Yield Performance and Response to High Plant Densities of Dry Bean (Phaseolus vulgaris L.) Cultivars under Semi-Arid Conditions
Abstract
1. Introduction
2. Materials and Methods
2.1. Study Area
2.2. Cultivars
2.3. Crop Culture and Precipitation Conditions
2.4. Field Measurements
2.5. Yield and Yield Components
2.5.1. Leaf Area Index
2.5.2. Number of Pods, Hundred Seed Weight and Yield
2.6. Response to High Plant Densities
2.6.1. Dry Matter Distribution
2.6.2. Growth Rate, Radiation Use Efficiency and Harvest Index
2.7. Statistical Analysis
3. Results and Discussion
3.1. Precipitation during the Growing Seasons
3.2. Yield Components
3.2.1. Leaf Area Index
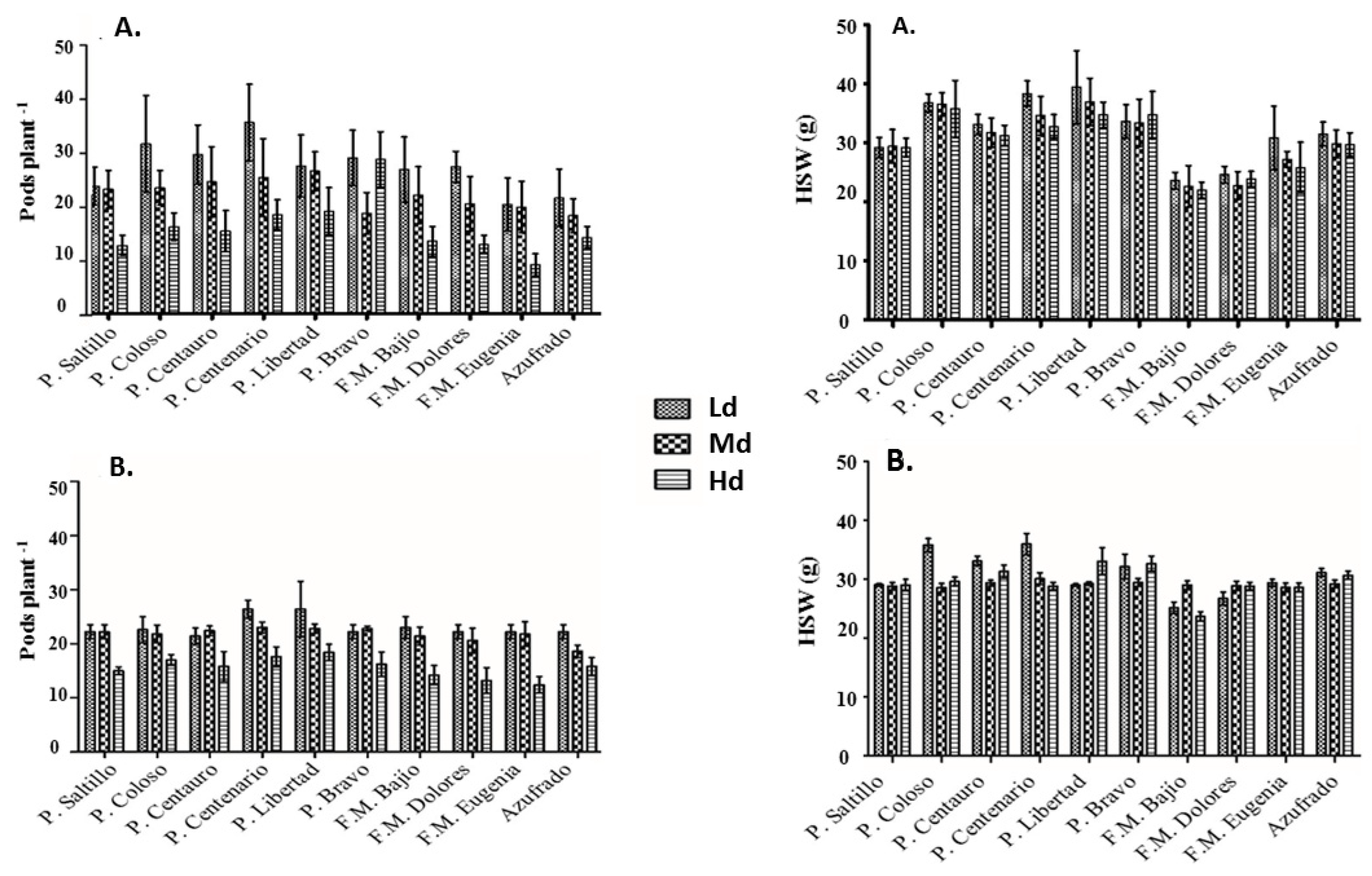
3.2.2. Pods Per Plant and Hundred Seed Weight
3.2.3. Yield
3.3. Response of Best Performing Cultivars to High Plant Densities
3.3.1. Dry Matter Distribution
3.3.2. Growth Curve and Rate
3.3.3. Radiation Use Efficiency
3.3.4. Harvest Index
4. Conclusions
Author Contributions
Funding
Acknowledgments
Conflicts of Interest
References
- Polania, J.A.; Poschenrieder, C.; Beebe, S.; Rao, I.M. Effective use of water and increased dry matter partitioned to grain contribute to yield of common bean improved for drought resistance. Front. Plant Sci. 2016, 7, 600. [Google Scholar] [CrossRef] [PubMed]
- Gereziher, T.; Seid, E.; Bisrat, G. Performance evaluation of common bean (Phaseolus vulgaris L.) varieties in Raya Valley, Northern Ethiopia. Afr. J. Plant Sci. 2017, 11, 1–5. [Google Scholar]
- Berny Mier y Teran, J.C.; Konzen, E.R.; Palkovic, A.; Tsai, S.M.; Gepts, P. Exploration of the yield potential of Mesoamerican wild common beans from contrasting eco-geographic regions by nested recombinant inbred populations. Front. Plant Sci. 2020, 3, 346. [Google Scholar] [CrossRef] [PubMed]
- SIAP (Servicio de Información Agroalimentaria y Pesquera). Avances de Siembra y Cosecha. Available online: http://infosiap.siap.gob.mx:8080/agricola_siap_gobmx/ResumenProducto.do (accessed on 6 July 2020).
- Kahnt, G.; Koenig, K.; Hijazi, L.A. Effect of plant density, sowing technique and topping on yield and yield components of field beans. J. Agron. Crop Sci. 1988, 160, 83–88. [Google Scholar] [CrossRef]
