concentration in the external solution, no statistical difference in the Cl concentration of the leaves was found. One of the most important traits associated with tolerance is the ability to restrict the entry of saline ions through the roots [26]; however, a good Cl ion excluder is not necessarily a good Na+ excluder, and vice versa [22]. Pelargonium hortorum L.H. Bailey seems to be a good Cl ion excluder.
The results obtained by [11] found that silicon could be used as a fertilizer additive to improve the growth and quality of silicon-responsive ornamental plants. In our assay, LDW and leaf area were positively affected by the single application of silicon in treatments with an EC of 2.0 dS m−1. A single application of Arthrospira increased the number of shoots in treatments with an EC of 2.0 dS m−1, and the IDW and number of flowers in treatments with an EC of 3.0 dS m−1. Regarding ornamental plants, the authors of [9] showed that a foliar application of Arthrospira platensis improved the RDW and the number of flowers per plant. In petunias, applying microalgae stimulates bud formation in the mother plant and induces flowering in commercial petunia plants [9,27]. In our assay, the combined application of Arthrospira and silicon gave better results than using each compound alone. The increase in root growth, and the stimulation of flower and shoot formation, may be due to the synergistic effect of microalgae and silicon, and their effect on certain hormones such as abscisic acid and cytokines [9,28]. Cytokinin promotes bud development and abscisic acid promotes root growth. In addition, the authors of [16] suggested that the advancement effect of silicon and seaweed on the flowering time might be attributed to their essential role in balancing the ratio between carbohydrates and nitrogen in favor of flowering. In accordance with our results, in [13,27] the authors showed that the positive effect of microalgae and silicon was particularly beneficial under stress conditions. A wide array of chemicals has been identified in seaweed extracts; these include polysaccharides, phenolics, fatty acids, vitamins, osmolytes, phytohormones, and hormone-like compounds involved in the plant-signaling response to abiotic stress [2]. In Spirulina spp., carbohydrates may account for up to 46% of the DW extract [2], and these molecules can play an important role in osmotic adjustment [26]. In this sense, the major role played by sugars in stress mitigation involves osmoprotection, carbon storage, and ROS scavenging [29]. Amino acids can also contribute to mitigating the damage caused by abiotic stress [5]. Furthermore, the application of Si has been shown to alleviate the negative effects of numerous abiotic stresses, including salt. Several potential mechanisms associated with stress alleviation in higher plants have been identified: increased structural reinforcement, an altered photosynthetic rate, changes in stomatal conductance, and enhanced water use efficiency [28]. Other possible mechanisms may also include osmotic adjustments through increased water potential and water content, reductions in oxidative stress, alterations in mineral uptake, and accumulation and alterations in phytohormone concentrations [28].
Notably, all the essential minerals (about 7%) are available in Spirulina, including potassium, calcium, chromium copper, iron, magnesium, manganese, phosphorus, selenium, sodium, and zinc [6]. The nutrient analysis of Arthrospira spp. dry biomass revealed that it contained 6.70%, 2.47%, and 1.14% (on a dry basis) of N, P, and K, respectively, whereas the microalgae’s calcium (Ca) content was lower, relative to the other minerals [5]. In contrast to the results of other authors, no clear effect on nutrient concentration in the leaves was found after applying only the microalgae. The joint application of the microalgae and Si increased the P and Ca concentrations in the leaves in the treatment with an EC of 3.0 dS m−1, whereas it increased the Cl and Na concentrations in the EC 3.5 dS m−1 treatment. Conversely, the authors of [30] observed that applying silicon significantly decreased the Na+ concentration in the leaves while increasing the K+ concentration, compared with no saline treatment. In accordance with our results, it was found that the nitrogen, potassium, magnesium and sulfur contents were not affected by applying Arthrospira to Petunia x hybrida [16].

5. Conclusions

The Pelargonium hortorum L.H. Bailey plant can be considered moderately tolerant to salinity. The mechanisms that confer salinity tolerance to Pelargonium are its ability to avoid Cl uptake and its moderate tolerance to high internal Na+. Our results show that the joint application of Arthrospira platensis and silicon improves the FDW and the number of flowers in treatments with an EC of 3.0 dS m−1, while improving the LDW, RDW, IDW and TDW, and the number of flowers, shoots, and leaves in treatments with an EC of 3.5 dS m−1. The foliar application of Arthrospira platensis and Si mitigates the negative effect of NaCl on Pelargonium hortorum L.H. Bailey crops at an EC of 3.5 dS m−1. Combined applications of microalgae and silicon can improve plant growth and yield by stimulating vegetative growth and promoting plant flowering. This strategy can be an alternative to using chemicals in agriculture.

Author Contributions

Conceptualization, S.J.-B. and E.R.; Methodology: S.J.-B. and C.G.-L.; Formal Analysis, S.T.-R. and C.G.-L.; Research, S.T.-R.; Resources, C.G.-L. and E.R.; Data Curation, S.T.-R. and S.J.-B.; Writing—Original Draft Preparation, S.T.-R. and S.J.-B.; Writing—Review and Editing, S.J.-B.; Visualization, C.G.-L. and E.R.; Supervision, S.J.-B., C.G.-L. and E.R. All authors have read and agreed to the published version of the manuscript.

