Binary and Ternary Nanocomposite Membranes for Gas Separation Incorporating Finely Dispersed Carbon Nanotubes in a Polyether Block Amide Matrix
Abstract
1. Introduction
2. Materials and Methods
2.1. Membrane Preparation
2.2. Fourier Transform Infrared Spectroscopy (FT-IR)
2.3. Thermal Analysis
2.4. Gas Permeation Tests
2.5. Scanning Electron Microscopy (SEM)
3. Results and Discussion
3.1. CNTs Dispersion in the Polymer Casting Solution
3.2. Morphological Analysis
3.3. FT-IR
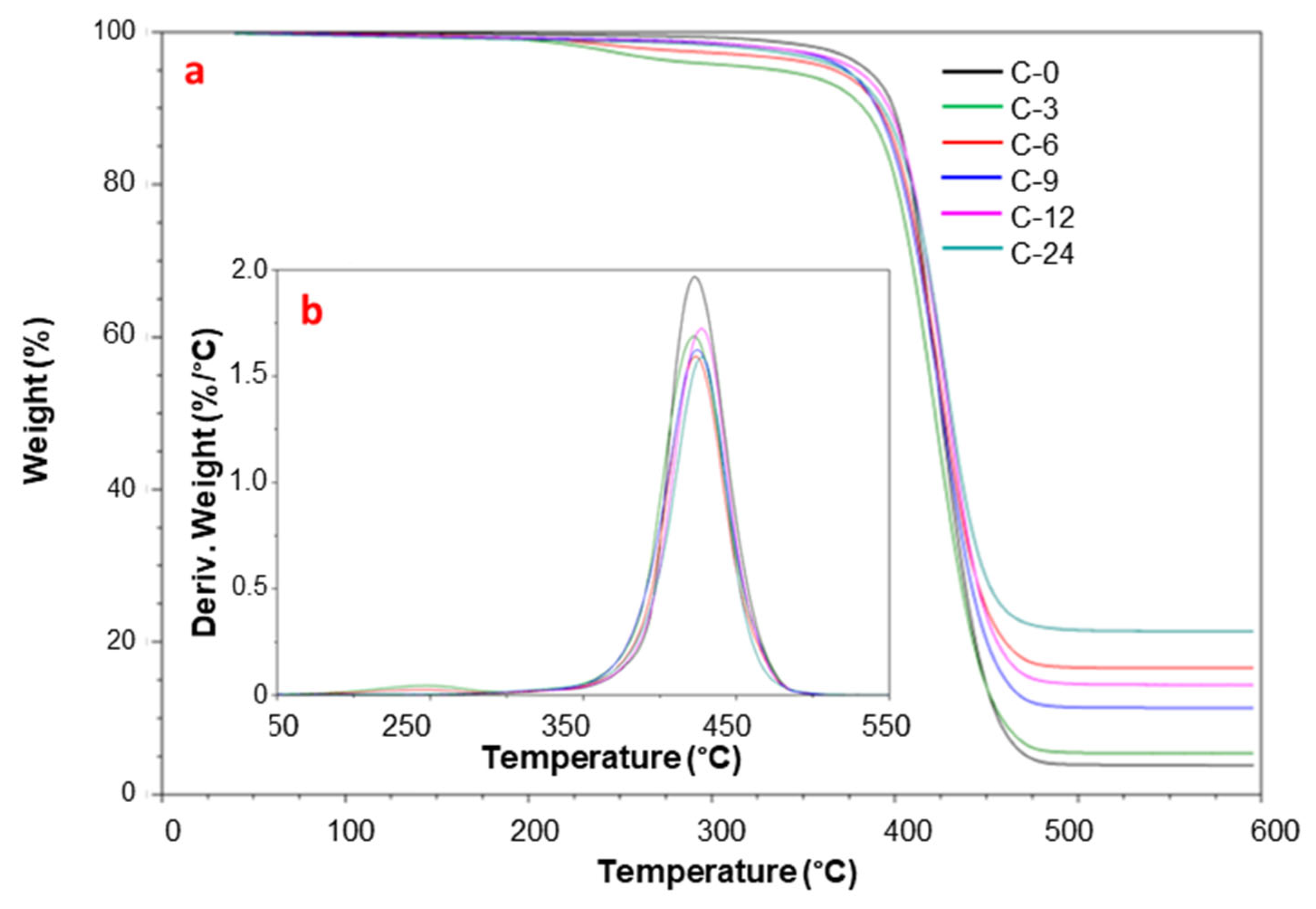
3.4. TGA
3.5. DSC
3.6. Gas Permeation
Binary MMMs
3.7. Diffusion/Solubility
3.7.1. Ternary MMMs
3.7.2. Temperature Effect on Gas Permeation
4. Literature Comparison

| Polymer/Filler | Loading (wt%) | Permeability (Barrer) CO2 | Ideal Selectivity (-) CO2/N2 | T (°C) | Feed Pressure (bar) | Ref. |
|---|---|---|---|---|---|---|
| 2533/ZIF-8 | 0 | 62 | 25 | 25 | 6 | [70] |
| 2 | 84 | 34 | ||||
| 4 | 117 | 44 | ||||
| 8 | 158 | 51 | ||||
| 16 | 184 | 33 | ||||
| 2533 | 0 | 125 | 18 | 24 | 2 | [71] |
| 2533/ZIF-8 | 10 | 225 | 33 | |||
| 2533/ZIF-8/PEI | 10 | 230 | 35 | |||
| 2533/ZIF-8/PEI@IL | 10 | 220 | 43 | |||
| 2533/Pluronic P123 (surfactant)/ZIF-8 | 5 ZIF-8 2.5 P123 | 328 | 19.5 | 45 | 4 | [72] |
| 2533 | 0 | 365 | 23.8 | 35 | 1 | [49] |
| 2533/ Graphene oxide (GO) | 0.02 | 371 | 24.0 | |||
| 2533/porous GO (PGO) | 0.02 | 397 | 23.8 | |||
| 2533/Polyetheramine functionalized GO (PEAGO) | 0.02 | 380 | 24.2 | |||
| 2533 | 0 | 210 | 27.4 | 25 | 1 | This work |
| 2533/MWCNT Binary | 3 | 214 | 28.7 | |||
| 6 | 218 | 27.4 | ||||
| 9 | 292 | 24.7 | ||||