- Machado, N.N.B.; Durães, M.A.B. Physiological and biochemical response of common bean varieties treated with salicylic acid under water stress. Crop Breed. Appl. Biotechnol. 2006, 6, 269–277. [Google Scholar] [CrossRef]
- Beebe, S.; Rao, I.; Mukankusi, C.; Buruchara, R. Improving resource use efficiency and reducing risk of common bean production in Africa, Latin America and the Caribbean. In Eco-Efficiency for Vision to Reality; Heishey Clair, H., Ed.; Centro Internacional de Agricultura Tropical (CIAT): Cali, Colombia, 2012; p. 18. [Google Scholar]
- Beebe, S.; Rao, I.; Blair, M.; Acosta, J. Phenotyping common beans for adaptation to drought. Front. Physiol. 2013, 6, 4–35. [Google Scholar] [CrossRef]
- Mao, L.; Zhang, L.; Zhao, X.; Liu, S.; van der Werf, W.; Zhang, S.; Spiertz, H.; Li, Z. Crop growth, light utilization and yield of relay intercropped cotton as affected by plant density and a plant growth regulator. Field Crop. Res. 2014, 155, 67–76. [Google Scholar] [CrossRef]
- Asemanrafat, M.; Honar, T. Effect of water stress and plant density on canopy temperature, yield components and protein concentration of red bean (Phaseolus vulgaris L. cv. Akhtar). Int. J. Plant Prod. 2017, 11, 241–258. [Google Scholar]
- Zhang, Q.; Zhang, L.; Evers, J.; van der Werf, W.; Zhang, W.; Duan, L. Maize yield and quality in response to plant density and application of a novel plant growth regulator. Field Crop. Res. 2014, 164, 82–89. [Google Scholar] [CrossRef]
- Xu, C.; Gao, Y.; Tian, B.; Ren, J.; Meng, Q.; Wang, P. Effects of EDAH, a novel plant growth regulator, on mechanical strength, stalk vascular bundles and grain yield of summer maize at high densities. Field Crop. Res. 2017, 200, 71–79. [Google Scholar] [CrossRef]
- Júnior, L.A.; Rosa, A.; Pereira, N.; Pescador, R.B.; de Andrade, E.A. Yield and nutrient uptake of common bean cultivars as affected by plant population and growing season. J. Agric. Sci. 2018, 10, 308–315. [Google Scholar] [CrossRef]
- Assefa, Y.; Vara Prasad, P.V.; Carter, P.; Hinds, M.; Bhalla, G.; Schon, R.; Jeschke, M.; Paszkiewicz, S.; Ciampitti, I.A. Yield responses to planting density for US modern corn hybrids: A Synthesis-Analysis. Crop Sci. 2016, 56, 2802–2817. [Google Scholar] [CrossRef]
