Physicochemical Properties of Nanoencapsulated Essential Oils: Optimizing D-Limonene Preservation
Abstract
1. Introduction
2. Materials and Methods
2.1. Materials
2.2. Chemical Reagents and Equipment
2.3. Essential Oil Extraction
2.4. Preparation of Nanoemulsions
2.5. Freeze-Drying Process
2.6. Recovered Solids Yield
2.7. Moisture Content, Solubility, and Hygroscopicity of Nanoencapsulates
2.8. Encapsulation Efficiency
2.9. Total Phenolic Content
2.10. Stability of Antioxidant Activity by the DPPH Assay
2.11. Stability of Antioxidant Capacity Using the ABTS+ Assay
2.12. Characterization of Volatile Compounds by GC-MS
2.13. Scanning Electron Microscopy (SEM)
2.14. ATR FT-IR Spectroscopy
2.15. Data Analysis
3. Results and Discussion
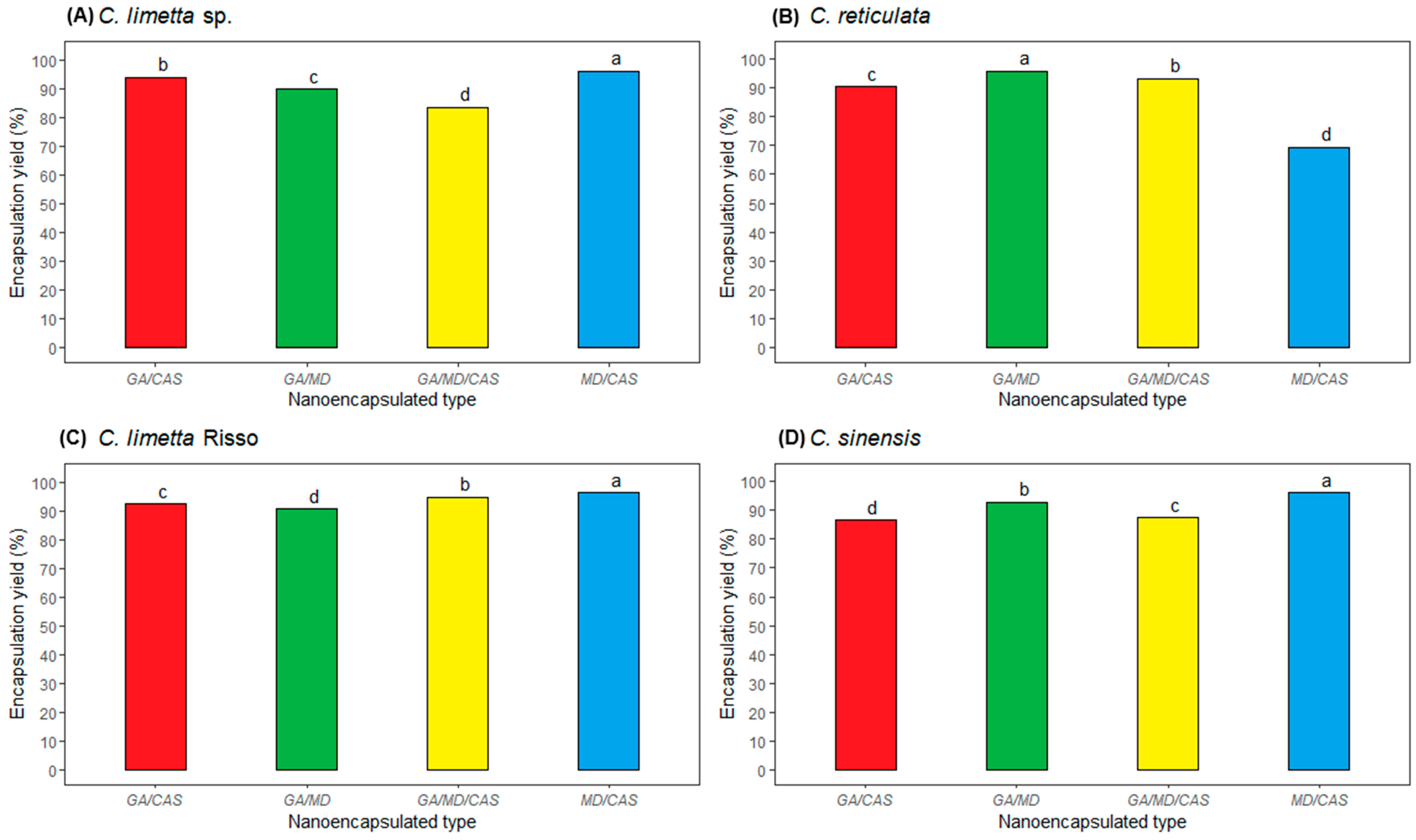
3.1. Physical Properties of Essential Oil Nanocapsules
3.2. Chemical Properties of Essential Oil Nanocapsules
4. Conclusions
Supplementary Materials
Author Contributions
Funding
Institutional Review Board Statement
Data Availability Statement
Acknowledgments
Conflicts of Interest
References
- Taouzinet, L.; Djaoudene, O.; Fatmi, S.; Bouiche, C.; Amrane-Abider, M.; Bougherra, H.; Rezgui, F.; Madani, K. Trends of Nanoencapsulation Strategy for Natural Compounds in the Food Industry. Processes 2023, 11, 1459. [Google Scholar] [CrossRef]
- Ferreira, C.D.; Nunes, I.L. Oil Nanoencapsulation: Development, Application, and Incorporation into the Food Market. Nanoscale Res. Lett. 2019, 14, 9. [Google Scholar] [CrossRef] [PubMed]
- Liao, W.; Badri, W.; Dumas, E.; Ghnimi, S.; Elaissari, A.; Saurel, R.; Gharsallaoui, A. Nanoencapsulation of Essential Oils as Natural Food Antimicrobial Agents: An Overview. Appl. Sci. 2021, 11, 5778. [Google Scholar] [CrossRef]
- Pateiro, M.; Gómez, B.; Munekata, P.E.S.; Barba, F.J.; Putnik, P.; Kovačević, D.B.; Lorenzo, J.M. Nanoencapsulation of Promising Bioactive Compounds to Improve Their Absorption, Stability, Functionality and the Appearance of the Final Food Products. Molecules 2021, 26, 1547. [Google Scholar] [CrossRef]
- Tahir, A.; Shabir Ahmad, R.; Imran, M.; Ahmad, M.H.; Kamran Khan, M.; Muhammad, N.; Nisa, M.U.; Tahir Nadeem, M.; Yasmin, A.; Tahir, H.S.; et al. Recent Approaches for Utilization of Food Components as Nano-Encapsulation: A Review. Int. J. Food Prop. 2021, 24, 1074–1096. [Google Scholar] [CrossRef]
- Albuquerque, P.M.; Azevedo, S.G.; De Andrade, C.P.; D’Ambros, N.C.D.S.; Pérez, M.T.M.; Manzato, L. Biotechnological Applications of Nanoencapsulated Essential Oils: A Review. Polymers 2022, 14, 5495. [Google Scholar] [CrossRef]
- Ojeda-Piedra, S.A.; Zambrano-Zaragoza, M.L.; González-Reza, R.M.; García-Betanzos, C.I.; Real-Sandoval, S.A.; Quintanar-Guerrero, D. Nano-Encapsulated Essential Oils as a Preservation Strategy for Meat and Meat Products Storage. Molecules 2022, 27, 8187. [Google Scholar] [CrossRef]
- González-Mas, M.C.; Rambla, J.L.; López-Gresa, M.P.; Blázquez, M.A.; Granell, A. Volatile Compounds in Citrus Essential Oils: A Comprehensive Review. Front. Plant Sci. 2019, 10, 12. [Google Scholar] [CrossRef] [PubMed]
- Zhang, H.; Xie, Y.; Liu, C.; Chen, S.; Hu, S.; Xie, Z.; Deng, X.; Xu, J. Comprehensive Comparative Analysis of Volatile Compounds in Citrus Fruits of Different Species. Food Chem. 2017, 230, 316–326. [Google Scholar] [CrossRef]
- Oprea, I.; Fărcaș, A.C.; Leopold, L.F.; Diaconeasa, Z.; Coman, C.; Socaci, S.A. Nano-Encapsulation of Citrus Essential Oils: Methods and Applications of Interest for the Food Sector. Polymers 2022, 14, 4505. [Google Scholar] [CrossRef] [PubMed]
- Shaw, D.; Tripathi, A.D.; Paul, V.; Agarwal, A.; Mishra, P.K.; Kumar, M. Valorization of Essential Oils from Citrus Peel Powder Using Hydro-Distillation. Sustain. Chem. Pharm. 2023, 32, 101036. [Google Scholar] [CrossRef]