Funding

This research received no external funding.

Acknowledgments

This work forms part of the SABANA Project of the European Unions’ Horizon 2020 Research and Innovation Program (Grant Agreement 727874) and the AL4BIO Project, funded by the Spanish Ministry of Science, Innovation, and Universities (RTI2018-099495-A-C22).

Conflicts of Interest

The authors declare that they have no competing financial or personal interests that might have influenced the work reported in this manuscript.

References

  1. Elarroussi, H.; Elmernissi, N.; Benhima, R.; Meftah, E.L.; Kadmiri, I.; Bendaou, N.; Smouni, A.; Wahby, I. Microalgae polysaccharides a promising plant growth biostimulant. J. Algal. Biomass Utln. 2016, 7, 55–63. [Google Scholar]
  2. Chiaiese, P.; Corrado, G.; Colla, G.; Kyriacou, M.C. Biostimulation: Microalgae as a sustainable means to improve crop performance. Front. Plant Sci. 2018, 9, 1782. [Google Scholar] [CrossRef] [PubMed]
  3. Mutale-joan, C.; Redouane, B.; Najib, E.; Yassine, K.; Lyamlouli, K.; Laila, S.; Zeroual, Y.; El Hicharm, A. Screening of microalgae liquid extracts for their Bio stimulant properties on plant growth, nutrient uptake and metabolite profile of Solanum Lycopersicum L. Sci. Rep. 2020, 10, 2820. [Google Scholar] [CrossRef] [PubMed]
  4. European Biostimulants Industry Council. 2020. Available online: http://www.biostimulants.eu/ (accessed on 1 May 2020).
  5. Ronga, D.; Biazzi, E.; Parati, K.; Carminati, D.; Carminati, E.; Tava, A. Microalgal biostimulants and biofertilisers in crop production. Agronomy 2019, 9, 192. [Google Scholar] [CrossRef]
  6. Kim, S. Handbook of Marine Microalgae: Biotechnology Advances; Academic Press: Cambridge, MA, USA, 2015. [Google Scholar]
  7. Colla, G.; Rouphael, Y.; Lucini, L.; Canaguier, R.; Stefanoni, W.; Fiorillo, A.; Cardarelli, M. Protein hydrolysate-based biostimulants: Origin, biological activity and application methods. Acta Hort. 2016, 1148, 27–34. [Google Scholar] [CrossRef]
  8. Tiburcio, A.F.; Altabella, T.; Bitrián, M.; Alcázar, R. The roles of polyamines during the lifespan of plants: From development to stress. Planta 2014, 240, 1–18. [Google Scholar] [CrossRef] [PubMed]
  9. Plaza, B.M.; Gómez-Serrano, C.; Acién-Fernández, F.G.; Jiménez-Becker, S. Effect of microalgae hydrolysate foliar application (Arthrospira platensis and Scenedesmus sp.) on Petunia x hybrida growth. J. Appl. Phycol. 2018. [Google Scholar] [CrossRef]
  10. Marschner, H. Marschner’s Mineral Nutrition of Higher Plants, 3rd ed.; Academic Press: London, UK, 2012. [Google Scholar]
  11. Datnoff, L.E.; Snyder, G.H.; Korndörfer, G.H. Silicon in Agriculture. In Studies in Plant Science 8; Elsevier Science: Amsterdam, The Netherlands, 2001. [Google Scholar]
  12. Boldt, K.J.; Locke, J.C.; Altland, J. Silicon accumulation and distribution in Petunia and Sunflower grown in a rice Hull-amended substrate. HortScience 2018, 53, 698–703. [Google Scholar] [CrossRef]
  13. Artyszak, A. Effect of silicon fertilization on crop yield quantity and quality- a literature review in Europe. Plants 2018, 7, 54. [Google Scholar] [CrossRef]
  14. Mieszkalska, K.; Lukaszewska, A. Effect of the silicon and phosphorus containing fertilizer on geranium (Pelargonium hortorum L.H. Bailey) response to water stress. Acta Sci. Pol. Hortorum Cultus 2011, 10, 113–121. [Google Scholar]
  15. Kamenidou, S.; Cavins, T.J.; Marek, S. Silicon supplements affect horticultural traits of greenhouse-produced ornamental sunflowers. HortScience 2008, 43, 236–239. [Google Scholar] [CrossRef]
  16. Roshdy, K.H.A. Effect of spraying silicon and seaweed extract on growth and fruiting of grandnaine banana. Egypt. J. Agric. Res. 2014, 92, 979–991. [Google Scholar]
  17. Jimenez, S.; Lao, M.T. Influence of nitrogen form on the quality of Dieffenbachia amoena “Tropic Snow”. HortScience 2005, 40, 386–390. [Google Scholar] [CrossRef]
  18. Hogue, E.; Wilcow, G.E.; Cantliffe, D.J. Effect of soil phosphorous levels on phosphate fraction in tomato leaves. J. Am. Soc. Hortic. Sci. 1970, 95, 174–176. [Google Scholar]
  19. Krom, M.D. Spectrophotometric determination of ammonia: A study of a modified berthelot reaction using salicylate and dichloroisocyanurate. Analyst 1980, 105, 305–316. [Google Scholar] [CrossRef]
  20. Niu, G.; Rodriguez, D.S.; Starman, T. Response of bedding plant to saline water irrigation. Hortscience 2010, 45, 628–636. [Google Scholar] [CrossRef]
  21. Gonzalo, H.; Neil, S. Assessing tolerance to sodium chloride salinity in fourteen floriculture species. Hortechnology 2011, 21, 539–545. [Google Scholar]
  22. García-Caparros, P.; Llanderal, A.; Pestana, M.; Correia, P.J.; Lao, M.T. Tolerance mechanisms of three potted ornamental plants grown under moderate salinity. Sci. Hortic. 2016, 201, 84–91. [Google Scholar] [CrossRef]