| 12 | 536 | 24.1 | ||||
| 18 | 626 | 24.2 | ||||
| 2533 | 0 | 169 | 22.5 | 25 | 0.6 | [31] |
| 2533/T20 | 15 | 179 | 25.9 | |||
| 35 | 210 | 28.4 | ||||
| 50 | 223 | 31.0 | ||||
| 65 | 267 | 36.6 | ||||
| 2533/T80 | 15 | 200 | 32.0 | |||
| 35 | 219 | 29.4 | ||||
| 50 | 240 | 36.9 | ||||
| 65 | 289 | 40.7 | ||||
| 2533/MWCNT Ternary | C-12/T80-60 | 268 | 35.5 | 25 | 1 | This work |
| C-12/T20-60 | 184 | 35.3 |
5. Conclusions
Author Contributions
Funding
Institutional Review Board Statement
Data Availability Statement
Acknowledgments
Conflicts of Interest
References
- Radushkevich, L.V.; Lukyanovich, V.M. O strukture ugleroda, obrazujucegosja pri termiceskom razlozenii okisi ugleroda na zeleznom kontakte. Zurn. Fisic. Chim. 1952, 26, 88–95. [Google Scholar]
- Oberlin, A.; Endo, M.; Koyama, T. Filamentous growth of carbon through benzene decomposition. J. Cryst. Growth 1976, 32, 335–349. [Google Scholar] [CrossRef]
- Iijima, S. Helical microtubules of graphitic carbon. Nature 1991, 354, 56–58. [Google Scholar] [CrossRef]
- Manikandan, N.; Kumar, V.P.S.; Murugan, S.S.; Rathis, G.; Saran, K.V.; Shabariganesh, T.K. Carbon nanotubes and their properties-The review. Mater. Today Proc. 2021, 47, 4682–4685. [Google Scholar]
- Saifuddin, N.; Raziah, A.Z.; Junizah, A.R. Carbon nanotubes: A review on structure and their interaction with proteins. J. Chem. 2013, 2013, 676815. [Google Scholar] [CrossRef]
- The Global Market for Multi-Walled Carbon Nanotubes 2023–2033. Available online: https://www.researchandmarkets.com/report/multi-walled-carbon-nanotubes (accessed on 15 July 2024).
