Stimulation of Light-Emitting Diode Treatment on Defence System and Changes in Mesocarp Metabolites of Avocados Cultivars (Hass and Fuerte) during Simulated Market Shelf Conditions
Abstract
1. Introduction
2. Materials and Methods
2.1. Chemicals and Reagents
2.2. Anthracnose Incidence in Inoculated Avocados
2.3. Gene Expression in Avocado Cultivars
2.4. Naturally Infected Fruit and Incidence of Anthracnose
2.5. Percentage of Ripe and Ready-to-Eat Stage Fruit under Different Postharvest Treatments and Storage Periods
2.6. Biochemical Analysis
2.6.1. D-Mannoheptulose (C7 Sugar) Content
2.6.2. Extraction and Quantification of Fruit Metabolites
2.6.3. Fatty Acid Composition
2.6.4. Ascorbic Acid Content
2.6.5. The 2,2,1-Diphenyl-1-Picrylhydrazyl (DPPH) Radical Scavenging Assay
2.7. Statistical Analysis
3. Results
3.1. Effect of LED Light Treatments on Incidence of Anthracnose in Inoculated Avocado Cultivars
3.2. Effect of LED Light Treatments on Incidence of Anthracnose in Naturally Infected Avocado Cultivars
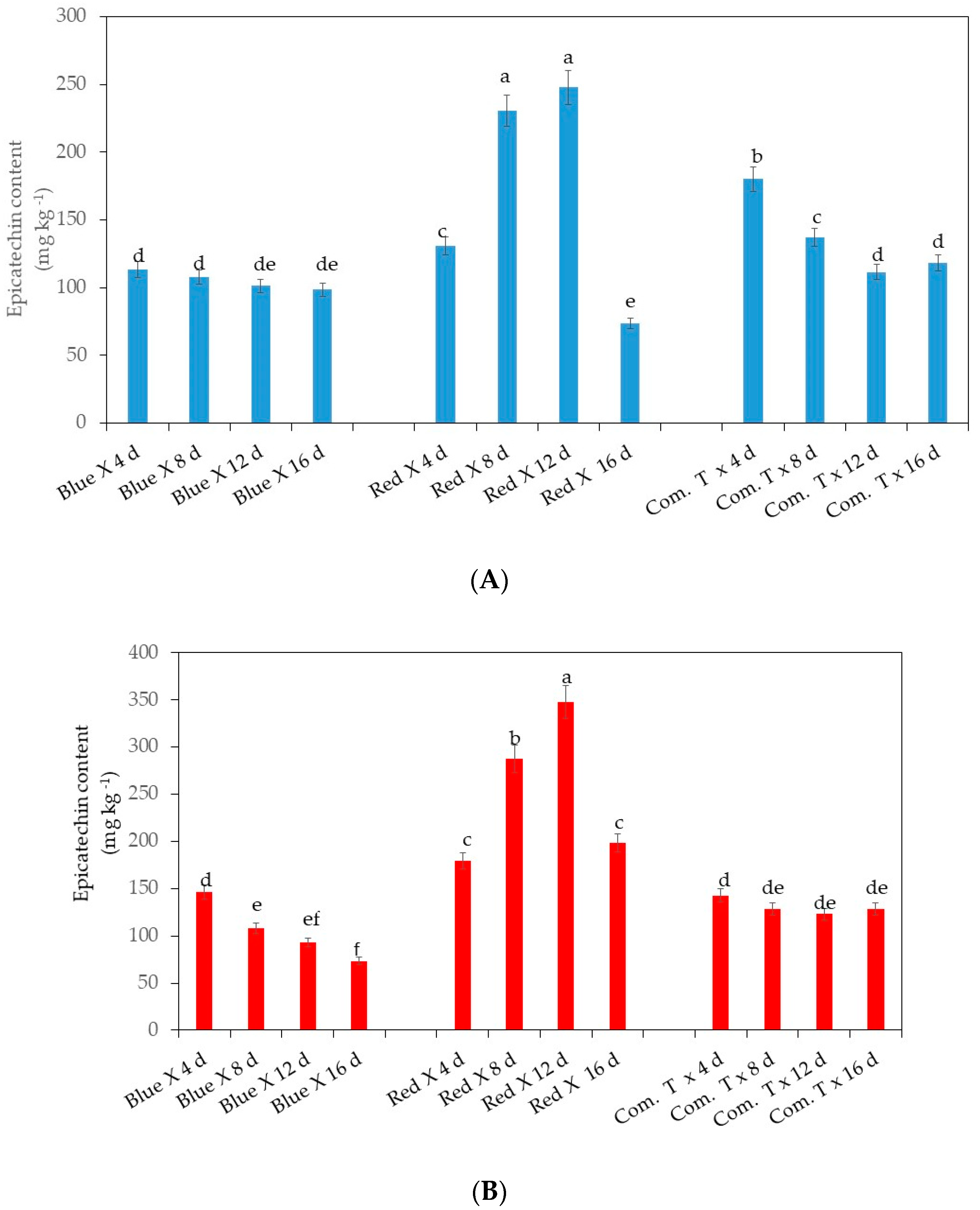
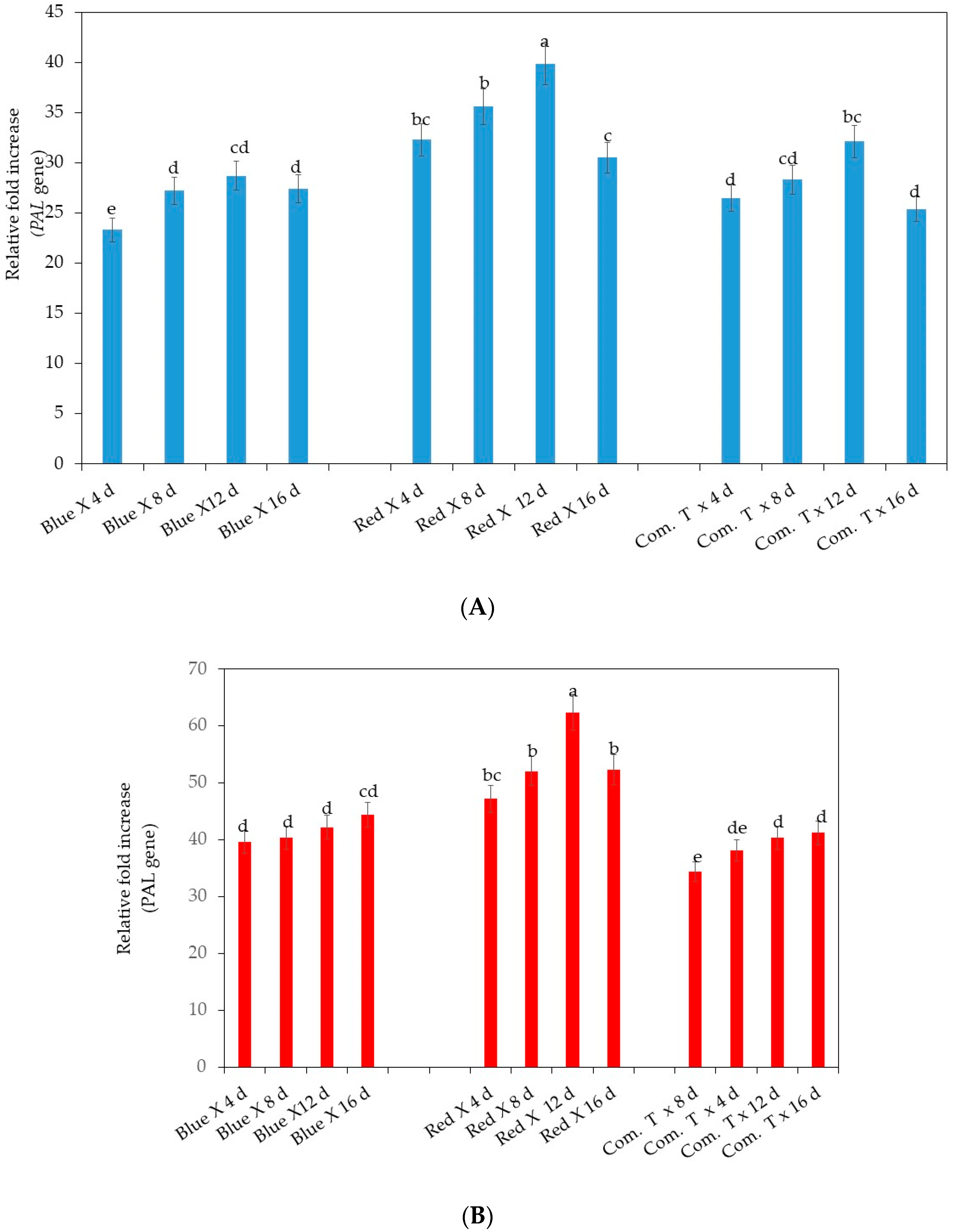
3.3. Effect of LED Light Treatments on PAL and LOX Gene Expression and Exocarp Epicatechin Content
3.4. Effect of LED Light Treatments on Coumaric Acid Hexoside, 4-Feruloyl Quinic Acid, and Tryptophan Content
3.5. Effect of LED Light Treatments on Percentage of Fruit Reaching Ready-to-Eat Stage
3.6. Effect of LED Light Treatments on D-Mannoheptulose Content
3.7. Effect of LED Light Treatments on Oleic Acid Content in the Mesocarp
3.8. Effect of LED Light Treatments on Ascorbic Acid Content in the Mesocarp
3.9. Effect of LED Light Treatments on Antioxidant Activity
4. Discussion
5. Conclusions
Author Contributions
Funding
Acknowledgments
Conflicts of Interest
References
- Dreher, M.L.; Davenport, A.J. Hass avocado composition and potential health effects. Crit. Rev. Food Sci. Nutr. 2013, 53, 738–750. [Google Scholar] [CrossRef] [PubMed]
- South African Avocado Grower’s Association 2020. Available online: https://www.avocado.co.za/varieties/ (accessed on 15 May 2020).
- Perkins, M.L.; Joyce, D.C.; Coates, L.M. Possible contribution of impact injury at harvest to anthracnose expression in ripening avocado: A review. Sci. Hortic. 2019, 246, 785–790. [Google Scholar] [CrossRef]