  23. Brés, W.; Bandurska, H.; Kupska, A.; Niedziela, J.; Fraszczak, B. Responses of pelargonium (Pelargonium x hortorum L.H. Bailey) to long-term salinity stress induced by treatment with different NaCl doses. Acta Physiol. Plant 2016, 38, 1–11. [Google Scholar] [CrossRef]
  24. Niu, G.; Sun, Y. Salt tolerance in roses-a review. Acta Hortic. 2019, 1232, 143–150. [Google Scholar] [CrossRef]
  25. Grieve, C.M.; Grattan, S.R.; Maas, E.V. Plant salt tolerance. In ASCE Manual and Reports on Engineering Practice No. 71 Agricultural Salinity Assessment and Management; Wallander, W.W., Tanji, K.K., Eds.; ASCE: Reston, VA, USA, 2012; Volume 13, pp. 405–459. [Google Scholar]
  26. Jiménez-Becker, S.; Ramírez, M.; Plaza, B. The influence of salinity on the vegetative growth, osmolytes and chloride concentration of four halophytic species. J. Plant Nutr. 2019, 42, 15. [Google Scholar] [CrossRef]
  27. Bayona-Morcillo, P.J.; Plaza, B.M.; Gómez-Serrano, C.; Rojas, E.; Jiménez-Becker, S. Effect of the foliar application of cyanobacterial hydrolysate (Arthrospira platensis) on the growth of Petunia x hybrida under salinity conditions. J. Appl. Phycol. 2020. [Google Scholar] [CrossRef]
  28. Frew, A.; Weston, L.A.; Reynolds, O.L.; Gurr, G.M. The role of silicon in plant biology: A paradigm shift in research approach. Ann. Bot. 2018, 121, 1265–1273. [Google Scholar] [CrossRef]
  29. Gupta, B.; Huang, B. Mechanism of salinity tolerance in plants: Physiological, biochemical and molecular characterization. Int. J. Genom. 2014, 19, 701596. [Google Scholar] [CrossRef]
  30. Wang, S.; Liu, P.; Chen, D.; Yin, L.; Li, H.; Deng, X. Silicon enhanced salt tolerance by improving the root water uptake and decreasing the ion toxicity in cucumber. Front. Plant Sci. 2015, 9, 759. [Google Scholar] [CrossRef]
Figure 1. Schematic diagram of the treatments performed. C—foliar application with water; A—foliar application with Arthrospira platensis; Si—foliar application with silicon; ASi—foliar application with Arthrospira platensis and silicon; 2—fertigation at EC 2.0 dS m−1; 3—fertigation at EC 3.0 dS m−1; 3.5—fertigation at EC 3.5 dS m−1.
Figure 1. Schematic diagram of the treatments performed. C—foliar application with water; A—foliar application with Arthrospira platensis; Si—foliar application with silicon; ASi—foliar application with Arthrospira platensis and silicon; 2—fertigation at EC 2.0 dS m−1; 3—fertigation at EC 3.0 dS m−1; 3.5—fertigation at EC 3.5 dS m−1.
Agronomy 10 01713 g001
Figure 2. Pelargonium hortorum plants cultivated in the greenhouse, under the different treatments tested.
Figure 2. Pelargonium hortorum plants cultivated in the greenhouse, under the different treatments tested.
Agronomy 10 01713 g002
Figure 3. pH (A) and EC (B) of the leachate collated during the day after transplanting for the C2 (fertigation EC 2.0 dS m−1), C3.0 (fertigation EC 3.0 dS m−1), and C3.5 (fertigation EC 3.5 dS m−1) treatments.
Figure 3. pH (A) and EC (B) of the leachate collated during the day after transplanting for the C2 (fertigation EC 2.0 dS m−1), C3.0 (fertigation EC 3.0 dS m−1), and C3.5 (fertigation EC 3.5 dS m−1) treatments.
Agronomy 10 01713 g003
Figure 4. Water uptake during the day after transplanting for the C2 (fertigation EC 2.0 dS m−1), C3.0 (fertigation EC 3.0 dS m−1), and C3.5 (fertigation EC 3.5 dS m−1) treatments.
Figure 4. Water uptake during the day after transplanting for the C2 (fertigation EC 2.0 dS m−1), C3.0 (fertigation EC 3.0 dS m−1), and C3.5 (fertigation EC 3.5 dS m−1) treatments.
Agronomy 10 01713 g004
Figure 5. LDW (A) and SDW (B) (g) at the end of the trial for the C2 (foliar application with water and fertigation EC 2.0 dS m1), A2 (foliar application with Arthrospira platensis and fertigation EC 2.0 dS m−1), Si2 (foliar application with Si and fertigation EC 2.0 dS m−1), ASi2 (foliar application with Arthrospira platensis and Si, and fertigation EC 2.0 dS m−1), C3.0 (foliar application with water and fertigation EC 3.0 dS m1), A3.0 (foliar application with Arthrospira platensis and fertigation EC 3.0 dS m−1), Si3 (foliar application with Si and fertigation EC 3.0 dS m−1), ASi3 (foliar application with Si and Arthrospira platensis, and fertigation EC 3.0 dS m−1) treatments; C3.5 (foliar application with water and fertigation EC 3.5 dS m−1), A3.5 (foliar application with Arthrospira platensis and fertigation EC 3.5 dS m−1), Si3.5 (foliar application with Si and fertigation EC 3.5 dS m−1), and ASi3.5 (foliar application with Si and Arthrospira platensis, and fertigation EC 3.5 dS m−1) treatments. Different letters indicate significant differences between treatments at the p < 0.05 level using the LSD test. Values are the means of 12 plants. Error bars show standard deviations.