- Kadam, S.; Kate, R.; Chothe, U.; Chalwadi, P.; Shingare, J.; Kulkarni, M.; Kalubarme, R.; Kale, B. Highly Stable MWCNT@NVP Composite as a Cathode Material for Na-Ion Batteries. ACS Appl. Mater. Interfaces 2023, 15, 34651–34661. [Google Scholar] [CrossRef]
- Soni, S.K.; Thomas, B.; Thomas, S.B.; Tile, P.S.; Sakharwade, S.G. Carbon nanotubes as exceptional nanofillers in polymer and polymer/fiber nanocomposites: An extensive review. Mater. Today Commun. 2023, 37, 107358. [Google Scholar] [CrossRef]
- Sahoo, N.G.; Rana, S.; Cho, J.W.; Li, L.; Chan, S.H. Polymer nanocomposites based on functionalized carbon nanotubes. Prog. Polym. Sci. 2010, 35, 837–867. [Google Scholar] [CrossRef]
- Pacheco, M.J.; Vences, L.J.; Moreno, H.; Pacheco, J.O.; Valdivia, R.; Hernández, C. Review: Mixed-Matrix Membranes with CNT for CO2 Separation Processes. Membranes, 2021; 11, 457. [Google Scholar]
- McKeen, L.W. Thermoplastic Elastomers. In The Effect of Creep and Other Time Related Factors on Plastics and Elastomers, 3rd ed.; William Andrew: Norwich, NY, USA, 2015. [Google Scholar]
- Bondar, V.; Freeman, B.D.; Pinnau, I. Gas transport properties of poly(ether-b-amide) segmented block copolymers. J. Polym. Sci. Part B Polym. Phys. 2000, 38, 2051–2062. [Google Scholar] [CrossRef]
- Bernardo, P.; Clarizia, G. A review of the recent progress in the development of Nanocomposites based on poly(ether-block-amide) copolymers as membranes for CO2 separation. Polymers 2022, 14, 10. [Google Scholar] [CrossRef]
- Li, M.; Zhang, X.; Zeng, S.; Bai, L.; Gao, H.; Deng, J.; Yang, Q.; Zhang, S. Pebax-based composite membranes with high gas transport properties enhanced by ionic liquids for CO2 separation. RSC Adv. 2017, 7, 6422–6431. [Google Scholar] [CrossRef]
- Clarizia, G.; Bernardo, P.; Carroccio, S.C.; Ussia, M.; Restuccia, C.; Parafati, L.; Calarco, A.; Zampino, D. Heterogenized Imidazolium-based ionic liquids in Pebax®RNew. Thermal, Gas transport and antimicrobial properties. Polymers 2020, 12, 1419. [Google Scholar] [CrossRef]
- Murali, R.S.; Sridhar, S.; Sankarshana, T.; Ravikumar, Y.V.L. Gas Permeation Behavior of Pebax-1657 Nanocomposite Membrane Incorporated with Multiwalled Carbon Nanotubes. Ind. Eng. Chem. Res. 2010, 49, 6530–6538. [Google Scholar] [CrossRef]
- Yu, B.; Cong, H.; Li, Z.; Tang, J.; Zhao, X.S. Pebax-1657 Nanocomposite Membranes Incorporated with Nanoparticles/Colloids/Carbon Nanotubes for CO2/N2 and CO2/H2 Separation. J. Appl. Polym. Sci. 2013, 130, 2867. [Google Scholar] [CrossRef]
- Asghari, M.; Afsari, M. Effect of Ethylene Oxide Functional Groups in PEBA-CNT Membranes on CO2/CH4 Mixed Gas Separation. J. Membr. Sci. Res. 2018, 4, 34–40. [Google Scholar] [CrossRef]
- Zhao, D.; Ren, J.; Wang, Y.; Qiu, Y.; Li, H.; Hua, K.; Li, X.; Ji, J.; Deng, M. High CO2 separation performance of Pebax®/CNTs/GTA mixed matrix membranes. J. Membr. Sci. 2017, 521, 104–113. [Google Scholar] [CrossRef]
- Dul, S.; Ecco, L.G.; Pegoretti, A.; Fambri, L. Graphene/carbon nanotube hybrid nanocomposites: Effect of compression molding and fused filament fabrication on properties. Polymers 2020, 12, 101. [Google Scholar] [CrossRef]
- Araby, S.; Meng, Q.S.; Zhang, L.Q.; Kang, H.L.; Majewski, P.; Tang, Y.H.; Ma, J. Electrically and thermally conductive elastomer/graphene nanocomposites by solution mixing. Polymer 2014, 55, 201–210. [Google Scholar] [CrossRef]