- Daneel, M.S.; Sippel, A.; de Beer, M.; Mlimi, J. A look into the variability of prochloraz residues in the avocado industry. S. Afr. Avocado Growers Assoc. Yearbook 2016, 39, 92–98. Available online: http://www.avocadosource.com/Journals/SAAGA/SAAGA_2016/SAAGA_2016_39_PG_092.pdf (accessed on 14 October 2020).
- Bill, M.; Sivakumar, D.; Beukes, M.; Korsten, L. Expression of pathogenesis-related (PR) genes in avocados fumigated with thyme oil vapours and control of anthracnose. Food Chem. 2016, 194, 938–943. [Google Scholar] [CrossRef] [PubMed]
- Commission Regulation (EU) 2020/192. Amending Annexes II and III to Regulation (EC) No 396/2005 of the European Parliament and of the Council as Regards Maximum Residue Levels for Prochloraz in or on Certain Products. Available online: https://www.avocado.co.za/varieties/https://eur-lex.europa.eu/legal-content/GA/TXT/?uri=CELEX:32020R0192 (accessed on 15 May 2020).
- Munhuweyi, K.; Mpai, S.; Sivakumar, D. Extension of Avocado Fruit Postharvest Quality Using Non-Chemical Treatments. Agronomy 2020, 10, 212. [Google Scholar] [CrossRef]
- Bantis, F.; Smirnakou, S.; Ouzounis, T.; Koukounaras, A.; Ntagkas, N.; Radoglou, K. Current status and recent achievements in the field of horticulture with the use of light-emitting diodes (LEDs). Sci. Hortic. 2018, 235, 437–451. [Google Scholar] [CrossRef]
- Taulavuori, E.; Taulavuori, K.; Holopainen, J.K.; Julkunen-Tiitto, R.; Acar, C.; Dincer, I. Targeted use of LEDs in improvement of production efficiency through phytochemical enrichment. J. Sci. Food Agric. 2017, 97, 5059–5064. [Google Scholar] [CrossRef]
- Maroga, G.M.; Soundy, P.; Sivakumar, D. Different postharvest responses of fresh-cut sweet peppers related to quality and antioxidant and phenylalanine ammonia lyase activities during exposure to light-emitting diode treatments. Foods 2019, 8, 359. [Google Scholar] [CrossRef]
- Dhakal, R.; Baek, K.H. Short period irradiation of single blue wavelength light extends the storage period of mature green tomatoes. Postharvest Biol. Technol. 2014, 90, 73–77. [Google Scholar] [CrossRef]
- Yamaga, I.; Takahashi, T.; Ishii, K.; Kato, M.; Kobayashi, Y. Suppression of blue mold symptom development in satsuma mandarin fruits treated by low-intensity blue LED irradiation. Food Sci. Technol. Res. 2015, 21, 347–351. [Google Scholar] [CrossRef]