Figure 5. LDW (A) and SDW (B) (g) at the end of the trial for the C2 (foliar application with water and fertigation EC 2.0 dS m1), A2 (foliar application with Arthrospira platensis and fertigation EC 2.0 dS m−1), Si2 (foliar application with Si and fertigation EC 2.0 dS m−1), ASi2 (foliar application with Arthrospira platensis and Si, and fertigation EC 2.0 dS m−1), C3.0 (foliar application with water and fertigation EC 3.0 dS m1), A3.0 (foliar application with Arthrospira platensis and fertigation EC 3.0 dS m−1), Si3 (foliar application with Si and fertigation EC 3.0 dS m−1), ASi3 (foliar application with Si and Arthrospira platensis, and fertigation EC 3.0 dS m−1) treatments; C3.5 (foliar application with water and fertigation EC 3.5 dS m−1), A3.5 (foliar application with Arthrospira platensis and fertigation EC 3.5 dS m−1), Si3.5 (foliar application with Si and fertigation EC 3.5 dS m−1), and ASi3.5 (foliar application with Si and Arthrospira platensis, and fertigation EC 3.5 dS m−1) treatments. Different letters indicate significant differences between treatments at the p < 0.05 level using the LSD test. Values are the means of 12 plants. Error bars show standard deviations.
Agronomy 10 01713 g005
Figure 6. RDW (A) and IDW (B) (g) at the end of the trial for the C2 (foliar application with water and fertigation EC 2.0 dS m−1), A2 (foliar application with Arthrospira platensis and fertigation EC 2.0 dS m−1), Si2 (foliar application with Si and fertigation EC 2.0 dS m−1), ASi2 (foliar application with Arthrospira platensis and Si, and fertigation EC 2.0 dS m−1), C3.0 (foliar application with water and fertigation EC 3.0 dS m−1), A3.0 (foliar application with Arthrospira platensis and fertigation EC 3.0 dS m−1), Si3 (foliar application with Si and fertigation EC 3.0 dS m−1), ASi3 (foliar application with Si and Arthrospira platensis, and fertigation EC 3.0 dS m−1) treatments; C3.5 (foliar application with water and fertigation EC 3.5 dS m−1), A3.5 (foliar application with Arthrospira platensis and fertigation EC 3.5 dS m−1), Si3.5 (foliar application with Si and fertigation EC 3.5 dS m−1), and ASi3.5 (foliar application with Si and Arthrospira platensis, and fertigation EC 3.5 dS m−1) treatments. Different letters indicate significant differences between treatments at the p < 0.05 level using the LSD test. Values are the means of 12 plants. Error bars show standard deviations.
Figure 6. RDW (A) and IDW (B) (g) at the end of the trial for the C2 (foliar application with water and fertigation EC 2.0 dS m−1), A2 (foliar application with Arthrospira platensis and fertigation EC 2.0 dS m−1), Si2 (foliar application with Si and fertigation EC 2.0 dS m−1), ASi2 (foliar application with Arthrospira platensis and Si, and fertigation EC 2.0 dS m−1), C3.0 (foliar application with water and fertigation EC 3.0 dS m−1), A3.0 (foliar application with Arthrospira platensis and fertigation EC 3.0 dS m−1), Si3 (foliar application with Si and fertigation EC 3.0 dS m−1), ASi3 (foliar application with Si and Arthrospira platensis, and fertigation EC 3.0 dS m−1) treatments; C3.5 (foliar application with water and fertigation EC 3.5 dS m−1), A3.5 (foliar application with Arthrospira platensis and fertigation EC 3.5 dS m−1), Si3.5 (foliar application with Si and fertigation EC 3.5 dS m−1), and ASi3.5 (foliar application with Si and Arthrospira platensis, and fertigation EC 3.5 dS m−1) treatments. Different letters indicate significant differences between treatments at the p < 0.05 level using the LSD test. Values are the means of 12 plants. Error bars show standard deviations.
Agronomy 10 01713 g006
Figure 7. TDW (g) at the end of the trial for the C2 (foliar application with water and fertigation EC 2.0 dS m−1), A2 (foliar application with Arthrospira platensis and fertigation EC 2.0 dS m−1), Si2 (foliar application with Si and fertigation EC 2.0 dS m−1), ASi2 (foliar application with Arthrospira platensis and Si, and fertigation EC 2.0 dS m−1), C3.0 (foliar application with water and fertigation EC 3.0 dS m−1), A3.0 (foliar application with Arthrospira platensis and fertigation EC 3.0 dS m−1), Si3 (foliar application with Si and fertigation EC 3.0 dS m−1), ASi3 (foliar application with Si and Arthrospira platensis, and fertigation EC 3.0 dS m−1) treatments; C3.5 (foliar application with water and fertigation EC 3.5 dS m−1), A3.5 (foliar application with Arthrospira platensis and fertigation EC 3.5 dS m−1), Si3.5 (foliar application with Si and fertigation EC 3.5 dS m−1), and ASi3.5 (foliar application with Si and Arthrospira platensis, and fertigation EC 3.5 dS m−1) treatments. Different letters indicate significant differences between treatments at the p < 0.05 level using the LSD test. Values are the means of 12 plants. Error bars show standard deviations.