- Fujigaya, T.; Nakashima, N. Non-covalent polymer wrapping of carbon nanotubes and the role of wrapped polymers as functional dispersants. Sci. Technol. Adv. Mat. 2015, 16, 024802. [Google Scholar] [CrossRef]
- Vaisman, L.; Wagner, H.D.; Marom, G. The role of surfactants in dispersion of carbon nanotubes. Adv. Colloid Interface Sci. 2006, 128–130, 37–46. [Google Scholar] [CrossRef]
- Yang, H.B.; Neal, L.; Flores, E.E.; Adronov, A.; Kim, N.Y. Role and impact of surfactants in carbon nanotubedispersions and sorting. J. Surfact. Deterg. 2023, 26, 607–622. [Google Scholar] [CrossRef]
- Habibiannejad, S.A.; Aroujalian, A.; Raisi, A. Pebax-1657 mixed matrix membrane containing surface modified multi-walled carbon nanotubes for gas separation. RSC Adv. 2016, 6, 79563–79577. [Google Scholar] [CrossRef]
- Rastogi, R.; Kaushal, R.; Tripathi, S.K.; Sharma, A.L.; Kaur, I.; Bharadwaj, L.M. Comparative study of carbon nanotube dispersion using surfactants. J. Colloid Interface Sci. 2008, 328, 421–428. [Google Scholar] [CrossRef]
- Islam, M.F.; Rojas, E.; Bergey, D.M.; Johnson, A.T.; Yodh, A.G. High weight fraction surfactant solubilization of single-wall carbon nanotubes in water. Nano Lett. 2003, 3, 269–273. [Google Scholar] [CrossRef]
- “Authorisation List”. European Chemicals Agency. An Agency of the European Union. Available online: https://echa.europa.eu/it/authorisation-list (accessed on 1 July 2024).
- Farcet, J.-B.; Kindermann, J.; Karbiener, M.; Kreil, T.R. Development of a Triton X-100 replacement for effective virus inactivation in biotechnology processes. Eng. Rep. 2019, 1, e12078. [Google Scholar] [CrossRef]
- Simari, C.; Nicotera, I.; Perrotta, I.; Clarizia, G.; Bernardo, P. Microscopic and macroscopic investigation on the gas diffusion in poly (ether-block-amide) membranes doped with polysorbate nonionic surfactants. Polymer 2020, 209, 122949. [Google Scholar] [CrossRef]
- Dong, L.-L.; Zhang, C.-F.; Zhang, Y.-Y.; Bai, Y.-X.; Gu, J.; Sun, Y.-P.; Chen, M.-Q. Improving CO2/N2 separation performance using nonionic surfactant Tween containing polymeric gel membranes. RSC Adv. 2015, 5, 4947–4957. [Google Scholar] [CrossRef]
- Askari, S.; Lotfi, R.; Seifkordi, A.; Rashidi, A.M.; Koolivand, H. A novel approach for energy and water conservation in wet cooling towers by using MWNTs and nanoporous graphene nanofluids. Energy Convers. Manag. 2016, 109, 10–18. [Google Scholar] [CrossRef]
- Zhu, P.; Dong, X.; Huang, M.M.; Wang, L.L.; Qi, S.X.; Wang, D.J. Microstructural evolution underlying the ternary stages of the elastic behaviors for poly(ether-b-amide) copolymer elastomers. J. Polym. Sci. Part B Polym. Phys. 2018, 56, 855–864. [Google Scholar] [CrossRef]
- Clarizia, G.; Bernardo, P.; Gorrasi, G.; Zampino, D.; Carroccio, S.C. Influence of the preparation method and photo-oxidation treatment on the thermal and gas transport properties of dense films based on a poly(ether-block-amide) copolymer. Materials 2018, 11, 1326. [Google Scholar] [CrossRef]
- Crank, J. The Mathematics of Diffusion, 2nd ed.; Clarendon Press: Oxford, UK, 1975. [Google Scholar]
- Wijmans, J.G.; Baker, R.W. The solution-diffusion model: A review. J. Membr. Sci. 1995, 107, 1–21. [Google Scholar] [CrossRef]