- Averbeke Van, W.; Marais, J.N. Maize response to plant population and soil water supply: I. Yield of grain and total above-ground biomass. S. Afr. J. Plant Soil 1992, 9, 186–192. [Google Scholar] [CrossRef][Green Version]
- Stanger, T.F.; Lauer, J.G. Optimum plant population of Bt and non-Bt corn in Wisconsin. Agron. J. 2006, 98, 914–921. [Google Scholar] [CrossRef]
- Woli, K.P.; Burras, C.L.; Abendroth, L.J.; Elmore, R.W. Optimizing corn seeding rates using a field’s corn suitability rating. Agron. J. 2014, 106, 1523–1532. [Google Scholar] [CrossRef]
- Abbasi, A.; Maleki, A. Yield and yield components of red bean cultivars in different planting pattern as a second cropping in Kermanshah climate, Iran. J. Biodivers. Environ. Sci. 2015, 6, 488–494. [Google Scholar]
- Doust, J.L. The influence of plant density on flower, fruit, and leaf demography in bush bean, Phaseolus vulgaris. Can. J. Bot. 1992, 70, 958–964. [Google Scholar] [CrossRef]
- Tsubo, M.; Mukhala, E.; Ogindo, H.O.; Walker, S. Productivity of maize-bean intercropping in a semi-arid region of South Africa. Water SA 2003, 29, 381–388. [Google Scholar] [CrossRef]
- Vieira, R.F.; Júnior, P.T.J.; Teixeira, H.; de Carneiro, S.J.E. White mold management in common bean by increasing within-row distance between plants. Plant Dis. 2010, 94, 361–367. [Google Scholar] [CrossRef]
- Tsubo, M.; Walker, S.; Mukhala, E. Comparisons of radiation use efficiency of mono-/inter-cropping systems with different row orientations. Field Crop. Res. 2001, 71, 17–29. [Google Scholar] [CrossRef]
- Osuna-Ceja, E.S.; Reyes-Muro, L.; Padilla-Ramírez, J.S.; Martínez-Gamiño, M.A. Rendimiento de frijol Pinto Saltillo en altas densidades de población bajo temporal. Rev. Mex. Cienc. Agrícolas 2012, 3, 1389–1400. [Google Scholar] [CrossRef][Green Version]
- García, E. “Climas” (clasificación de Köppen, modificada por García). CONABIO. Escala1:1000000. Mexico. 1998. Available online: http://www.conabio.gob.mx/informacion/metadata/gis/clima1mgw.xml?_xsl=/db/metadata/xsl/fgdc_html.xsl&_indent=no (accessed on 20 July 2018).
