Heat-Responsive PLA/PU/MXene Shape Memory Polymer Blend Nanocomposite: Mechanical, Thermal, and Shape Memory Properties
Abstract
1. Introduction
2. Materials and Methods
2.1. Materials
2.2. Blend Nanocomposite Samples Fabrication
2.3. Microstructure
2.4. Mechanical Test
2.5. Thermal Properties
2.6. Shape Memory Test
3. Results and Discussion
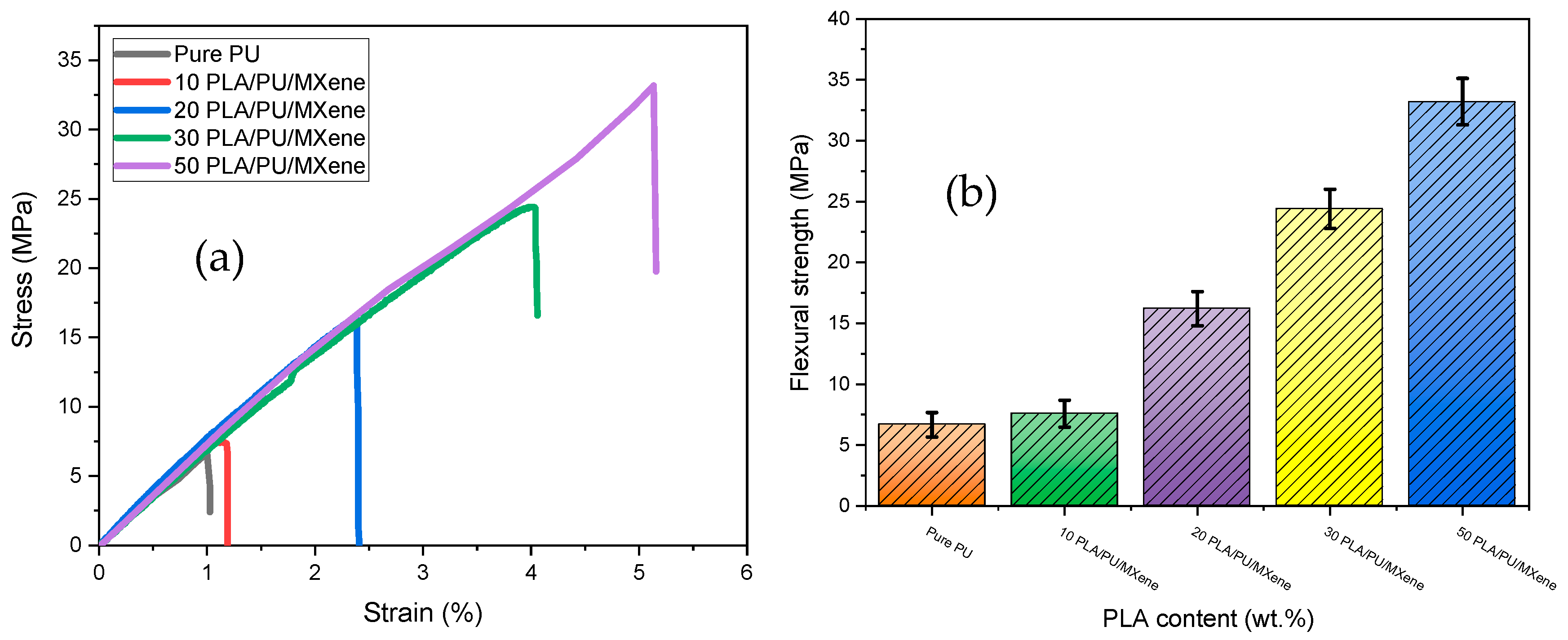
3.1. Tensile Properties
3.2. Flexural Properties
3.3. Thermal Behavior
3.3.1. DSC
3.3.2. TGA and DTG
3.4. Shape Memory Behavior
4. Conclusions
- The 50% PLA/PU/MXene blend nanocomposite showed a 300% upsurge in ultimate tensile strength and a 90% decrease in % elongation compared to pure PU.
- The highest flexural strength value is observed for the 50% PLA/PU/MXene blend nanocomposite sample, which increased to 400% from pure PU.