- Vaisman, L.; Marom, G.; Wagner, H.D. Dispersions of Surface-Modified Carbon Nanotubes in Water-Soluble and Water-Insoluble Polymers. Adv. Funct. Mater. 2006, 16, 357–363. [Google Scholar] [CrossRef]
- Abu-Dalo, M.A.; Al-Atoom, M.A.; Aljarrah, M.T.; Albiss, B.A. Preparation and Characterization of Polymer Membranes Impregnated with Carbon Nanotubes for Olive Mill Wastewater. Polymers 2022, 14, 457. [Google Scholar] [CrossRef]
- Pratap Singh, B.; Choudhary, V.; Teotia, S.; Kumar Gupta, T.; Nand Singh, V.; Rangnath Dhakate, S.; Behari Mathur, R. Solvent free, efficient, industrially viable, fast dispersion process based amine modified MWCNT reinforced epoxy composites of superior mechanical properties. Adv. Mater. Lett. 2015, 6, 104–113. [Google Scholar] [CrossRef]
- Ferreri, L.; Consoli, G.M.L.; Clarizia, G.; Zampino, D.C.; Nostro, A.; Granata, G.; Ginestra, G.; Giuffrida, M.L.; Zimbone, S.; Bernardo, P. A Novel Material based on an Antibacterial Choline-Calixarene Nanoassembly Embedded in Thin Films. J. Mater. Sci. 2022, 57, 20685–20701. [Google Scholar] [CrossRef]
- Yan, H.; Liu, H.; Li, Z.; Yu, D.; Wei, C.; Gao, Y.; Yao, H. Preparation of Al2O3/PDA/Pebax membrane modified by (C3NH2 MIm)(PF6) for improving CO2 separation performance. J. Appl. Polym. Sci. 2022, 139, e52203. [Google Scholar] [CrossRef]
- Stegarescu, A.; Cabrera, H.; Budasheva, H.; Soran, M.-L.; Lung, I.; Limosani, F.; Korte, D.; Amati, M.; Borodi, G.; Kacso, I.; et al. Synthesis and Characterization of MWCNT-COOH/Fe3O4 and CNT-COOH/Fe3O4/NiO Nanocomposites: Assessment of Adsorption and Photocatalytic Performance. Nanomaterials 2022, 12, 3008. [Google Scholar] [CrossRef]
- Aria, A.I.; Gharib, M. Reversible Tuning of the Wettability of Carbon Nanotube Arrays: The Effect of Ultraviolet/Ozone and Vacuum Pyrolysis Treatments. Langmuir 2011, 27, 9005–9011. [Google Scholar] [CrossRef]
- Stobinskia, L.; Lesiaka, B.; Zemek, J.; Jiricek, P.; Biniak, S.; Trykowski, G. Studies of oxidized carbon nanotubes in temperature range RT–630 °C by the infrared and electron spectroscopies. J. Alloys Compd. 2010, 505, 379–384. [Google Scholar] [CrossRef]
- Sahu, M.; Reddy, V.R.M.; Kim, B.; Patro, B.; Park, C.; Kim, W.K.; Sharma, P. Fabrication of Cu2ZnSnS4 Light Absorber Using a Cost-Effective Mechanochemical Method for Photovoltaic Applications. Materials 2022, 15, 1708. [Google Scholar] [CrossRef]
- Fu, X.; Kong, W.; Zhang, Y.; Jiang, L.; Wang, J.; Lei, J. Novel solid–solid phase change materials with biodegradable trihydroxy surfactants for thermal energy storage. RSC Adv. 2015, 5, 68881–68889. [Google Scholar] [CrossRef]
- Ghosh, S.; Khastgir, D.; Bhowmick, A.K.; Mukunda, P.G. Thermal degradation and ageing of segmented polyamides. Polym. Degrad. Stab. 2000, 67, 427–436. [Google Scholar] [CrossRef]
- King, S.G.; McCafferty, L.; Stolojan, V.; Silva, S.R.P. Highly aligned arrays of super resilient carbon nanotubes by steam purification. Carbon 2015, 84, 130–137. [Google Scholar] [CrossRef]
- Casadei, R.; Baschetti, M.G.; Yoo, M.J.; Park, H.B.; Giorgini, L. Pebax® 2533/Graphene Oxide Nanocomposite Membranes for Carbon Capture. Membranes 2020, 10, 188. [Google Scholar] [CrossRef]
- Qiu, Z.; Ikehara, T.; Nishi, T. Miscibility and crystallization in crystalline/crystalline blends of poly(butylene succinate)/poly(ethylene oxide). Polymer 2003, 44, 2799–2806. [Google Scholar] [CrossRef]