Figure 7. TDW (g) at the end of the trial for the C2 (foliar application with water and fertigation EC 2.0 dS m−1), A2 (foliar application with Arthrospira platensis and fertigation EC 2.0 dS m−1), Si2 (foliar application with Si and fertigation EC 2.0 dS m−1), ASi2 (foliar application with Arthrospira platensis and Si, and fertigation EC 2.0 dS m−1), C3.0 (foliar application with water and fertigation EC 3.0 dS m−1), A3.0 (foliar application with Arthrospira platensis and fertigation EC 3.0 dS m−1), Si3 (foliar application with Si and fertigation EC 3.0 dS m−1), ASi3 (foliar application with Si and Arthrospira platensis, and fertigation EC 3.0 dS m−1) treatments; C3.5 (foliar application with water and fertigation EC 3.5 dS m−1), A3.5 (foliar application with Arthrospira platensis and fertigation EC 3.5 dS m−1), Si3.5 (foliar application with Si and fertigation EC 3.5 dS m−1), and ASi3.5 (foliar application with Si and Arthrospira platensis, and fertigation EC 3.5 dS m−1) treatments. Different letters indicate significant differences between treatments at the p < 0.05 level using the LSD test. Values are the means of 12 plants. Error bars show standard deviations.
Agronomy 10 01713 g007
Figure 8. Shoot number (A) and leaf number (B) at the end of the trial for the C2 (foliar application with water and fertigation EC 2.0 dS m−1), A2 (foliar application with Arthrospira platensis and fertigation EC 2.0 dS m−1), Si2 (foliar application with Si and fertigation EC 2.0 dS m−1), ASi2 (foliar application with Arthrospira platensis and Si, and fertigation EC 2.0 dS m−1), C3.0 (foliar application with water and fertigation EC 3.0 dS m−1), A3.0 (foliar application with Arthrospira platensis and fertigation EC 3.0 dS m−1), Si3 (foliar application with Si and fertigation EC 3.0 dS m−1), ASi3 (foliar application with Si and Arthrospira platensis, and fertigation EC 3.0 dS m−1) treatments; C3.5 (foliar application with water and fertigation EC 3.5 dS m−1), A3.5 (foliar application with Arthrospira platensis and fertigation EC 3.5 dS m−1), Si3.5 (foliar application with Si and fertigation EC 3.5 dS m−1), and ASi3.5 (foliar application with Si and Arthrospira platensis, and fertigation EC 3.5 dS m−1) treatments. Different letters indicate significant differences between treatments at the p < 0.05 level using the LSD test. Values are the means of 12 plants. Error bars show standard deviations.
Figure 8. Shoot number (A) and leaf number (B) at the end of the trial for the C2 (foliar application with water and fertigation EC 2.0 dS m−1), A2 (foliar application with Arthrospira platensis and fertigation EC 2.0 dS m−1), Si2 (foliar application with Si and fertigation EC 2.0 dS m−1), ASi2 (foliar application with Arthrospira platensis and Si, and fertigation EC 2.0 dS m−1), C3.0 (foliar application with water and fertigation EC 3.0 dS m−1), A3.0 (foliar application with Arthrospira platensis and fertigation EC 3.0 dS m−1), Si3 (foliar application with Si and fertigation EC 3.0 dS m−1), ASi3 (foliar application with Si and Arthrospira platensis, and fertigation EC 3.0 dS m−1) treatments; C3.5 (foliar application with water and fertigation EC 3.5 dS m−1), A3.5 (foliar application with Arthrospira platensis and fertigation EC 3.5 dS m−1), Si3.5 (foliar application with Si and fertigation EC 3.5 dS m−1), and ASi3.5 (foliar application with Si and Arthrospira platensis, and fertigation EC 3.5 dS m−1) treatments. Different letters indicate significant differences between treatments at the p < 0.05 level using the LSD test. Values are the means of 12 plants. Error bars show standard deviations.
Agronomy 10 01713 g008
Figure 9. Flower number (A) and internode length (B) at the end of the trial for the C2 (foliar application with water and fertigation EC 2.0 dS m−1), A2 (foliar application with Arthrospira platensis and fertigation EC 2.0 dS m−1), Si2 (foliar application with Si and fertigation EC 2.0 dS m−1), ASi2 (foliar application with Arthrospira platensis and Si, and fertigation EC 2.0 dS m−1), C3.0 (foliar application with water and fertigation EC 3.0 dS m−1), A3.0 (foliar application with Arthrospira platensis and fertigation EC 3.0 dS m−1), Si3 (foliar application with Si and fertigation EC 3.0 dS m−1), ASi3 (foliar application with Si and Arthrospira platensis, and fertigation EC 3.0 dS m−1) treatments; C3.5 (foliar application with water and fertigation EC 3.5 dS m−1), A3.5 (foliar application with Arthrospira platensis and fertigation EC 3.5 dS m−1), Si3.5 (foliar application with Si and fertigation EC 3.5 dS m−1), and ASi3.5 (foliar application with Si and Arthrospira platensis, and fertigation EC 3.5 dS m−1) treatments. Different letters indicate significant differences between treatments at the p < 0.05 level using the LSD test. Values are the means of 12 plants. Error bars show standard deviations.