- The microstructure results confirmed the dispersed pores and sea–island morphology for pure PU and 50% PLA/PU/MXene blend nanocomposite sample.
- The DSC results show an increase in % crystallinity from 33% (pure PU) to 45% for the 50% PLA/PU/MXene blend nanocomposite, highlighting enhanced crystalline domains due to PLA’s semi-crystalline nature and MXene’s role in improving molecular ordering and interfacial bonding.
- The onset temperature increased from 185 °C (pure PU) to 212 °C (50% PLA/PU/MXene), while the degradation temperature rose from 370 °C to 425 °C, highlighting improved thermal stability due to PLA’s rigidity and MXene’s stabilizing effect.
- The 30% PLA/PU/MXene blend exhibited the best shape fixity and recovery ratios across cycles, achieving an optimal balance between PLA’s rigidity and PU’s flexibility, while excessive PLA content reduced performance.
Author Contributions
Funding
Institutional Review Board Statement
Data Availability Statement
Acknowledgments
Conflicts of Interest
Abbreviations
| 4D | Four-dimensional |
| SMP | Shape memory polymer |
| SMPC | Shape memory polymer composite |
| TPU | Thermoplastic polyurethane |
| PLA | Polylactic acid |
| PU | Polyurethane |
| MXene | Titanium carbide (Ti3C2) |
| TGA | Thermogravimetric analysis |
| DSC | Differential scanning calorimetry |
| DMA | Dynamic mechanical analysis |
| SEM | Scanning electron microscopy |
| ASTM | American Society for Testing and Materials |
| Tg | Glass transition temperature |
| Tm | Melting temperature |
| Rf | Shape fixity ratio |
| Rr | Shape recovery ratio |
| CNT | Carbon nanotube |
| Gr | Graphene |
| CR | Chloroprene rubber |
| PC | Polycarbonate |
| PP | Polypropylene |
| PVDF | Polyvinylidene fluoride |
| p-PVC | Plasticized polyvinyl chloride |
| DTG | Derivative thermogravimetric analysis |
| SMPU | Shape memory polyurethane |
| wt.% | Weight percentage |
| EBG | Ethylene butyl acrylate copolymer |
References
- Hassan, M.; Mohanty, A.K.; Misra, M. 3D Printing in Upcycling Plastic and Biomass Waste to Sustainable Polymer Blends and Composites: A Review. Mater. Des. 2024, 237, 112558. [Google Scholar] [CrossRef]
- Pradhan, S.; Sahu, S.K.; Pramanik, J.; Badgayan, N.D. An Insight into Mechanical and Thermal Properties of Shape Memory Polymer Reinforced with Nanofillers; A Critical Review. Mater. Today Proc. 2022, 50, 1107–1112. [Google Scholar] [CrossRef]
- Nayak, A.; Rama Sreekanth, P.S.; Sahu, S.K.; Sahu, D. Structural Tuning of Low Band Gap Intermolecular Push/Pull Side-Chain Polymers for Organic Photovoltaic Applications. Chin. J. Polym. Sci. 2017, 35, 1073–1085. [Google Scholar] [CrossRef]
- Ragab, H.M.; Diab, N.S.; Khaled, A.M.; Al Ojeery, A.; Al-Hakimi, A.N.; Farea, M.O. Incorporating Hybrid Ag/Co2O3 Nanofillers into PVP/CS Blends for Multifunctional Optoelectronic and Nanodielectric Applications. Ceram. Int. 2024, 50, 1254–1262. [Google Scholar] [CrossRef]
- Fredi, G.; Dorigato, A. Compatibilization of Biopolymer Blends: A Review. Adv. Ind. Eng. Polym. Res. 2024, 7, 373–404. [Google Scholar] [CrossRef]