- Medina, G.G.; Maciel, P.L.H.; Ruíz, C.; Serrano, A.; Silva, S. Estadísticas Climatológicas Básicas del Estado de Aguascalientes (Período 1961–2003); Instituto Nacional de Investigaciones Forestales, Agrícolas y Pecuarias (INIFAP): Aguascalientes, Mexico, 2006; Libro técnico Núm. 2; pp. 48–49. [Google Scholar]
- Ruiz-Corral, J.; Medina-García, G.; Rodríguez-Moreno, V.; Sánchez-González, J.; Villavicencio García, R.; Durán Puga, N.; Grageda Grageda, J.; García Romero, G. Regionalización del cambio climático en México. Rev. Mex. Cienc. Agrícolas 2017, 13, 2451–2464. [Google Scholar] [CrossRef][Green Version]
- Debouck, D.G.; Hidalgo, H.R.; Fernandez, O.F.O.; Correa, E.A.; Smithson, J.B. Morphology of the Common Bean Plant Phaseolus Vulgaris, 1st ed.; CIAT: Cali, Colombia, 1986; pp. 15–25. [Google Scholar]
- Rodríguez-Licea, G.; García-Salazar, J.A.; Rebollar-Rebollar, S.; Cruz-Contreras, A.C. Preferencias del consumidor de frijol (Phaseolus vulgaris L.) en Mexico: Factores y características que influyen en la decisión de compra diferenciada por tipo y variedad. Paradig. Económico 2010, 1, 121–145. [Google Scholar]
- Acosta, G.J.A.; Sánchez, G.B.Y.; Jiménez, H. Variedades de Frijol y Producción de Semilla en Guanajuato; Folleto Técnico Núm. 14; Campo Experimental Bajío. Centro de Investigación Regional Centro. Instituto Nacional de Investigaciones Forestales Agrícolas y Pecuarias: Celaya, Gto., Mexico, 2011. [Google Scholar]
- Acosta, G.J.A.; Sánchez, G.G.B.; Jiménez, H.Y.; Montero, T.V.; Mendoza, H.M.; Herrera, G.H.; Silva, L.R. Flor de mayo dolores: Nueva variedad de frijol para riego y temporal en Guanajuato. Rev. Mex. Cienc. Agrícolas 2011, 2, 993–999. [Google Scholar] [CrossRef]
- Montes, R.R.; Martínez, A.J.; Delgadillo, S.F. Flor de Mayo Bajío Nueva Variedad de Frijol; Folleto Técnico Núm. 5; SARH-INIFAP-CIFAP Guanajuato- Campo Experimental Bajío: Celaya, Gto., Mexico, 1988; p. 10. [Google Scholar]
- Rosales, S.R.; Acosta, G.J.A.; Ibarra, P.F.J.; Cuellar, R.E.I. Pinto coloso nueva variedad de frijol para el estado de Durango. Rev. Mex. Cienc. Agrícolas 2010, 1, 739–744. [Google Scholar]
- Rosales, S.R.; Acosta, G.J.A.; Ibarra, P.F.J.; Cuellar, R.E.I. Pinto bravo: Nueva variedad de frijol para el altiplano semiárido de Mexico. Rev. Mex. Cienc. Agrícolas 2011, 2, 985–991. [Google Scholar] [CrossRef][Green Version]
- Rosales, S.R.; Ibarra, P.F.J.; Cuellar, R.E.I. Pinto centauro, nueva variedad de frijol para el estado de Durango. Revista Mexicana Ciencias Agrícolas 2012, 3, 1467–1474. [Google Scholar] [CrossRef]
- Rosales, S.R.; Ibarra, P.F.J.; Cuellar, R.E.I. Pinto centenario, nueva variedad de frijol para el estado de Durango. Rev. Mex. Cienc. Agrícolas 2012, 3, 1655–1662. [Google Scholar] [CrossRef][Green Version]
- Garibaldi, M.F.; Vidal, G.H.R.; Baltazar, B.E.; Osuna, C.E.S.; Martínez, R.E. Sembradora Neumática para Siembra en Camas; Folleto Técnico No. 76; INIFAP-Centro Regional Norte Centro, Campo Experimental Pabellón: Aguascalientes, Mexico, 2017. [Google Scholar]