- Aroon, M.A.; Ismail, A.F.; Matsuura, T. Beta-cyclodextrin functionalized MWCNT: A potential nano-membrane material for mixed matrix gas separation membranes development. Sep. Purif. Technol. 2013, 115, 39–50. [Google Scholar] [CrossRef]
- Zahlan, H.; Saeed, W.S.; Alqahtani, S.; Aouak, T. Separation of Benzene/Cyclohexane Mixtures by Pervaporation Using Poly (Ethylene-Co-Vinylalcohol) and Carbon Nanotube-Filled Poly (Vinyl Alcohol-Co-Ethylene) Membranes. Separations 2020, 7, 68. [Google Scholar] [CrossRef]
- Marom, G. Why Do Nanoparticles (CNTs) Reduce the Glass Transition Temperature of Nanocomposites? J. Compos. Sci. 2023, 7, 114. [Google Scholar] [CrossRef]
- Carrola, M.; Fallahi, H.; Koerner, H.; Pérez, L.M.; Asadi, A. Fundamentals of Crystalline Evolution and Properties of Carbon Nanotube-Reinforced Polyether Ether Ketone Nanocomposites in Fused Filament Fabrication. ACS Appl. Mater. Interfaces 2023, 15, 22506–22523. [Google Scholar] [CrossRef]
- Najafi, M.; Mousavi, S.M.; Saljoughi, E. Preparation and characterization of poly(Ether block amide)/graphene membrane for recovery of isopropanol from aqueous solution via pervaporation. Polym. Compos. 2018, 39, 2259–2267. [Google Scholar] [CrossRef]
- Coleman, J.N.; Curran, S.; Dalton, A.; Davey, A.; McCarthy, B.; Blau, W.; Barklie, R. Percolation-dominated conductivity in a conjugated-polymer carbon nanotube composite. Phys. Rev. B Condens. Matter 1998, 58, R7492–R7495. [Google Scholar] [CrossRef]
- Jang, S.-H.; Park, Y.-L. Carbon nanotube-reinforced smart composites for sensing freezing temperature and deicing by self-heating. Nanomater. Nanotechnol. 2018, 8, 1–8. [Google Scholar] [CrossRef]
- Grekhov, A.M.; Eremin, Y.S.; Dibrov, G.A.; Volkov, V.V. Percolation of Composite Poly(vinyltrimethylsilane) Membranes with Carbon Nanotubes. Pet. Chem. 2013, 53, 168–174. [Google Scholar] [CrossRef]
- Khosravifard, S.; Hosseini, S.S.; Boddoh, S. Development and tuning of Matrimid membrane oxygenators with improved biocompatibility and gas permeance by plasma treatment. J. Appl. Polym. Sci. 2019, 48824. [Google Scholar] [CrossRef]
- Mutiso, R.M.; Winey, K.I. 7.17-Electrical Conductivity of Polymer Nanocomposites. Polym. Sci. A Compr. Ref. 2012, 7, 327–344. [Google Scholar] [CrossRef]
- Garboczi, E.J.; Snyder, K.A.; Douglas, J.F.; Thorpe, M.F. Geometrical percolation threshold of overlapping ellipsoids. Phys. Rev. E 1995, 52, 819. [Google Scholar] [CrossRef]
- Wang, D.-Y.; Tang, Z.-H.; Huang, P.; Li, Y.-Q.; Fu, S.-Y. Modelling the effects of carbon nanotube length non-uniformity and waviness on the electrical behavior of polymer composites. Carbon 2023, 201, 910–919. [Google Scholar] [CrossRef]
- Fam, W.; Mansouri, J.; Li, H.; Chen, V. Improving CO2 separation performance of thin film composite hollow fiber with Pebax®1657/ionic liquid gel membranes. J. Membr. Sci. 2017, 537, 54–68. [Google Scholar] [CrossRef]
- Tkalya, E.E.; Ghislandi, M.; de With, G.; Koning, C.E. The use of surfactants for dispersing carbon nanotubes and graphene to make conductive nanocomposites. Curr. Opin. Colloid Interface Sci. 2012, 17, 225–232. [Google Scholar] [CrossRef]