- Zhang, J.; Xu, M.; Zhang, N.; Wang, T.; Zhang, Y.; Yang, Z.; Wang, Q. Advances and Applications of 4D-Printed High-Strength Shape Memory Polymers. Addit. Manuf. Front. 2024, 3, 200115. [Google Scholar] [CrossRef]
- Sanaka, R.; Sahu, S.K.; Sreekanth, P.R.; Senthilkumar, K.; Badgayan, N.D.; Siva, B.V.; Ma, Q. A Review of the Current State of Research and Future Prospectives on Stimulus-Responsive Shape Memory Polymer Composite and Its Blends. J. Compos. Sci. 2024, 8, 324. [Google Scholar] [CrossRef]
- Sharma, A.; Kaur, I.P.; Gao, F.; Verma, G. Inclusion Complex-Based Multifunctional Polyurethane Antibacterial Coatings with Excellent Mechanical and Thermal Properties. J. Coat. Technol. Res. 2024, 21, 1291–1309. [Google Scholar] [CrossRef]
- Backes, E.H.; Harb, S.V.; Pinto, L.A.; Moura, N.K.; Melo Morgado, G.F.; Marini, J.; Passador, F.R.; Pessan, L.A. Thermoplastic Polyurethanes: Synthesis, Fabrication Techniques, Blends, Composites, and Applications. J. Mater. Sci. 2024, 59, 1123–1152. [Google Scholar] [CrossRef]
- Jamil, H.; Faizan, M.; Adeel, M.; Jesionowski, T.; Boczkaj, G.; Balčiūnaitė, A. Recent Advances in Polymer Nanocomposites: Unveiling the Frontier of Shape Memory and Self-Healing Properties—A Comprehensive Review. Molecules 2024, 29, 1267. [Google Scholar] [CrossRef]
- Sahu, S.K.; Sreekanth, P.R. Artificial Neural Network for Prediction of Mechanical Properties of HDPE-Based Nanodiamond Nanocomposite. Polym. Korea 2022, 46, 614–620. [Google Scholar] [CrossRef]
- Mohammadzadeh Koumleh, S.; Khoubi-Arani, Z.; Rahmani, S. A Review on Shape-Memory Polyurethane Nanocomposites: Focusing on the Most Important Used Nanofillers. Polym. Eng. Sci. 2023, 63, 3537–3554. [Google Scholar] [CrossRef]
- Tyagi, M.; Rawat, R.S.; Tyagi, V.K.; Talwar, M.; Kumar, M.; Das, M.; Roy, P. Study on Mechanical, Thermal, and Shape Memory Properties of Polycarbonate/Thermoplastic Polyurethane Blends. J. Appl. Polym. Sci. 2024, 141, e55259. [Google Scholar] [CrossRef]
- Lin, T.A.; Lou, C.W.; Lin, J.H. The Effects of Thermoplastic Polyurethane on the Structure and Mechanical Properties of Modified Polypropylene Blends. Appl. Sci. 2017, 7, 1254. [Google Scholar] [CrossRef]
- Bajsic, E.G. Blends of Thermoplastic Polyurethane and Polypropylene. I. Mechanical and Phase Behavior. J. Appl. Polym. Sci. 2007, 104, 3980–3985. [Google Scholar] [CrossRef]
- Kim, Y.; Cho, W.J.; Ha, C.S. Dynamic Mechanical and Morphological Studies on the Compatibility of Plasticized PVC/Thermoplastic Polyurethane Blends. J. Appl. Polym. Sci. 1999, 71, 415–422. [Google Scholar] [CrossRef]
- Yue, M.Z.; Chian, K.S. Mechanical Properties and Morphology of Thermoplastic Polyurethane Elastomer with Poly(Vinylidene Fluoride) Blends. J. Appl. Polym. Sci. 1996, 60, 597–603. [Google Scholar] [CrossRef]
- Bernardes, G.P.; Da Rosa Luiz, N.; Santana, R.M.C.; De Camargo Forte, M.M. Influence of Morphology and Viscoelasticity on Thermomechanical Properties of Poly(Lactic Acid)/Thermoplastic Polyurethane Blends Compatibilized with Ethylene-Ester Copolymer. J. Appl. Polym. Sci. 2020, 137, 31. [Google Scholar] [CrossRef]