- Hasani, S.; Ojagh, S.M.; Ghorbani, M. Nanoencapsulation of Lemon Essential Oil in Chitosan-Hicap System. Part 1: Study on Its Physical and Structural Characteristics. Int. J. Biol. Macromol. 2018, 115, 143–151. [Google Scholar] [CrossRef] [PubMed]
- Weisany, W.; Yousefi, S.; Tahir, N.A.; Golestanehzadeh, N.; McClements, D.J.; Adhikari, B.; Ghasemlou, M. Targeted Delivery and Controlled Released of Essential Oils Using Nanoencapsulation: A Review. Adv. Colloid Interface Sci. 2022, 303, 102655. [Google Scholar] [CrossRef]
- Chaudhari, A.K.; Singh, V.K.; Das, S.; Dubey, N.K. Nanoencapsulation of Essential Oils and Their Bioactive Constituents: A Novel Strategy to Control Mycotoxin Contamination in Food System. Food Chem. Toxicol. 2021, 149, 112019. [Google Scholar] [CrossRef] [PubMed]
- Mahdi, A.A.; Al-Maqtari, Q.A.; Mohammed, J.K.; Al-Ansi, W.; Aqeel, S.M.; Cui, H.; Lin, L. Nanoencapsulation of Mandarin Essential Oil: Fabrication, Characterization, and Storage Stability. Foods 2022, 11, 54. [Google Scholar] [CrossRef]
- Hosseini, H.; Jafari, S.M. Introducing Nano/Microencapsulated Bioactive Ingredients for Extending the Shelf-Life of Food Products. Adv. Colloid Interface Sci. 2020, 282, 102210. [Google Scholar] [CrossRef] [PubMed]
- Al-Maqtari, Q.A.; Mohammed, J.K.; Mahdi, A.A.; Al-Ansi, W.; Zhang, M.; Al-Adeeb, A.; Wei, M.; Phyo, H.M.; Yao, W. Physicochemical Properties, Microstructure, and Storage Stability of Pulicaria Jaubertii Extract Microencapsulated with Different Protein Biopolymers and Gum Arabic as Wall Materials. Int. J. Biol. Macromol. 2021, 187, 939–954. [Google Scholar] [CrossRef] [PubMed]
- Al-idee, T.; Habbal, H.; Karabet, F.; Alghoraibi, I. Comparison Study between Cherry and Arabic Gums in Preparation and Characterization of Orange Peel Extract Nanocapsules. J. Nanomater. 2022, 2022, 7721983. [Google Scholar] [CrossRef]
- Mohammed, N.K.; Tan, C.P.; Manap, Y.A.; Muhialdin, B.J.; Hussin, A.S.M. Spray Drying for the Encapsulation of Oils—A Review. Molecules 2020, 25, 3873. [Google Scholar] [CrossRef]
- Karaaslan, M.; Şengün, F.; Cansu, Ü.; Başyiğit, B.; Sağlam, H.; Karaaslan, A. Gum Arabic/Maltodextrin Microencapsulation Confers Peroxidation Stability and Antimicrobial Ability to Pepper Seed Oil. Food Chem. 2021, 337, 127748. [Google Scholar] [CrossRef]
- Moser, P.; Telis, V.R.N.; De Andrade Neves, N.; García-Romero, E.; Gómez-Alonso, S.; Hermosín-Gutiérrez, I. Storage Stability of Phenolic Compounds in Powdered BRS Violeta Grape Juice Microencapsulated with Protein and Maltodextrin Blends. Food Chem. 2017, 214, 308–318. [Google Scholar] [CrossRef]
- Meena, S.; Prasad, W.; Khamrui, K.; Mandal, S.; Bhat, S. Preparation of Spray-Dried Curcumin Microcapsules Using a Blend of Whey Protein with Maltodextrin and Gum Arabica and Its in-Vitro Digestibility Evaluation. Food Biosci. 2021, 41, 100990. [Google Scholar] [CrossRef]
- Yousefi, S.; Kavyanirad, M.; Aminifar, M.; Weisany, W.; Mousavi Khaneghah, A. Yogurt Fortification by Microencapsulation of Beetroot Extract (Beta Vulgaris L.) Using Maltodextrin, Gum Arabic, and Whey Protein Isolate. Food Sci. Nutr. 2022, 10, 1875–1887. [Google Scholar] [CrossRef]
- Ribeiro, A.M.; Shahgol, M.; Estevinho, B.N.; Rocha, F. Microencapsulation of Vitamin A by Spray-Drying, Using Binary and Ternary Blends of Gum Arabic, Starch and Maltodextrin. Food Hydrocoll. 2020, 108, 106029. [Google Scholar] [CrossRef]
- Ruengdech, A.; Siripatrawan, U. Improving Encapsulating Efficiency, Stability, and Antioxidant Activity of Catechin Nanoemulsion Using Foam Mat Freeze-Drying: The Effect of Wall Material Types and Concentrations. LWT 2022, 162, 113478. [Google Scholar] [CrossRef]
- Jafari, S.M.; Assadpoor, E.; He, Y.; Bhandari, B. Encapsulation Efficiency of Food Flavours and Oils during Spray Drying. Dry. Technol. 2008, 26, 816–835. [Google Scholar] [CrossRef]