- CIAT (Centro Internacional de Agricultura Tropical). Etapas de Desarrolla de la Planta de Frijol Común (Phaseolus vulgaris L.); Fernando Fernández de c., Paul Gepts, Marceliano López: Cali, Colombia, 1966; p. 34. [Google Scholar]
- Monteith, J.L. Light interception and radiative exchange in crop stands. In Physiological Aspects of Crop Yield; Eastin, J.D., Ed.; American Society of Agronomy, Inc.: Madison, WI, USA, 1970; pp. 89–109. [Google Scholar]
- Campbell, G.S.; Norman, J. An Introduction to Environmental Biophysics, 2nd ed.; Springer Science Business Media Inc.: New York, NY, USA, 1998. [Google Scholar]
- Monteith, J.L. Solar radiation and productivity in tropical ecosystems. J. Appl. Ecol. 1972, 9, 747–766. [Google Scholar] [CrossRef]
- Snedecor, G.W.; Cochran, W.G. Statistical Methods, 8th ed.; Iowa State Univ. Press: Ames, IA, USA, 1989. [Google Scholar]
- Trapp, J.J.; Urrea, A.C.; Cregan, P.B.; Miklas, P.N. Quantitative trait loci yield under multiple stress and drought conditions in a dry bean population. Crop Sci. 2015, 55, 1596–1607. [Google Scholar] [CrossRef]
- Passioura, J.B. The drought environment: Physical, biological and agricultural perspectives. J. Exp. Bot. 2007, 58, 113–117. [Google Scholar] [CrossRef] [PubMed]
- Ricaurte, J.; Clavijo, M.J.A.; Sinclair, T.R.; Rao, I.M. Sowing density effect on common bean leaf area development. Crop Sci. 2016, 56, 1–9. [Google Scholar] [CrossRef]
- Sennhenn, A.; Njarui, D.M.G.; Maass, B.L.; Whitbread, A.M. Understanding growth and development of three short-season grain legumes for improved adaptation in semi-arid Eastern Kenya. Crop Pasture Sci. 2017, 68, 442–456. [Google Scholar] [CrossRef]
- Sedlar, A.; Kidrič, M.; Šuštar-Vozlič, J.; Pipan, B.; Zadražnik, T.; Meglič, V. Drought stress response in agricultural plants: A case study of common bean (Phaseolus vulgaris L.). In Drought-Detection and Solutions; Gabrijel, O., Ed.; IntechOpen Limited: London, UK, 2019; Open Chapter; Available online: https://www.intechopen.com/books/drought-detection-and-solutions/drought-stress-response-in-agricultural-plants-a-case-study-of-common-bean-em-phaseolus-vulgaris-em- (accessed on 20 May 2020).
- Matsuura, A.; Inanaga, S.; Tetsuka, T.; Murata, K. Differences in vegetative growth response to soil flooding between common and tartary buckwheat. Plant Prod. Sci. 2005, 8, 525–532. [Google Scholar] [CrossRef]
- Ntukamazina, N.; Onwonga, R.N.; Sommer, R.; Mukankusi, C.M.; Mburu, J.; Rubyogo, J.C. Effect of excessive and minimal soil moisture stress on agronomic performance of bush and climbing bean (Phaseolus vulgaris L.). Cogent Food Agric. 2017, 3, 1373414. [Google Scholar] [CrossRef]
- Costa, B.G.; Amâncio, B.C.; Boas, L.V.; Bastos, L.D.; Domiciano, D.; Marchiori, P.E. Waterlogging effects upon the phenological phases of common bean cultivar BRSMG-Uai. Ciência E Agrotecnologia 2020, 44. [Google Scholar] [CrossRef]
- SIAP (Servicio de Información Agroalimentaria y Pesquera). Anuario Estadístico de la Producción Agrícola. Available online: https://nube.siap.gob.mx/cierreagricola/ (accessed on 3 August 2020).