- Obianom, C.P.; Romannazzi, G.; Sivakumar, D. Effects of chitosan treatment on avocado postharvest diseases and expression of phenylalanine ammonia-lyase, chitinase and lipoxygenase genes. Postharvest Biol. Technol. 2019, 147, 214–221. [Google Scholar] [CrossRef]
- Fuchs, Y.; Zauberman, G. Physiological aspects of delayed marketing of avocado fruit. S. Afr. Avocado Growers Assoc. Yearbook 1987, 10, 132–135. [Google Scholar]
- Glowacz, M.; Bill, M.; Tinyane, P.P.; Sivakumar, D. Maintaining postharvest quality of cold stored ‘Hass’ avocados by altering the fatty acids content and composition with the use of natural volatile compounds–methyl jasmonate and methyl salicylate. J. Sci. Food Agric. 2017, 97, 5186–5193. [Google Scholar] [CrossRef]
- Mpai, S.; Sivakumar, D. Influence of growing seasons on metabolic composition, and fruit quality of avocado cultivars at ‘ready-to-eat stage’. Sci. Hortic. 2020, 265, 109159. [Google Scholar] [CrossRef]
- Meyer, M.D.; Terry, L.A. Fatty acid and sugar composition of avocado, cv. Hass, in response to treatment with an ethylene scavenger or 1-methylcyclopropene to extend storage life. Food Chem. 2010, 121, 1203–1210. [Google Scholar] [CrossRef]
- Hoerwitz, W.; Latimer, G. International Official Methods of Analysis of the Association of Official Analytical Chemists (AOAC), 16th ed.; AOAC International: Rockville, MD, USA, 2000; Volume II. [Google Scholar]
- Tinyane, P.P.; Soundy, P.; Sivakumar, D. Influence of photo-selective netting on fruit quality parameters and bioactive compounds in selected tomato cultivars. Sci. Hortic. 2013, 161, 340–349. [Google Scholar] [CrossRef]
- Hasan, M.; Bashir, T.; Ghosh, R.; Lee, S.K.; Bae, H. An overview of LEDs’ effects on the production of bioactive compounds and crop quality. Molecules 2017, 22, 1420. [Google Scholar] [CrossRef]
- Ballester, A.R.; Lafuente, M.T. LED Blue Light-induced changes in phenolics and ethylene in citrus fruit: Implication in elicited resistance against Penicillium digitatum infection. Food Chem. 2017, 218, 575–583. [Google Scholar] [CrossRef]
- Bill, M.; Korsten, L.; Remize, F.; Glowacz, M.; Sivakumar, D. Effect of thyme oil vapours exposure on phenylalanine ammonia-lyase (PAL) and lipoxygenase (LOX) genes expression, and control of anthracnose in ‘Hass’ and ‘Ryan’ avocado fruit. Sci. Hortic. 2017, 224, 232–237. [Google Scholar] [CrossRef]