- Raja, M.; Ryu, S.H.; Shanmugharaj, A.M. Thermal, Mechanical, and Electroactive Shape Memory Properties of Polyurethane (PU)/Poly(Lactic Acid) (PLA)/CNT Nanocomposites. Eur. Polym. J. 2013, 49, 3492–3500. [Google Scholar] [CrossRef]
- McLellan, K.; Li, T.; Sun, Y.C.; Jakubinek, M.B.; Naguib, H.E. 4D Printing of MXene Composites for Deployable Actuating Structures. ACS Appl. Polym. Mater. 2022, 4, 8774–8785. [Google Scholar] [CrossRef]
- Syahir, A.; Piah, M.M.; Alhadadi, W.; Hafidzah, F.; Desa, M.S.Z.; Noor, M.Z.M.; Norazmi, M.; Ramli, A. Mechanical and Thermal Properties of Polyurethane/Neoprene/Graphene Blends. IOP Conf. Ser. Mater. Sci. Eng. 2020, 736, 052028. [Google Scholar] [CrossRef]
- Hamidi, N.; Abdullah, J.; Shuib, R.K.; Aziz, I.; Namazi, H. 4D Printing of Polylactic Acid (PLA)/Thermoplastic Polyurethane (TPU) Shape Memory Polymer–A Review. Eng. Res. Express 2024, 6, 012402. [Google Scholar] [CrossRef]
- Li, J.; Masghouni, E.; Granger, M.; Sudre, G.; Alcouffe, P.; Muller, D.; Nguyen, V.S.; Bayard, B.; Serghei, A.; Sauviac, B.; et al. Design, Processing, and Challenges of Multicomponent Polymer Composites for Improved Electromagnetic Interference Shielding Properties: A Review. Macromol. Mater. Eng. 2024, 309, 2300344. [Google Scholar] [CrossRef]
- Sanaka, R.; Sahu, S.K. Experimental Investigation into Mechanical, Thermal, and Shape Memory Behavior of Thermoresponsive PU/MXene Shape Memory Polymer Nanocomposite. Heliyon 2024, 10, e24014. [Google Scholar] [CrossRef]
- Nagarajan, V.; Mohanty, A.K.; Misra, M. Perspective on Polylactic Acid (PLA) Based Sustainable Materials for Durable Applications: Focus on Toughness and Heat Resistance. ACS Sustain. Chem. Eng. 2016, 4, 2899–2916. [Google Scholar] [CrossRef]
- Mi, H.Y.; Salick, M.R.; Jing, X.; Jacques, B.R.; Crone, W.C.; Peng, X.F.; Turng, L.S. Characterization of Thermoplastic Polyurethane/Polylactic Acid (TPU/PLA) Tissue Engineering Scaffolds Fabricated by Microcellular Injection Molding. Mater. Sci. Eng. C 2013, 33, 4767–4776. [Google Scholar] [CrossRef]
- Gopinath, S.; Adarsh, N.N.; Nair, P.R.; Mathew, S. One-Way Thermo-Responsive Shape Memory Polymer Nanocomposite Derived from Polycaprolactone and Polystyrene-Block-Polybutadiene-Block-Polystyrene Packed with Carbon Nanofiber. Mater. Today Commun. 2020, 22, 100802. [Google Scholar] [CrossRef]
- Song, J.J.; Chang, H.H.; Naguib, H.E. Design and Characterization of Biocompatible Shape Memory Polymer (SMP) Blend Foams with a Dynamic Porous Structure. Polymer 2015, 56, 82–92. [Google Scholar] [CrossRef]
- Zhao, X.; Hu, H.; Wang, X.; Yu, X.; Zhou, W.; Peng, S. Super Tough Poly(Lactic Acid) Blends: A Comprehensive Review. RSC Adv. 2020, 10, 13316–13368. [Google Scholar] [CrossRef] [PubMed]
- Pinto, L.A.; Backes, E.H.; Harb, S.V.; Pinto, G.M.; da Cunha, D.A.L.V.; Andrade, R.J.E.; Fechine, G.J.M.; Selistre-de-Araújo, H.S.; Costa, L.C.; Pessan, L.A. Shape Memory Thermoplastic Polyurethane/Polycaprolactone Blend and Composite with Hydroxyapatite for Biomedical Application. J. Mater. Res. 2024, 39, 90–106. [Google Scholar] [CrossRef]