- Fernandes, R.V.d.B.; Borges, S.V.; Botrel, D.A. Gum Arabic/Starch/Maltodextrin/Inulin as Wall Materials on the Microencapsulation of Rosemary Essential Oil. Carbohydr. Polym. 2014, 101, 524–532. [Google Scholar] [CrossRef]
- Moser, P.; Locali-Pereira, A.R.; Nicoletti, V.R. Optimization of Spray Drying Process of Buriti Oil-Loaded Bilayer Emulsions. Colloids Surf. A Physicochem. Eng. Asp. 2024, 698, 134516. [Google Scholar] [CrossRef]
- Delshadi, R.; Bahrami, A.; Tafti, A.G.; Barba, F.J.; Williams, L.L. Micro and Nano-Encapsulation of Vegetable and Essential Oils to Develop Functional Food Products with Improved Nutritional Profiles. Trends Food Sci. Technol. 2020, 104, 72–83. [Google Scholar] [CrossRef]
- Asadi, M.; Salami, M.; Hajikhani, M.; Emam-Djomeh, Z.; Aghakhani, A.; Ghasemi, A. Electrospray Production of Curcumin-Walnut Protein Nanoparticles. Food Biophys. 2021, 16, 15–26. [Google Scholar] [CrossRef]
- Vasquez-Gomez, K.L.; Mori-Mestanza, D.; Caetano, A.C.; Idrogo-Vasquez, G.; Culqui-Arce, C.; Auquiñivin-Silva, E.A.; Castro-Alayo, E.M.; Cruz-Lacerna, R.; Perez-Ramos, H.A.; Balcázar-Zumaeta, C.R.; et al. Exploring Chemical Properties of Essential Oils from Citrus Peels Using Green Solvent. Heliyon 2024, 10, e40088. [Google Scholar] [CrossRef] [PubMed]
- Assadpour, E.; Jafari, S.M. Advances in Spray-Drying Encapsulation of Food Bioactive Ingredients: From Microcapsules to Nanocapsules. Annu. Rev. Food Sci. Technol. 2019, 10, 103–131. [Google Scholar] [CrossRef]
- Saifullah, M.; Shishir, M.R.I.; Ferdowsi, R.; Tanver Rahman, M.R.; Van Vuong, Q. Micro and Nano Encapsulation, Retention and Controlled Release of Flavor and Aroma Compounds: A Critical Review. Trends Food Sci. Technol. 2019, 86, 230–251. [Google Scholar] [CrossRef]
- Guía-García, J.L.; Charles-Rodríguez, A.V.; Reyes-Valdés, M.H.; Ramírez-Godina, F.; Robledo-Olivo, A.; García-Osuna, H.T.; Cerqueira, M.A.; Flores-López, M.L. Micro and Nanoencapsulation of Bioactive Compounds for Agri-Food Applications: A Review. Ind. Crops Prod. 2022, 186, 115198. [Google Scholar] [CrossRef]
- Murray, B.S.; Phisarnchananan, N. Whey Protein Microgel Particles as Stabilizers of Waxy Corn Starch + Locust Bean Gum Water-in-Water Emulsions. Food Hydrocoll. 2016, 56, 161–169. [Google Scholar] [CrossRef]
- Chevalier, Y.; Bolzinger, M.-A. Emulsions Stabilized with Solid Nanoparticles: Pickering Emulsions. Colloids Surf. A Physicochem. Eng. Asp. 2013, 439, 23–34. [Google Scholar] [CrossRef]
- Nawaz, H.; Hanif, M.A.; Ayub, M.A.; Ishtiaq, F.; Kanwal, N.; Rashid, N.; Saleem, M.; Ahmad, M. Raman Spectroscopy for the Evaluation of the Effects of Different Concentrations of Copper on the Chemical Composition and Biological Activity of Basil Essential Oil. Spectrochim. Acta Part A Mol. Biomol. Spectrosc. 2017, 185, 130–138. [Google Scholar] [CrossRef] [PubMed]
- Prommaban, A.; Chaiyana, W. Microemulsion of Essential Oils from Citrus Peels and Leaves with Anti-Aging, Whitening, and Irritation Reducing Capacity. J. Drug Deliv. Sci. Technol. 2022, 69, 103188. [Google Scholar] [CrossRef]
- Krishnan, S.; Bhosale, R.; Singhal, R. Microencapsulation of Cardamom Oleoresin: Evaluation of Blends of Gum Arabic, Maltodextrin and a Modified Starch as Wall Materials. Carbohydr. Polym. 2005, 61, 95–102. [Google Scholar] [CrossRef]
- De Araújo, J.S.F.; De Souza, E.L.; Oliveira, J.R.; Gomes, A.C.A.; Kotzebue, L.R.V.; Da Silva Agostini, D.L.; De Oliveira, D.L.V.; Mazzetto, S.E.; Da Silva, A.L.; Cavalcanti, M.T. Microencapsulation of Sweet Orange Essential Oil (Citrus aurantium var. dulcis) by Liophylization Using Maltodextrin and Maltodextrin/Gelatin Mixtures: Preparation, Characterization, Antimicrobial and Antioxidant Activities. Int. J. Biol. Macromol. 2020, 143, 991–999. [Google Scholar] [CrossRef] [PubMed]