Figure 9. Flower number (A) and internode length (B) at the end of the trial for the C2 (foliar application with water and fertigation EC 2.0 dS m−1), A2 (foliar application with Arthrospira platensis and fertigation EC 2.0 dS m−1), Si2 (foliar application with Si and fertigation EC 2.0 dS m−1), ASi2 (foliar application with Arthrospira platensis and Si, and fertigation EC 2.0 dS m−1), C3.0 (foliar application with water and fertigation EC 3.0 dS m−1), A3.0 (foliar application with Arthrospira platensis and fertigation EC 3.0 dS m−1), Si3 (foliar application with Si and fertigation EC 3.0 dS m−1), ASi3 (foliar application with Si and Arthrospira platensis, and fertigation EC 3.0 dS m−1) treatments; C3.5 (foliar application with water and fertigation EC 3.5 dS m−1), A3.5 (foliar application with Arthrospira platensis and fertigation EC 3.5 dS m−1), Si3.5 (foliar application with Si and fertigation EC 3.5 dS m−1), and ASi3.5 (foliar application with Si and Arthrospira platensis, and fertigation EC 3.5 dS m−1) treatments. Different letters indicate significant differences between treatments at the p < 0.05 level using the LSD test. Values are the means of 12 plants. Error bars show standard deviations.
Agronomy 10 01713 g009
Figure 10. Leaf area at the end of the trial for the C2 (foliar application with water and fertigation EC 2.0 dS m−1), A2 (foliar application with Arthrospira platensis and fertigation EC 2.0 dS m−1), Si2 (foliar application with Si and fertigation EC 2.0 dS m−1), ASi2 (foliar application with Arthrospira platensis and Si and fertigation EC 2.0 dS m−1), C3.0 (foliar application with water and fertigation EC 3.0 dS m−1), A3.0 (foliar application with Arthrospira platensis and fertigation EC 3.0 dS m−1), Si3 (foliar application with Si and fertigation EC 3.0 dS m−1), ASi3 (foliar application with Si and Arthrospira platensis, and fertigation EC 3.0 dS m−1) treatments; C3.5 (foliar application with water and fertigation EC 3.5 dS m−1), A3.5 (foliar application with Arthrospira platensis and fertigation EC 3.5 dS m−1), Si3.5 (foliar application with Si and fertigation EC 3.5 dS m−1), and ASi3.5 (foliar application with Si and Arthrospira platensis, and fertigation EC 3.5 dS m−1) treatments. Different letters indicate significant differences between treatments at the p < 0.05 level using the LSD test. Values are the means of 12 plants. Error bars show standard deviations.
Figure 10. Leaf area at the end of the trial for the C2 (foliar application with water and fertigation EC 2.0 dS m−1), A2 (foliar application with Arthrospira platensis and fertigation EC 2.0 dS m−1), Si2 (foliar application with Si and fertigation EC 2.0 dS m−1), ASi2 (foliar application with Arthrospira platensis and Si and fertigation EC 2.0 dS m−1), C3.0 (foliar application with water and fertigation EC 3.0 dS m−1), A3.0 (foliar application with Arthrospira platensis and fertigation EC 3.0 dS m−1), Si3 (foliar application with Si and fertigation EC 3.0 dS m−1), ASi3 (foliar application with Si and Arthrospira platensis, and fertigation EC 3.0 dS m−1) treatments; C3.5 (foliar application with water and fertigation EC 3.5 dS m−1), A3.5 (foliar application with Arthrospira platensis and fertigation EC 3.5 dS m−1), Si3.5 (foliar application with Si and fertigation EC 3.5 dS m−1), and ASi3.5 (foliar application with Si and Arthrospira platensis, and fertigation EC 3.5 dS m−1) treatments. Different letters indicate significant differences between treatments at the p < 0.05 level using the LSD test. Values are the means of 12 plants. Error bars show standard deviations.
Agronomy 10 01713 g010
Figure 11. N, P, S, and Cl (A) and K, Ca, Mg, and Na (B) concentrations in the leaves (%) for the C2 (foliar application with water and fertigation EC 2.0 dS m−1), A2 (foliar application with Arthrospira platensis and fertigation EC 2.0 dS m−1), Si2 (foliar application with Si and fertigation EC 2.0 dS m−1), ASi2 (foliar application with Arthrospira platensis and Si, and fertigation EC 2.0 dS m−1), C3.0 (foliar application with water and fertigation EC 3.0 dS m−1), A3.0 (foliar application with Arthrospira platensis and fertigation EC 3.0 dS m−1), Si3 (foliar application with Si and fertigation EC 3.0 dS m−1), ASi3 (foliar application with Si and Arthrospira platensis, and fertigation EC 3.0 dS m−1) treatments; C3.5 (foliar application with water and fertigation EC 3.5 dS m−1), A3.5 (foliar application with Arthrospira platensis and fertigation EC 3.5 dS m−1), Si3.5 (foliar application with Si and fertigation EC 3.5 dS m−1), and ASi3.5 (foliar application with Si and Arthrospira platensis, and fertigation EC 3.5 dS m−1) treatments. Different letters indicate significant differences between treatments at the p < 0.05 level using the LSD test. Values are the means of 12 plants. Error bars show standard deviations.