- Lai, S.M.; Wu, S.H.; Lin, G.G.; Don, T.M. Unusual Mechanical Properties of Melt-Blended Poly(Lactic Acid) (PLA)/Clay Nanocomposites. Eur. Polym. J. 2014, 52, 193–206. [Google Scholar] [CrossRef]
- Li, X.; Lin, Y.; Liu, M.; Meng, L.; Li, C. A Review of Research and Application of Polylactic Acid Composites. J. Appl. Polym. Sci. 2023, 140, e53477. [Google Scholar] [CrossRef]
- Yan, X.; Fang, J.; Gu, J.; Zhu, C.; Qi, D. Flame Retardancy, Thermal and Mechanical Properties of Novel Intumescent Flame Retardant/MXene/Poly(Vinyl Alcohol) Nanocomposites. Nanomaterials 2022, 12, 477. [Google Scholar] [CrossRef] [PubMed]
- Nagarajan, V.; Zhang, K.; Misra, M.; Mohanty, A.K. Overcoming the Fundamental Challenges in Improving the Impact Strength and Crystallinity of PLA Biocomposites: Influence of Nucleating Agent and Mold Temperature. ACS Appl. Mater. Interfaces 2015, 7, 11203–11214. [Google Scholar] [CrossRef]
- Nugroho, W.T.; Dong, Y.; Pramanik, A.; Leng, J.; Ramakrishna, S. Smart Polyurethane Composites for 3D or 4D Printing: General-Purpose Use, Sustainability and Shape Memory Effect. Compos. Part B Eng. 2021, 223, 109104. [Google Scholar] [CrossRef]
- Luo, Z.; Cheng, W.; Zhao, T.; Xiang, N. Intelligent Sensory Systems Toward Soft Robotics. Appl. Mater. Today 2024, 37, 102122. [Google Scholar] [CrossRef]
- Chen, C.T.; Zhang, Y.X. Integrated Design and Manufacturing of a Soft Robotic Glove with Piezoresistive Sensors. Sens. Actuators A Phys. 2024, 372, 115349. [Google Scholar] [CrossRef]
- Farid, M.I.; Wu, W.; Li, G.; Yu, Z. Research on 3D Printing Composite Material Mechanical Characterization of Robust Soft-Matter Robots. Int. J. Adv. Manuf. Technol. 2024, 130, 4401–4414. [Google Scholar] [CrossRef]
- Ranjan, N.; Tyagi, R.; Kumar, R.; Babbar, A. 3D Printing Applications of Thermo-Responsive Functional Materials: A Review. Adv. Mater. Process. Technol. 2024, 10, 1977–1993. [Google Scholar] [CrossRef]
- Lu, L.; Niu, W.; Li, J.; Xing, Y.; Yang, Y.; Xu, J.; Zhang, F. Rapid Photo-Responsive Self-Healing Cross-Linked Polyurea/Polydopamine Nanocomposites with Multiple Dynamic Bonds and Bio-Based Rosin. Compos. Sci. Technol. 2024, 254, 110693. [Google Scholar] [CrossRef]
- Zhong, T.; Jiang, Z.; Xu, C.; Zhen, Q. Thermoplastic Polyurethane/Graphene Oxide Composite Membrane Actuatable by Infrared Irradiation or Humidity Change. Mater. Chem. Phys. 2024, 320, 129478. [Google Scholar] [CrossRef]
- Xiang, Z.; Chen, H.; Xu, B.; Wang, H.; Zhang, T.; Guan, X.; Ma, Z.; Liang, K.; Shi, Q. Gelatin/Heparin Coated Bio-Inspired Polyurethane Composite Fibers to Construct Small-Caliber Artificial Blood Vessel Grafts. Int. J. Biol. Macromol. 2024, 269, 131849. [Google Scholar] [CrossRef] [PubMed]
- Karadeli, H.H.; Kuram, E. Single Component Polymers, Polymer Blends, and Polymer Composites for Interventional Endovascular Embolization of Intracranial Aneurysms. Macromol. Biosci. 2024, 24, 2300432. [Google Scholar] [CrossRef] [PubMed]
- Gu, Y.; Zhou, Z.; Sun, Y.; Gao, S.; Yu, C.; Ouyang, C. Perioperative Outcomes: Polycarbonate Polyurethane Artificial Blood Vessel Versus Polyester Artificial Blood Vessel. J. Endovasc. Ther. 2024, 16, 15266028241283363. [Google Scholar] [CrossRef] [PubMed]