- Prusky, D.; Keen, N.T.; Eaks, I. Further evidence for the involvement of a preformed antifungal compound in the latency of Colletotrichum gloeosporioides on unripe avocado fruits. Physiol. Mol. Plant Pathol. 1983, 22, 189–195. [Google Scholar] [CrossRef]
- Karni, L.; Prusky, D.; Kobiler, I.; Bar-Shira, E.; Kobiler, D. Involvement of epicatechin in the regulation of lipoxygenase activity during activation of quiescent Colletotrichum gloeosporioides infections of ripening avocado fruits. Physiol. Mol. Plant Path. 1989, 35, 367–374. [Google Scholar] [CrossRef]
- Prusky, D. Pathogen quiescence in postharvest diseases. Annu. Rev. Phytopathol. 1996, 34, 413–434. [Google Scholar] [CrossRef] [PubMed]
- Prusky, D.; Alkan, N.; Mengiste, T.; Fluhr, R. Quiescent and necrotrophic lifestyle choice during postharvest disease development. Annu. Rev. Phytopathol. 2013, 51, 155–176. [Google Scholar] [CrossRef]
- Brader, G.; Tas, E.; Palva, E.T. Jasmonate-dependent induction of indole glucosinolates in arabidopsis by culture filtrates of the nonspecific pathogenerwinia carotovora. Plant Physiol. 2001, 126, 849–860. [Google Scholar] [CrossRef]
- Dyer, W.E.; Henstrand, J.M.; Handa, A.K.; Herrmann, K.M. Wounding induces the first enzyme of the shikimate pathway in Solanaceae. Proc. Natl. Acad. Sci. USA 1989, 86, 7370–7373. [Google Scholar] [CrossRef]
- Henstrand, J.M.; McCue, K.F.; Brink, K.; Handa, A.K.; Herrmann, K.M.; Conn, E.E. Light and fungal elicitor induce 3-deoxy-D-arabino-heptulosonate 7-phosphate synthase mRNA in suspension cultured cells of parsley (Petroselinum crispum L.). Plant Physiol. 1992, 98, 761–763. [Google Scholar] [CrossRef][Green Version]
- Ensminger, P.A.; Schäfer, E. Blue and ultraviolet-B light photoreceptors in parsley cells. J. Photochem. Photobiol. A 1992, 55, 437–447. [Google Scholar] [CrossRef]
- Huang, J.Y.; Xu, F.; Zhou, W. Effect of LED irradiation on the ripening and nutritional quality of postharvest banana fruit. J. Sci. Food Agric. 2018, 98, 5486–5493. [Google Scholar] [CrossRef]
- Tinyane, P.P.; Soundy, P.; Sivakumar, D. Growing ‘Hass’ avocado fruit under different coloured shade netting improves the marketable yield and affects fruit ripening. Sci. Hortic. 2018, 230, 43–49. [Google Scholar] [CrossRef]