Figure 11. N, P, S, and Cl (A) and K, Ca, Mg, and Na (B) concentrations in the leaves (%) for the C2 (foliar application with water and fertigation EC 2.0 dS m−1), A2 (foliar application with Arthrospira platensis and fertigation EC 2.0 dS m−1), Si2 (foliar application with Si and fertigation EC 2.0 dS m−1), ASi2 (foliar application with Arthrospira platensis and Si, and fertigation EC 2.0 dS m−1), C3.0 (foliar application with water and fertigation EC 3.0 dS m−1), A3.0 (foliar application with Arthrospira platensis and fertigation EC 3.0 dS m−1), Si3 (foliar application with Si and fertigation EC 3.0 dS m−1), ASi3 (foliar application with Si and Arthrospira platensis, and fertigation EC 3.0 dS m−1) treatments; C3.5 (foliar application with water and fertigation EC 3.5 dS m−1), A3.5 (foliar application with Arthrospira platensis and fertigation EC 3.5 dS m−1), Si3.5 (foliar application with Si and fertigation EC 3.5 dS m−1), and ASi3.5 (foliar application with Si and Arthrospira platensis, and fertigation EC 3.5 dS m−1) treatments. Different letters indicate significant differences between treatments at the p < 0.05 level using the LSD test. Values are the means of 12 plants. Error bars show standard deviations.
Agronomy 10 01713 g011
Table 1. DW (g) of S, R, L, I and T at the end of the trial for the C2 (fertigation EC 2.0 dS m−1), C3.0 (fertigation EC 3.0 dS m−1), and C3.5 (fertigation EC 3.5 dS m−1) treatments. Different letters indicate significant differences between treatments at the p < 0.05 level using the LSD test. Values are the means of 12 plants.
Table 1. DW (g) of S, R, L, I and T at the end of the trial for the C2 (fertigation EC 2.0 dS m−1), C3.0 (fertigation EC 3.0 dS m−1), and C3.5 (fertigation EC 3.5 dS m−1) treatments. Different letters indicate significant differences between treatments at the p < 0.05 level using the LSD test. Values are the means of 12 plants.
SDWRDWLDWIDW TDW
C21.46 ± 0.010.30 ± 0.02 a1.85 ± 0.120.48 ± 0.064.62 ± 0.21
C31.52 ± 0.060.24 ± 0.01 b2.04 ± 0.090.32 ± 0.054.14 ± 0.17
C3.51.50 ± 0.090.27 ± 0.02 b1.97 ± 0.150.49 ± 0.104.47 ± 0.25
Table 2. Leaf area, internode length, leaf, shoot, and flower numbers and width, and leaf length for the C2 (fertigation EC 2.0 dS m−1), C3.0 (fertigation EC 3.0 dS m−1), and C3.5 (fertigation EC 3.5 dS m−1) treatments. Different letters indicate significant differences between treatments at the p < 0.05 level using the LSD test. Values are the means of 12 plants.
Table 2. Leaf area, internode length, leaf, shoot, and flower numbers and width, and leaf length for the C2 (fertigation EC 2.0 dS m−1), C3.0 (fertigation EC 3.0 dS m−1), and C3.5 (fertigation EC 3.5 dS m−1) treatments. Different letters indicate significant differences between treatments at the p < 0.05 level using the LSD test. Values are the means of 12 plants.
Leaf Area Leaf Number Internode Lenght Soot Number Flower Number Width Leaf Length Leaf
C2680 ± 34 b16.42 ± 0.89 b21.3 ± 1.420.83 ± 0.1915.1 ± 2.2412.52 ± 1.3811.14 ± 1.49
C3855 ± 33 a19.72 ± 0.80 a18.97 ± 1.111.16 ± 0.199.16 ± 1.7312.48 ± 0.5211.33 ± 0.46
C3.5761 ± 37 b16.00 ± 1.04 b19.75 ± 1.110.81 ± 0.1815.45 ± 1.6412.33 ± 1.1511.11 ± 1.03
Table 3. N, P, S, Cl, K, Ca, Mg and Na concentration in the leaves at the end of the trial for the C2 (fertigation EC 2.0 dS m−1), C3.0 (fertigation EC 3.0 dS m−1), and C3.5 (fertigation EC 3.5 dS m−1) treatments. Different letters indicate significant differences between treatments at the p < 0.05 level using the LSD test. Values are the means of 12 plants.
Table 3. N, P, S, Cl, K, Ca, Mg and Na concentration in the leaves at the end of the trial for the C2 (fertigation EC 2.0 dS m−1), C3.0 (fertigation EC 3.0 dS m−1), and C3.5 (fertigation EC 3.5 dS m−1) treatments. Different letters indicate significant differences between treatments at the p < 0.05 level using the LSD test. Values are the means of 12 plants.
N (%) P (%)S (%)Cl (%)K (%)Ca (%)Mg (%)Na (%)
C23.72 ± 0.20.25 ± 0.010.11 ± 0.010.88 ± 0.111.59 ± 0.19 a0.75 ± 0.070.09 ± 0.010.47 ± 0.04 b
C33.82 ± 0.30.23 ± 0.010.11 ± 0.000.91 ± 0.031.55 ± 0.09 a0.71 ± 0.010.09 ± 0.020.53 ± 0.02 ab
C3.53.65 ± 0.250.23 ± 0.010.11 ± 0.001.02 ± 0.031.26 ± 0.10 b0.78 ± 0.010.07 ± 0.010.59 ± 0.03 a
Publisher’s Note: MDPI stays neutral with regard to jurisdictional claims in published maps and institutional affiliations.