- Yesaswi, C.S.; Sahu, S.K.; Sreekanth, P.R. Experimental Investigation of Electro-Mechanical Behavior of Silver-Coated Teflon Fabric-Reinforced Nafion Ionic Polymer Metal Composite with Carbon Nanotubes and Graphene Nanoparticles. Polymers 2022, 14, 5497. [Google Scholar] [CrossRef]
- Zheng, M.; Liu, M.; Cheng, Y.; Chen, W.; Wang, L.; Qin, X. Stimuli-Responsive Fiber/Fabric Actuators for Intelligent Soft Robots: From Current Progress to Future Opportunities. Nano Energy 2024, 129, 110050. [Google Scholar] [CrossRef]
- Ren, Z.H.; Cui, Z.; Li, N.; Yue, X.; Zhang, Y.; Li, P.; Zeng, W.; Guan, Z.H. Stimuli-Responsive Polyurethane Actuator Triggered by Light and Heat Reinforced with Disulfide Bonds. J. Appl. Polym. Sci. 2025, e56629. [Google Scholar] [CrossRef]








| Sample | Glass Transition Temp (Tg) (°C) | Melting Temp (Tm) (°C) | Enthalpy of Melting (ΔHm)(J/g) | % Crystallinity |
|---|---|---|---|---|
| Pure PU [24] | 55 | 193 | - | 33 |
| 10% PLA/PU/MXene | 56 | 195 | 3 | 36 |
| 20% PLA/PU/MXene | 57 | 196 | 7 | 40 |
| 30% PLA/PU/MXene | 60 | 197 | 12 | 43 |
| 50% PLA/PU/MXene | 64 | 198 | 21 | 45 |
Disclaimer/Publisher’s Note: The statements, opinions and data contained in all publications are solely those of the individual author(s) and contributor(s) and not of MDPI and/or the editor(s). MDPI and/or the editor(s) disclaim responsibility for any injury to people or property resulting from any ideas, methods, instructions or products referred to in the content. |
© 2025 by the authors. Licensee MDPI, Basel, Switzerland. This article is an open access article distributed under the terms and conditions of the Creative Commons Attribution (CC BY) license (https://creativecommons.org/licenses/by/4.0/).
Share and Cite
Sanaka, R.; Sahu, S.K.; Sreekanth, P.S.R.; Giri, J.; Mohammad, F.; Al-Lohedan, H.A.; Saharudin, M.S.; Ma, Q. Heat-Responsive PLA/PU/MXene Shape Memory Polymer Blend Nanocomposite: Mechanical, Thermal, and Shape Memory Properties. Polymers 2025, 17, 338. https://doi.org/10.3390/polym17030338
Sanaka R, Sahu SK, Sreekanth PSR, Giri J, Mohammad F, Al-Lohedan HA, Saharudin MS, Ma Q. Heat-Responsive PLA/PU/MXene Shape Memory Polymer Blend Nanocomposite: Mechanical, Thermal, and Shape Memory Properties. Polymers. 2025; 17(3):338. https://doi.org/10.3390/polym17030338
Chicago/Turabian StyleSanaka, Rajita, Santosh Kumar Sahu, P. S. Rama Sreekanth, Jayant Giri, Faruq Mohammad, Hamad A. Al-Lohedan, Mohd Shahneel Saharudin, and Quanjin Ma. 2025. "Heat-Responsive PLA/PU/MXene Shape Memory Polymer Blend Nanocomposite: Mechanical, Thermal, and Shape Memory Properties" Polymers 17, no. 3: 338. https://doi.org/10.3390/polym17030338
APA StyleSanaka, R., Sahu, S. K., Sreekanth, P. S. R., Giri, J., Mohammad, F., Al-Lohedan, H. A., Saharudin, M. S., & Ma, Q. (2025). Heat-Responsive PLA/PU/MXene Shape Memory Polymer Blend Nanocomposite: Mechanical, Thermal, and Shape Memory Properties. Polymers, 17(3), 338. https://doi.org/10.3390/polym17030338