- Sanchez-Valdez, I.; Acosta-Gallegos, J.A.; Ibarra-Perez, F.J.; Rosales-Serna, R.; Singh, S.P. Registration of Pinto Saltillo common bean. Crop Sci. 2004, 44, 1865–1866. [Google Scholar] [CrossRef]
- Beebe, S.E.; Rao, I.M.; Caijio, C.; Grajales, M. Selection for drought resistance in common bean also improves yield in phosphorus limited and favorable environments. Crop Sci. 2008, 48, 582–592. [Google Scholar] [CrossRef]
- Beebe, S.; Rao, I.M.; Blair, M.W.; Butare, L. Breeding for abiotic stress tolerance in common bean: Present and future challenges. In Proceedings of the 14th Australian Plant Breeding & 11th Society for the Advancement of Breeding Research in Asia and Oceania (SABRAO) Conference, Brisbane, Australia, 10–14 August 2009. [Google Scholar]
- Hadi, H.; Ghassemi-Golezani, K.; Khoei, F.R.; Valizadeh, M.; Shakiba, M.R. Response of common bean (Phaseolus vulgaris L.) to different levels of shade. J. Agron. 2006, 5, 595–599. [Google Scholar]
- Goudriaan, J.; Monteith, J.L. A mathematical function for crop growth based on light interception and leaf area data. Ann. Bot. 1990, 66, 695–701. [Google Scholar] [CrossRef]
- Berrocal-Ibarra, S.; Ortiz-Cereceres, J.; Peña-Valdivia, C.B. Yield components, harvest index and leaf area efficiency of a sample of a wild population and a domesticated variant of the common bean Phaseolus vulgaris. S. Afr. J. Bot. 2002, 68, 205–211. [Google Scholar] [CrossRef][Green Version]
- Baez-Gonzalez, A.D.; Fajardo-Díaz, R.; Garcia-Romero, G.; Osuna-Ceja, E.; Kiniry, J.R.; Meki, M.N. High Sowing Densities in Rainfed Common Beans (Phaseolus vulgaris L.) in Mexican Semi-Arid Highlands under Future Climate Change. Agronomy 2020, 10, 442. [Google Scholar] [CrossRef]
- Averbeke Van, W.; Marais, J.N. Maize response to plant population and soil water supply II. Plant barrenness and harvest index. S. Afr. J. Plant Soil 1994, 11, 84–89. [Google Scholar] [CrossRef][Green Version]
- Khalil, S.K.; Wahab, A.; Rehman, A.; Muhammad, F.; Wahab, S.; Khan, A.Z.; Zubair, M.M.; Shah, K.I.; Khalil, H.; Amin, R. Density and planting date influence phenological development assimilate partitioning and dry matter production of faba bean. Pak. J. Bot. 2010, 42, 3831–3838. [Google Scholar]
- Thalji, T. Effect of plant density on seed yield and agronomic characters of faba bean (Vicia faba L.) under greenhouse conditions. Biosci. Res. 2010, 7, 22–25. [Google Scholar]
- Mureithiet, D.M.; Onyango, M.O.A.; Jeruto, P.; Gichimu, B.M. Response of French bean (Phaseolus vulgaris L.) to intra-row spacing in Maseno division, Kenya. J. Appl. Sci. 2012, 12, 96–100. [Google Scholar] [CrossRef][Green Version]
- Martin, K.J.; Downie, A. Identification of protein secretion systems and novel secreted proteins in rhizobium legumeinosarum. b. v. Viciae. Genomics 2008, 9, 55. [Google Scholar]









| Cultivar | Growth Habit †, Days to Physiological Maturity ‡, Seed Size § and Color of the Grain |