- Ge, L.; Zhu, Z.; Li, F.; Liu, S.; Wang, L.; Tang, X.; Rudolph, V. Investigation of Gas Permeability in Carbon Nanotube (CNT)−Polymer Matrix Membranes via Modifying CNTs with Functional Groups/Metals and Controlling Modification Location. J. Phys. Chem. C 2011, 115, 6661–6670. [Google Scholar] [CrossRef]
- Eremin, Y.S.; Grekhov, A.M. Effect of polymer matrix on characteristics of percolation cluster composed of MWCNT. J. Phys. Conf. Ser. 2020, 1696, 012037. [Google Scholar] [CrossRef]
- Tekin, K.; Hao, N.; Karagoz, S.; Ragauskas, A.J. Ethanol: A Promising Green Solvent for the Deconstruction of Lignocellulose. Chem. Sus. Chem. 2018, 11, 3559–3575. [Google Scholar] [CrossRef]
- Jiang, Y.; Zhang, B.; Zheng, Y.; Wu, Y. Highly permselective Pebax/MWCNTs mixed matrix membranes for CO2/N2 separation. Polym. Bull. 2024, 81, 9699–9719. [Google Scholar] [CrossRef]
- Robeson, L.M. The upper bound revisited. J. Membr. Sci. 2008, 320, 390–400. [Google Scholar] [CrossRef]
- Maleh, M.S.; Raisi, A. Preparation of high performance mixed matrix membranes by one-pot synthesis of ZIF-8 nanoparticles into Pebax-2533 for CO2 separation. Chem. Eng. Res. Des. 2022, 186, 266–275. [Google Scholar] [CrossRef]
- Li, G.; Kujawski, W.; Tonkonogovas, A.; Knozowska, K.; Kujawa, J.; Olewnik-Kruszkowska, E.; Pedišius, N.; Stankevičius, A. Evaluation of CO2 separation performance with enhanced features of materials–Pebax® 2533 mixed matrix membranes containing ZIF-8-PEI@[P(3)HIm][Tf2N]. Chem. Eng. Res. Des. 2022, 181, 195–208. [Google Scholar] [CrossRef]
- Polak, D.; Sułkowska, J.; Szwast, M. The influence of surfactant pluronic P123 addition on the mixed matrix membrane PEBAX® 2533–ZIF-8 separation properties. Desal. Water Treat. 2021, 214, 64–73. [Google Scholar] [CrossRef]





















| Membrane Code | [CNT/(Peba + Polysorbate + CNT)] (wt%) | [Polysorbate/(Peba + Polysorbate + CNT)] (wt%) |
|---|---|---|
| C-12/T80-30 | 8 | 30 |
| C-12/T80-40 | 6 | 40 |
| C-12/T80-60 | 4.5 | 60 |
| C-12/T20-30 | 8 | 30 |
| C-12/T20-40 | 6 | 40 |
| C-12/T20-60 | 4.5 | 60 |
| Sample | TΔm = 5% (°C) a | TΔm = 50% (°C) b | Td (°C) c | % R d (600 °C) |
|---|---|---|---|---|
| C-0 | 385.1 | 425.5 | 422.7 | 3.8 |
| C-3 | 335.2 | 422.0 | 422.4 | 5.4 |
| C-6 | 367.2 | 427.2 | 423.6 | 16.6 |
| C-9 | 373.8 | 426.0 | 424.8 | 11.3 |
| C-12 | 379.2 | 429.4 | 427.6 | 14.4 |
| C-24 | 372.4 | 430.7 | 427.6 | 21.4 |
| Sample | TΔm= 5% (°C) a | TΔm = 50% (°C) b | Td (°C) c | % R d (600 °C) |
|---|---|---|---|---|
| C-0 | 385.1 | 425.5 | 422.7 | 3.8 |
| C-12 | 379.2 | 429.4 | 427.6 | 14.4 |
| C-12/T80 | 351.4 | 418.2 | 414.8 | 17.4 |
| C-12/T20 | 340.4 | 412.3 | 410.3 | 11.0 |
| Membrane Sample | Cooling | II Heating | |||||||
|---|---|---|---|---|---|---|---|---|---|
| Polyether Domain | Polyamide Domain | Polyether Domain | Polyamide Domain | ||||||
| Tc (°C) | ΔHc (J/g) | Tc (°C) | ΔHc (J/g) | Tg (°C) | Tm (°C) | ΔHm (J/g) | Tm (°C) | ΔHm (J/g) | |
| C-0 | −14.1 | 35.74 | 90.8 | 8.45 | −37.7 | 13.5 | 21.40 | 140.9 | 5.78 |
| C-3 | −14.8 | 31.55 | 94.8 | 2.49 | −16.5 | 14.8 | 21.75 | 139.5 | 4.61 |
| C-6 | −14.8 | 24.18 | 94.1 | 1.34 | −14.5 | 15.5 | 15.68 | 139.8 | 5.56 |
| C-9 | −15.1 | 21.51 | 85.7 | 1.29 | −14.9 | 14.6 | 15.70 | 138.5 | 2.48 |
| C-12 | −15.8 | 22.83 | 78.3 | 0.80 | −16.3 | 15.4 | 15.60 | 137.1 | 1.94 |
| C-24 | −14.1 | 23.11 | - | - | −14.9 | 14.9 | 13.34 | 138.8 | 2.08 |
| Sample | Cooling | II Heating | |||||||