Share and Cite

MDPI and ACS Style

Tejada-Ruiz, S.; Gonzalez-Lopez, C.; Rojas, E.; Jiménez-Becker, S. Effect of the Foliar Application of Microalgae Hydrolysate (Arthrospira platensis) and Silicon on the Growth of Pelargonium hortorum L.H. Bailey under Salinity Conditions. Agronomy 2020, 10, 1713. https://doi.org/10.3390/agronomy10111713

AMA Style

Tejada-Ruiz S, Gonzalez-Lopez C, Rojas E, Jiménez-Becker S. Effect of the Foliar Application of Microalgae Hydrolysate (Arthrospira platensis) and Silicon on the Growth of Pelargonium hortorum L.H. Bailey under Salinity Conditions. Agronomy. 2020; 10(11):1713. https://doi.org/10.3390/agronomy10111713

Chicago/Turabian Style

Tejada-Ruiz, Salvador, Cynthia Gonzalez-Lopez, Elisa Rojas, and Silvia Jiménez-Becker. 2020. "Effect of the Foliar Application of Microalgae Hydrolysate (Arthrospira platensis) and Silicon on the Growth of Pelargonium hortorum L.H. Bailey under Salinity Conditions" Agronomy 10, no. 11: 1713. https://doi.org/10.3390/agronomy10111713

APA Style

Tejada-Ruiz, S., Gonzalez-Lopez, C., Rojas, E., & Jiménez-Becker, S. (2020). Effect of the Foliar Application of Microalgae Hydrolysate (Arthrospira platensis) and Silicon on the Growth of Pelargonium hortorum L.H. Bailey under Salinity Conditions. Agronomy, 10(11), 1713. https://doi.org/10.3390/agronomy10111713

Note that from the first issue of 2016, this journal uses article numbers instead of page numbers. See further details here.

Article Metrics

Back to TopTop