- Rezende, Y.R.R.S.; Nogueira, J.P.; Narain, N. Microencapsulation of Extracts of Bioactive Compounds Obtained from Acerola (Malpighia Emarginata DC) Pulp and Residue by Spray and Freeze Drying: Chemical, Morphological and Chemometric Characterization. Food Chem. 2018, 254, 281–291. [Google Scholar] [CrossRef]
- Di Giorgio, L.; Salgado, P.R.; Mauri, A.N. Encapsulation of Fish Oil in Soybean Protein Particles by Emulsification and Spray Drying. Food Hydrocoll. 2019, 87, 891–901. [Google Scholar] [CrossRef]
- Hashim, N.A.; Mohd Norzi, M.F.A.; Mohd Arshad, Z.I.; Mohd Azman, N.A.; Abdul Mudalip, S.K. Effect of Spray Drying Parameters on the Physicochemical Properties and Oxidative Stability of Oil from Menhaden (Brevoortia spp.) and Asian Swamp Eel (Monopterus Albus) Oil Extract Microcapsules. Food Chem. Adv. 2023, 3, 100392. [Google Scholar] [CrossRef]
- Ferraz, M.C.; Procopio, F.R.; Furtado, G.D.F.; Hubinger, M.D. Co-Encapsulation of Paprika and Cinnamon Oleoresin by Spray Drying Using Whey Protein Isolate and Maltodextrin as Wall Material: Development, Characterization and Storage Stability. Food Res. Int. 2022, 162, 112164. [Google Scholar] [CrossRef] [PubMed]
- Radünz, M.; Dos Santos Hackbart, H.C.; Camargo, T.M.; Nunes, C.F.P.; De Barros, F.A.P.; Dal Magro, J.; Filho, P.J.S.; Gandra, E.A.; Radünz, A.L.; Da Rosa Zavareze, E. Antimicrobial Potential of Spray Drying Encapsulated Thyme (Thymus vulgaris) Essential Oil on the Conservation of Hamburger-like Meat Products. Int. J. Food Microbiol. 2020, 330, 108696. [Google Scholar] [CrossRef]
- Papoutsis, K.; Golding, J.B.; Vuong, Q.; Pristijono, P.; Stathopoulos, C.E.; Scarlett, C.J.; Bowyer, M. Encapsulation of Citrus By-Product Extracts by Spray-Drying and Freeze-Drying Using Combinations of Maltodextrin with Soybean Protein and ι-Carrageenan. Foods 2018, 7, 115. [Google Scholar] [CrossRef]
- Khalifa, I.; Li, M.; Mamet, T.; Li, C. Maltodextrin or Gum Arabic with Whey Proteins as Wall-Material Blends Increased the Stability and Physiochemical Characteristics of Mulberry Microparticles. Food Biosci. 2019, 31, 100445. [Google Scholar] [CrossRef]
- Balcázar-Zumaeta, C.R.; Pajuelo-Muñoz, A.J.; Trigoso-Rojas, D.F.; Iliquin-Chavez, A.F.; Fernández-Romero, E.; Yoplac, I.; Muñoz-Astecker, L.D.; Rodríguez-Hamamura, N.; Maza Mejía, I.M.; Cayo-Colca, I.S.; et al. Reduction in the Cocoa Spontaneous and Starter Culture Fermentation Time Based on the Antioxidant Profile Characterization. Foods 2023, 12, 3291. [Google Scholar] [CrossRef] [PubMed]
- Smeriglio, A.; Alloisio, S.; Raimondo, F.M.; Denaro, M.; Xiao, J.; Cornara, L.; Trombetta, D. Essential Oil of Citrus lumia risso: Phytochemical Profile, Antioxidant Properties and Activity on the Central Nervous System. Food Chem. Toxicol. 2018, 119, 407–416. [Google Scholar] [CrossRef] [PubMed]
- Kim, W.; Wang, Y.; Vongsvivut, J.; Ye, Q.; Selomulya, C. On Surface Composition and Stability of β-Carotene Microcapsules Comprising Pea/Whey Protein Complexes by Synchrotron-FTIR Microspectroscopy. Food Chem. 2023, 426, 136565. [Google Scholar] [CrossRef] [PubMed]
- Lei, M.; Jiang, F.-C.; Cai, J.; Hu, S.; Zhou, R.; Liu, G.; Wang, Y.-H.; Wang, H.-B.; He, J.-R.; Xiong, X.-G. Facile Microencapsulation of Olive Oil in Porous Starch Granules: Fabrication, Characterization, and Oxidative Stability. Int. J. Biol. Macromol. 2018, 111, 755–761. [Google Scholar] [CrossRef] [PubMed]
- Timilsena, Y.P.; Vongsvivut, J.; Tobin, M.J.; Adhikari, R.; Barrow, C.; Adhikari, B. Investigation of Oil Distribution in Spray-Dried Chia Seed Oil Microcapsules Using Synchrotron-FTIR Microspectroscopy. Food Chem. 2019, 275, 457–466. [Google Scholar] [CrossRef]