|---|---|
| Pinto Bravo | Type III, intermediate, medium grain, cream color with brown spots |
| Pinto Centauro | Type III, intermediate, medium grain, cream color with brown spots |
| Pinto Coloso | Type III, early, medium grain, cream color with brown spots |
| Pinto Saltillo | Type III, intermediate, medium grain, cream color with brown spots |
| Pinto Centenario | Type III, intermediate, medium grain, cream color with brown spots |
| Pinto Libertad | Type III, intermediate, medium grain, cream color with brown spots |
| Flor de Mayo Bajio | Type III, intermediate, small grain, beige with pink spots |
| Flor de Mayo Dolores | Type III, intermediate, medium grain, cream color with pink spots |
| Flor de Mayo Eugenia | Type III, intermediate, medium grain, cream color with pink spots |
| Azufrado 2 | Type I, intermediate, large grain, light yellow color |
| Cultivar | Plant Densities | ||
|---|---|---|---|
| Ld | Md | Hd | |
| Growth habit III | |||
| Pinto Saltillo | 0.28 ± 0.04 | 0.26 ± 0.04 | 0.31 ± 0.02 |
| Flor de Mayo Bajio | 0.22 ± 0.02 | 0.18 ± 0.03 | 0.22 ± 0.04 |
| Growth habit I | |||
| Azufrado 2 | 0.21 ± 0.03 | 0.17 ± 0.03 | 0.36 ± 0.04 |
Publisher’s Note: MDPI stays neutral with regard to jurisdictional claims in published maps and institutional affiliations. |
© 2020 by the authors. Licensee MDPI, Basel, Switzerland. This article is an open access article distributed under the terms and conditions of the Creative Commons Attribution (CC BY) license (http://creativecommons.org/licenses/by/4.0/).
Share and Cite
Baez-Gonzalez, A.D.; Fajardo-Diaz, R.; Padilla-Ramirez, J.S.; Osuna-Ceja, E.S.; Kiniry, J.R.; Meki, M.N.; Acosta-Díaz, E. Yield Performance and Response to High Plant Densities of Dry Bean (Phaseolus vulgaris L.) Cultivars under Semi-Arid Conditions. Agronomy 2020, 10, 1684. https://doi.org/10.3390/agronomy10111684
Baez-Gonzalez AD, Fajardo-Diaz R, Padilla-Ramirez JS, Osuna-Ceja ES, Kiniry JR, Meki MN, Acosta-Díaz E. Yield Performance and Response to High Plant Densities of Dry Bean (Phaseolus vulgaris L.) Cultivars under Semi-Arid Conditions. Agronomy. 2020; 10(11):1684. https://doi.org/10.3390/agronomy10111684
Chicago/Turabian StyleBaez-Gonzalez, Alma Delia, Ricardo Fajardo-Diaz, Jose Saul Padilla-Ramirez, Esteban Salvador Osuna-Ceja, James R. Kiniry, Manyowa N. Meki, and Efraín Acosta-Díaz. 2020. "Yield Performance and Response to High Plant Densities of Dry Bean (Phaseolus vulgaris L.) Cultivars under Semi-Arid Conditions" Agronomy 10, no. 11: 1684. https://doi.org/10.3390/agronomy10111684
APA StyleBaez-Gonzalez, A. D., Fajardo-Diaz, R., Padilla-Ramirez, J. S., Osuna-Ceja, E. S., Kiniry, J. R., Meki, M. N., & Acosta-Díaz, E. (2020). Yield Performance and Response to High Plant Densities of Dry Bean (Phaseolus vulgaris L.) Cultivars under Semi-Arid Conditions. Agronomy, 10(11), 1684. https://doi.org/10.3390/agronomy10111684