|---|---|---|---|---|---|---|---|---|---|
| Polyether Domain | Polyamide Domain | Polyether Domain | Polyamide Domain | ||||||
| Tc (°C) | ΔHc (J/g) | Tc (°C) | ΔHc (J/g) | Tg (°C) | Tm (°C) | ΔHm (J/g) | Tm (°C) | ΔHm (J/g) | |
| Pebax®2533 | −14.1 | 35.74 | 90.8 | 8.45 | −37.7 | 13.5 | 21.40 | 140.9 | 5.78 |
| Pebax®-CNT_12 wt% | −15.8 | 22.83 | 78.3 | 0.80 | −16.3 | 15.4 | 15.60 | 137.1 | 1.94 |
| Pebax®-CNT_12 wt%_T20 | −11.7 | 19.81 | 90.6 | 1.72 | −16.9 | 24.7 | 9.56 | 135.5 | 2.58 |
| Pebax®-CNT_12 wt%_T80 | −12.8 | 21.36 | 86.6 | 1.40 | −16.4 | 22.0 | 12.18 | 132.8 | 1.28 |
| Crystallinity Degree (%) | ||||
|---|---|---|---|---|
| Sample | Cooling | II Heating | ||
| Polyether Domain | Polyamide Domain | Polyether Domain | Polyamide Domain | |
| Pebax®2533 | 22.7 | 17.2 | 13.6 | 11.7 |
| Pebax®-CNT_12 wt% | 16.5 | 1.8 | 11.3 | 4.5 |
| Pebax®-CNT_12 wt%_T20 | 23.3 | 6.5 | 11.3 | 9.7 |
| Pebax®-CNT_12 wt%_T80 | 25.1 | 5.3 | 14.3 | 4.8 |
| Membrane Code | Activation Energy for Permeability, Ep (kJ/mol) | ||||
|---|---|---|---|---|---|
| He | CO2 | CH4 | O2 | N2 | |
| C-0 | 27.3 | 18.9 | 32.8 | 30.2 | 38.3 |
| C-9 | 25.0 | 18.2 | 29.8 | 28.3 | 33.1 |
| C-12 | 29.6 | 18.7 | 32.1 | 28.2 | 30.5 |
| C-18 | 24.4 | 15.8 | 26.3 | 26.6 | 29.8 |
| C-12/T80-30 | 29.7 | 18.5 | 31.3 | 29.8 | 30.9 |
| C-12/T80-40 | 26.0 | 17.6 | 30.0 | 28.5 | 31.8 |
| C-12/T80-60 | 24.9 | 16.8 | 29.3 | 28.9 | 33.2 |
| C-12/T20-30 | 30.5 | 19.9 | 33.6 | 32.4 | 37.9 |
| C-12/T20-40 | 26.5 | 16.7 | 30.2 | 27.0 | 31.9 |
| C-12/T20-60 | 22.8 | 18.1 | 29.7 | 29.4 | 32.4 |
Disclaimer/Publisher’s Note: The statements, opinions and data contained in all publications are solely those of the individual author(s) and contributor(s) and not of MDPI and/or the editor(s). MDPI and/or the editor(s) disclaim responsibility for any injury to people or property resulting from any ideas, methods, instructions or products referred to in the content. |
© 2025 by the authors. Licensee MDPI, Basel, Switzerland. This article is an open access article distributed under the terms and conditions of the Creative Commons Attribution (CC BY) license (https://creativecommons.org/licenses/by/4.0/).
Share and Cite
Vuono, D.; Clarizia, G.; Zampino, D.C.; Bernardo, P. Binary and Ternary Nanocomposite Membranes for Gas Separation Incorporating Finely Dispersed Carbon Nanotubes in a Polyether Block Amide Matrix. Polymers 2025, 17, 314. https://doi.org/10.3390/polym17030314
Vuono D, Clarizia G, Zampino DC, Bernardo P. Binary and Ternary Nanocomposite Membranes for Gas Separation Incorporating Finely Dispersed Carbon Nanotubes in a Polyether Block Amide Matrix. Polymers. 2025; 17(3):314. https://doi.org/10.3390/polym17030314
Chicago/Turabian StyleVuono, Danilo, Gabriele Clarizia, Daniela Clotilde Zampino, and Paola Bernardo. 2025. "Binary and Ternary Nanocomposite Membranes for Gas Separation Incorporating Finely Dispersed Carbon Nanotubes in a Polyether Block Amide Matrix" Polymers 17, no. 3: 314. https://doi.org/10.3390/polym17030314
APA StyleVuono, D., Clarizia, G., Zampino, D. C., & Bernardo, P. (2025). Binary and Ternary Nanocomposite Membranes for Gas Separation Incorporating Finely Dispersed Carbon Nanotubes in a Polyether Block Amide Matrix. Polymers, 17(3), 314. https://doi.org/10.3390/polym17030314