- Mohammed, J.K.; Mahdi, A.A.; Ma, C.; Elkhedir, A.E.; Al-Maqtari, Q.A.; Al-Ansi, W.; Mahmud, A.; Wang, H. Application of Argun Fruit Polysaccharide in Microencapsulation of Citrus aurantium L. Essential Oil: Preparation, Characterization, and Evaluating the Storage Stability and Antioxidant Activity. Food Meas. 2021, 15, 155–169. [Google Scholar] [CrossRef]
- Mahdi, A.A.; Mohammed, J.K.; Al-Ansi, W.; Ghaleb, A.D.S.; Al-Maqtari, Q.A.; Ma, M.; Ahmed, M.I.; Wang, H. Microencapsulation of Fingered Citron Extract with Gum Arabic, Modified Starch, Whey Protein, and Maltodextrin Using Spray Drying. Int. J. Biol. Macromol. 2020, 152, 1125–1134. [Google Scholar] [CrossRef]
- Karrar, E.; Mahdi, A.A.; Sheth, S.; Mohamed Ahmed, I.A.; Manzoor, M.F.; Wei, W.; Wang, X. Effect of Maltodextrin Combination with Gum Arabic and Whey Protein Isolate on the Microencapsulation of Gurum Seed Oil Using a Spray-Drying Method. Int. J. Biol. Macromol. 2021, 171, 208–216. [Google Scholar] [CrossRef] [PubMed]
- Chew, S.C.; Tan, C.P.; Nyam, K.L. Microencapsulation of Refined Kenaf (Hibiscus cannabinus L.) Seed Oil by Spray Drying Using β-Cyclodextrin/Gum Arabic/Sodium Caseinate. J. Food Eng. 2018, 237, 78–85. [Google Scholar] [CrossRef]
- Mahdi, A.A.; Al-Maqtari, Q.A.; Mohammed, J.K.; Al-Ansi, W.; Cui, H.; Lin, L. Enhancement of Antioxidant Activity, Antifungal Activity, and Oxidation Stability of Citrus reticulata Essential Oil Nanocapsules by Clove and Cinnamon Essential Oils. Food Biosci. 2021, 43, 101226. [Google Scholar] [CrossRef]
- Peng, Q.; Meng, Z.; Luo, Z.; Duan, H.; Ramaswamy, H.S.; Wang, C. Effect of Emulsion Particle Size on the Encapsulation Behavior and Oxidative Stability of Spray Microencapsulated Sweet Orange Oil (Citrus aurantium var. dulcis). Foods 2023, 12, 116. [Google Scholar] [CrossRef]
- Locali, A.R.; Gonçalves, M.; Nicoletti, V.R. Microencapsulation of Pink Pepper Essential Oil: Properties of Spray-Dried Pectin/SPI Double-Layer versus SPI Single-Layer Stabilized Emulsions. Colloids Surf. A Physicochem. Eng. Asp. 2019, 581, 123806. [Google Scholar] [CrossRef]
- Akhavan Mahdavi, S.; Jafari, S.M.; Assadpoor, E.; Dehnad, D. Microencapsulation Optimization of Natural Anthocyanins with Maltodextrin, Gum Arabic and Gelatin. Int. J. Biol. Macromol. 2016, 85, 379–385. [Google Scholar] [CrossRef] [PubMed]
- Shetta, A.; Kegere, J.; Mamdouh, W. Comparative Study of Encapsulated Peppermint and Green Tea Essential Oils in Chitosan Nanoparticles: Encapsulation, Thermal Stability, in-Vitro Release, Antioxidant and Antibacterial Activities. Int. J. Biol. Macromol. 2019, 126, 731–742. [Google Scholar] [CrossRef]
- Marković, J.; Salević-Jelić, A.; Milinčić, D.; Gašić, U.; Pavlović, V.; Rabrenović, B.; Pešić, M.; Lević, S.; Mihajlović, D.; Nedović, V. Horseradish (Armoracia rusticana L.) Leaf Juice Encapsulated within Polysaccharides-Blend-Based Carriers: Characterization and Application as Potential Antioxidants in Mayonnaise Production. Food Chem. 2025, 464, 141777. [Google Scholar] [CrossRef] [PubMed]
- Gao, S.; Qiu, X. Development of Gel-like, High Encapsulation Efficiency and Antibacterial Cinnamaldehyde-Loaded Pickering Emulsion Stabilized by EGCG Enhanced Whey Protein Isolate-Gum Arabic Ternary Nanocomplex. Colloids Surf. A Physicochem. Eng. Asp. 2025, 705, 135742. [Google Scholar] [CrossRef]
- Akbarmehr, A.; Peighambardoust, S.H.; Pourhasan, L.; Sarabandi, K. Spray-Drying Encapsulation of Sunflower Pollen Peptides Using Carbohydrate Polymers: Physicochemical, Antioxidant, Structural and Morphological Analysis. Carbohydr. Polym. Technol. Appl. 2024, 8, 100622. [Google Scholar] [CrossRef]
- Huang, Q.; Zhang, Z. Evaluation of Gum Arabic and Gelatine Coacervated Microcapsule Morphology and Core Oil Encapsulation Efficiency by Combining the Spreading Coefficient and Two Component Surface Energy Theory. Green Chem. Eng. 2024. [Google Scholar] [CrossRef]