- Hurtado-Fernández, E.; Pacchiarotta, T.; Romero, G.; Schoenmaker, B. Ultra-high performance liquid chromatography-time of flight mass spectrometry for analysis of avocado fruit metabolites: Method evaluation and applicability to the analysis of ripening degrees. J. Chromatogr. A 2011, 42, 7723–7738. [Google Scholar] [CrossRef] [PubMed]
- Commisso, M.; Negri, S.; Bianconi, M.; Gambini, S.; Avesani, S.; Ceoldo, S.; Guzzo, F. Untargeted and targeted metabolomics and tryptophan decarboxylase in vivo characterization provide novel insight on the development of kiwifruits (Actinidia deliciosa). Int. J. Mol. Sci. 2019, 20, 897. [Google Scholar] [CrossRef] [PubMed]
- Zhou, S.H.; Zhong, X.F.; Yuan, L.; Jian, C.C.; Dong-hong, L.; Xing-qian, Y. Phenolics and antioxidant properties of bayberry (Myrica rubra Sieb. et Zucc.) pomace. Food Chem. 2009, 112, 394–399. [Google Scholar] [CrossRef]
















Publisher’s Note: MDPI stays neutral with regard to jurisdictional claims in published maps and institutional affiliations. |
© 2020 by the authors. Licensee MDPI, Basel, Switzerland. This article is an open access article distributed under the terms and conditions of the Creative Commons Attribution (CC BY) license (http://creativecommons.org/licenses/by/4.0/).
Share and Cite
Mpai, S.; Sivakumar, D. Stimulation of Light-Emitting Diode Treatment on Defence System and Changes in Mesocarp Metabolites of Avocados Cultivars (Hass and Fuerte) during Simulated Market Shelf Conditions. Agronomy 2020, 10, 1654. https://doi.org/10.3390/agronomy10111654
Mpai S, Sivakumar D. Stimulation of Light-Emitting Diode Treatment on Defence System and Changes in Mesocarp Metabolites of Avocados Cultivars (Hass and Fuerte) during Simulated Market Shelf Conditions. Agronomy. 2020; 10(11):1654. https://doi.org/10.3390/agronomy10111654
Chicago/Turabian StyleMpai, Semakaleng, and Dharini Sivakumar. 2020. "Stimulation of Light-Emitting Diode Treatment on Defence System and Changes in Mesocarp Metabolites of Avocados Cultivars (Hass and Fuerte) during Simulated Market Shelf Conditions" Agronomy 10, no. 11: 1654. https://doi.org/10.3390/agronomy10111654
APA StyleMpai, S., & Sivakumar, D. (2020). Stimulation of Light-Emitting Diode Treatment on Defence System and Changes in Mesocarp Metabolites of Avocados Cultivars (Hass and Fuerte) during Simulated Market Shelf Conditions. Agronomy, 10(11), 1654. https://doi.org/10.3390/agronomy10111654