- Saah, S.; Siriwan, D.; Trisonthi, P.; Dueramae, S. Physicochemical and Biological Properties of Encapsulated Boesenbergia rotunda Extract with Different Wall Materials in Enhancing Antioxidant, Mineralogenic and Osteogenic Activities of MC3T3-E1 Cells. Saudi Pharm. J. 2024, 32, 101998. [Google Scholar] [CrossRef] [PubMed]
- Minozzo, M.; de Souza, M.A.; Bernardi, J.L.; Puton, B.M.S.; Valduga, E.; Steffens, C.; Paroul, N.; Cansian, R.L. Antifungal Activity and Aroma Persistence of Free and Encapsulated Cinnamomum cassia Essential Oil in Maize. Int. J. Food Microbiol. 2023, 394, 110178. [Google Scholar] [CrossRef]
- Bao, H.; Ding, H.H.; Charles, A.P.R.; Hui, D.; Rakshit, S.; Nahashon, S.; Wu, Y. Application of Yellow Mustard Mucilage in Encapsulation of Essential Oils and Polyphenols Using Spray Drying. Food Hydrocoll. 2023, 143, 108815. [Google Scholar] [CrossRef]
- Aldana-Heredia, J.F.; Hernández-Carrión, M.; Gómez-Franco, J.D.; Narváez-Cuenca, C.-E.; Sánchez-Camargo, A.d.P. Microwave-Assisted Extraction, Encapsulation, and Bioaccessibility of Carotenoids from Organic Tomato Industry by-Product. Innov. Food Sci. Emerg. Technol. 2024, 95, 103706. [Google Scholar] [CrossRef]
- Labuschagne, P. Impact of Wall Material Physicochemical Characteristics on the Stability of Encapsulated Phytochemicals: A Review. Food Res. Int. 2018, 107, 227–247. [Google Scholar] [CrossRef] [PubMed]
- Quan, T.H.; Benjakul, S.; Sae-leaw, T.; Balange, A.K.; Maqsood, S. Protein–Polyphenol Conjugates: Antioxidant Property, Functionalities and Their Applications. Trends Food Sci. Technol. 2019, 91, 507–517. [Google Scholar] [CrossRef]
- Mathew, S.; Abraham, T.E.; Zakaria, Z.A. Reactivity of Phenolic Compounds towards Free Radicals under in Vitro Conditions. J. Food Sci. Technol. 2015, 52, 5790–5798. [Google Scholar] [CrossRef] [PubMed]
- Noshad, M.; Alizadeh Behbahani, B.; Jooyandeh, H.; Rahmati-Joneidabad, M.; Hemmati Kaykha, M.E.; Ghodsi Sheikhjan, M. Utilization of Plantago major Seed Mucilage Containing Citrus limon Essential Oil as an Edible Coating to Improve Shelf-life of Buffalo Meat under Refrigeration Conditions. Food Sci. Nutr. 2021, 9, 1625–1639. [Google Scholar] [CrossRef]
- Kamal, G.M.; Ashraf, M.; Hussain, A.; Shahzadi, A.; Chughtai, M.I. Antioxidant Potential of Peel Essential Oils of Three Pakistani citrus species: Citrus reticulata, Citrus sinensis and Citrus paradisii. Pak. J. Bot. 2013, 45, 1449–1454. [Google Scholar]
- Campelo, P.H.; Sanches, E.A.; Fernandes, R.V.D.B.; Botrel, D.A.; Borges, S.V. Stability of Lime Essential Oil Microparticles Produced with Protein-Carbohydrate Blends. Food Res. Int. 2018, 105, 936–944. [Google Scholar] [CrossRef]
- Moosavy, M.-H.; Hassanzadeh, P.; Mohammadzadeh, E.; Mahmoudi, R.; Khatibi, A.; Mardani, K. Antioxidant and Antimicrobial Activities of Essential Oil of Lemon (Citrus limon) Peel in Vitro and in a Food Model. J. Food Qual. Hazards Control 2017, 4, 42–48. [Google Scholar]
- Himed, L.; Merniz, S.; Monteagudo-Olivan, R.; Barkat, M.; Coronas, J. Antioxidant Activity of the Essential Oil of Citrus limon before and after Its Encapsulation in Amorphous SiO2. Sci. Afr. 2019, 6, e00181. [Google Scholar] [CrossRef]
- Yi, F.; Jin, R.; Sun, J.; Ma, B.; Bao, X. Evaluation of Mechanical-Pressed Essential Oil from Nanfeng Mandarin (Citrus reticulata blanco cv. kinokuni) as a Food Preservative Based on Antimicrobial and Antioxidant Activities. LWT 2018, 95, 346–353. [Google Scholar] [CrossRef]
- Kang, Z.; Chen, S.; Zhou, Y.; Ullah, S.; Liang, H. Rational Construction of Citrus Essential Oil Nanoemulsion with Robust Stability and High Antimicrobial Activity Based on Combination of Emulsifiers. Innov. Food Sci. Emerg. Technol. 2022, 80, 103110. [Google Scholar] [CrossRef]
- Dao, T.P.; Quyen, N.T.C.; Nhi, T.T.Y.; Nguyen, C.C.; Nguyen, T.T.; Le, X.T. Response Surface Methodology for Optimization Studies of Hydro-Distillation of Essential Oil from Pixie Mandarin (Citrus reticulata blanco) Peels. Pol. J. Chem. Technol. 2021, 23, 26–34. [Google Scholar] [CrossRef]
- Sakulnarmrat, K.; Wongsrikaew, D.; Konczak, I. Microencapsulation of Red Cabbage Anthocyanin-Rich Extract by Drum Drying Technique. LWT 2021, 137, 110473. [Google Scholar] [CrossRef]
- Zhang, R.; Zhou, L.; Li, J.; Oliveira, H.; Yang, N.; Jin, W.; Zhu, Z.; Li, S.; He, J. Microencapsulation of Anthocyanins Extracted from Grape Skin by Emulsification/Internal Gelation Followed by Spray/Freeze-Drying Techniques: Characterization, Stability and Bioaccessibility. LWT 2020, 123, 109097. [Google Scholar] [CrossRef]
- Fernandes, L.P.; Candido, R.C.; Oliveira, W.P. Spray Drying Microencapsulation of Lippia sidoides Extracts in Carbohydrate Blends. Food Bioprod. Process. 2012, 90, 425–432. [Google Scholar] [CrossRef]
- Da Rocha, C.B.; Noreña, C.P.Z. Microencapsulation and Controlled Release of Bioactive Compounds from Grape Pomace. Dry. Technol. 2021, 39, 1018–1032. [Google Scholar] [CrossRef]
- Borba, A.; Gómez-Zavaglia, A. Infrared Spectroscopy: An Underexploited Analytical Tool for Assessing Physicochemical Properties of Food Products and Processing. Curr. Opin. Food Sci. 2023, 49, 100953. [Google Scholar] [CrossRef]
- Marques, B.L.M.; Passos, T.S.; Dantas, A.I.; De Lima, M.A.A.; Moreira, S.M.G.; Rodrigues, V.M.; Do Nascimento Dantas, M.R.; Lopes, P.S.; Gomes, A.P.B.; Da Silva Fernandes, R.; et al. Nanoencapsulation of Quinoa Oil Enhanced the Antioxidant Potential and Inhibited Digestive Enzymes. Food Res. Int. 2024, 196, 115066. [Google Scholar] [CrossRef] [PubMed]
- Hadidi, M.; Motamedzadegan, A.; Jelyani, A.Z.; Khashadeh, S. Nanoencapsulation of Hyssop Essential Oil in Chitosan-Pea Protein Isolate Nano-Complex. LWT 2021, 144, 111254. [Google Scholar] [CrossRef]
- Mohammadi, B.; Shekaari, H.; Zafarani-Moattar, M.T. Study of the Nano-Encapsulated Vitamin D3 in the Bio-Based Phase Change Material: Synthesis and Characteristics. J. Mol. Liq. 2022, 350, 118484. [Google Scholar] [CrossRef]
- Li, G.; Zhou, Q.; Liu, S.; Qian, C.; Han, J.; Zhou, T.; Li, P.; Gu, Q. Effect of Tribute Citrus Essential Oil Nanoemulsion-Loaded Gelatin on the Gel Behavior and Gelation Surface Morphologies. Food Biosci. 2023, 51, 102322. [Google Scholar] [CrossRef]
- Samling, B.A.; Assim, Z.; Tong, W.-Y.; Leong, C.-R.; Rashid, S.A.; Nik Mohamed Kamal, N.N.S.; Muhamad, M.; Tan, W.-N. Cynometra cauliflora Essential Oils Loaded-Chitosan Nanoparticles: Evaluations of Their Antioxidant, Antimicrobial and Cytotoxic Activities. Int. J. Biol. Macromol. 2022, 210, 742–751. [Google Scholar] [CrossRef]
- Siva, S.; Li, C.; Cui, H.; Meenatchi, V.; Lin, L. Encapsulation of Essential Oil Components with Methyl-β-Cyclodextrin Using Ultrasonication: Solubility, Characterization, DPPH and Antibacterial Assay. Ultrason. Sonochem. 2020, 64, 104997. [Google Scholar] [CrossRef] [PubMed]









| EO (mL) | Amount of Encapsulating Wall 1 (g) | ||||
|---|---|---|---|---|---|
| MD/GA | MD/CAS | GA/CAS | GA/MD/CAS | ||
| Orange: | 5 | 17 | 17 | 17 | 17 |
| Mandarin: | 7.25 | 24 | 24 | 24 | 24 |
| Lime: | 6.25 | 21 | 21 | 21 | 21 |
| Sweet lime: | 5 | 17 | 17 | 17 | 17 |
| Formulation | Moisture Content (%) | Solubility (%) | Hygroscopicity (%) | EE (%) | |
|---|---|---|---|---|---|
| Sweet lemon | GA/MD | 6.80 ± 00 a | 90 ± 3.27 a | 6 ± 30.55 d | 75.5 ± 0.98 a |
| GA/CAS | 6.07 ± 00 b | 48 ± 1.63 c | 8.50 ± 1.00 c | 66.5 ± 1.04 c | |
| MD/CAS | 5.04 ± 00 c | 48 ± 7.11 c | 16.5 ± 1.00 a | 75.3 ± 0.50 a | |
| GA/MD/CAS | 4.57 ± 00 d | 63 ± 1.15 b | 12.5 ± 1.00 b | 69.8 ± 0.72 b | |
| Mandarin | GA/MD | 6.06 ± 00 c | 91.5 ± 3.00 a | 7 ± 1.15 b | 68.9 ± 13.1 a |
| GA/CAS | 7.36 ± 00 a | 78.5 ± 2.52 b | 8 ± 00 b | 65.2 ± 0.71 a | |
| MD/CAS | 5.01 ± 00 d | 74.5 ± 3.00 b | 16 ± 3.55 a | 65.4 ± 0.66 a | |
| GA/MD/CAS | 6.14 ± 00 b | 59.5 ± 1.00 c | 8.5 ± 1.00 b | 64.3 ± 1.00 a | |
| Lime | GA/MD | 5.68 ± 00 b | 79.5 ± 12.5 a | 7.5 ± 1.00 b | 68.5 ± 0.95 a |
| GA/CAS | 7.34 ± 00 a | 43.5 ± 1.91 c | 11 ± 1.15 a | 56.9 ± 1.59 bc | |
| MD/CAS | 4.23 ± 00 d | 45.5 ± 4.43 c | 6.5 ± 1.00 b | 54.8 ± 1.39 c | |
| GA/MD/CAS | 5.11 ± 00 c | 62.5 ± 4.43 b | 7 ± 1.15 b | 57.9 ± 1.64 b | |
| Orange | GA/MD | 5.07 ± 00 b | 93.5 ± 1.00 a | 10 ± 00 a | 41.9 ± 4.27 a |
| GA/CAS | 4.55 ± 00 d | 52.5 ± 1.00 c | 10 ± 00 a | 25.9 ± 5.25 b | |
| MD/CAS | 4.78 ± 00 c | 52 ± 7.11 c | 8 ± 3.55 b | 23.9 ± 2.00 b | |
| GA/MD/CAS | 6.24 ± 00 a | 61 ± 1.15 b | 7 ± 1.15 b | 29.5 ± 2.00 b | |
| Formulation | TPC (mg GAE/g) | DPPH (% Inhibition) | ABTS+ (µmol TE/g) | |
|---|---|---|---|---|
| Sweet lemon | GA/MD | 167 ± 6.67 c | 80.7 ± 2.62 a | 1644 ± 35.8 b |
| GA/CAS | 228 ± 7.08 a | 69.1 ± 1.66 b | 1537 ± 20.3 c | |
| MD/CAS | 168 ± 3.42 c | 67.2 ± 1.00 b | 1352 ± 6.29 d | |
| GA/MD/CAS | 205 ± 4.92 b | 79.3 ± 0.77 a | 1709 ± 18.2 a | |
| Mandarin | GA/MD | 131 ± 55.0 a | 69.5 ± 1.66 a | 1255 ± 43.5 c |
| GA/CAS | 146 ± 2.99 a | 69.0 ± 1.70 a | 1509 ± 25.8 b | |
| MD/CAS | 146 ± 2.78 a | 71.3 ± 1.25 a | 1512 ± 50.1 b | |
| GA/MD/CAS | 150 ± 4.21 a | 71.9 ± 1.83 a | 1599 ± 11.6 a | |
| Lime | GA/MD | 68.6 ± 2.06 c | 70.1 ± 1.62 a | 1090 ± 10.3 b |
| GA/CAS | 93.8 ± 3.47 ab | 68.1 ± 1.56 a | 1198 ± 16.8 a | |
| MD/CAS | 98.4 ± 3.03 a | 69.7 ± 1.80 a | 1219 ± 5.95 a | |
| GA/MD/CAS | 91.8 ± 3.57 b | 68.7 ± 1.82 a | 1099 ± 27.9 b | |
| Orange | GA/MD | 65.5 ± 4.82 b | 69.5 ± 1.47 a | 1012 ± 25.7 b |
| GA/CAS | 83.5 ± 5.92 a | 68.0 ± 0.45 ab | 1059 ± 13.6 a | |
| MD/CAS | 85.8 ± 2.25 a | 68.4 ± 1.92 ab | 1010 ± 27.5 b | |
| GA/MD/CAS | 79.5 ± 2.25 a | 66.5 ± 1.23 b | 1024 ± 9.68 ab | |
Disclaimer/Publisher’s Note: The statements, opinions and data contained in all publications are solely those of the individual author(s) and contributor(s) and not of MDPI and/or the editor(s). MDPI and/or the editor(s) disclaim responsibility for any injury to people or property resulting from any ideas, methods, instructions or products referred to in the content. |
© 2025 by the authors. Licensee MDPI, Basel, Switzerland. This article is an open access article distributed under the terms and conditions of the Creative Commons Attribution (CC BY) license (https://creativecommons.org/licenses/by/4.0/).
Share and Cite
Mori-Mestanza, D.; Valqui-Rojas, I.; Caetano, A.C.; Culqui-Arce, C.; Cruz-Lacerna, R.; Cayo-Colca, I.S.; Castro-Alayo, E.M.; Balcázar-Zumaeta, C.R. Physicochemical Properties of Nanoencapsulated Essential Oils: Optimizing D-Limonene Preservation. Polymers 2025, 17, 348. https://doi.org/10.3390/polym17030348
Mori-Mestanza D, Valqui-Rojas I, Caetano AC, Culqui-Arce C, Cruz-Lacerna R, Cayo-Colca IS, Castro-Alayo EM, Balcázar-Zumaeta CR. Physicochemical Properties of Nanoencapsulated Essential Oils: Optimizing D-Limonene Preservation. Polymers. 2025; 17(3):348. https://doi.org/10.3390/polym17030348
Chicago/Turabian StyleMori-Mestanza, Diner, Iraida Valqui-Rojas, Aline C. Caetano, Carlos Culqui-Arce, Rosita Cruz-Lacerna, Ilse S. Cayo-Colca, Efraín M. Castro-Alayo, and César R. Balcázar-Zumaeta. 2025. "Physicochemical Properties of Nanoencapsulated Essential Oils: Optimizing D-Limonene Preservation" Polymers 17, no. 3: 348. https://doi.org/10.3390/polym17030348
APA StyleMori-Mestanza, D., Valqui-Rojas, I., Caetano, A. C., Culqui-Arce, C., Cruz-Lacerna, R., Cayo-Colca, I. S., Castro-Alayo, E. M., & Balcázar-Zumaeta, C. R. (2025). Physicochemical Properties of Nanoencapsulated Essential Oils: Optimizing D-Limonene Preservation. Polymers, 17(3), 348. https://doi.org/10.3390/polym17030348

