Fabrication of Polydopamine/hemin/TiO2 Composites with Enhanced Visible Light Absorption for Efficient Photocatalytic Degradation of Methylene Blue
Abstract
1. Introduction
2. Materials and Methods
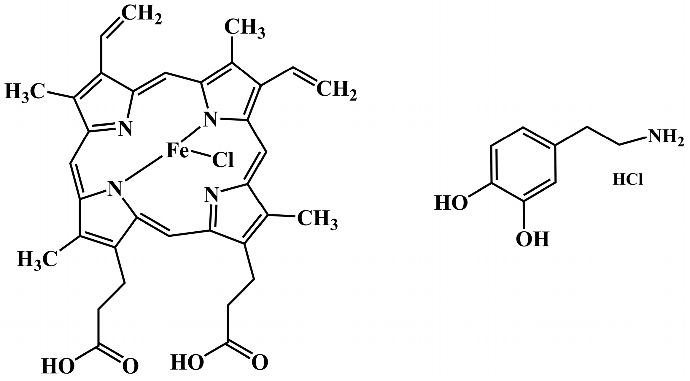
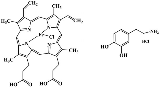
2.1. Materials
2.2. Preparation of Neat hemin/TiO2 Particles
2.3. Preparation of PDA/hemin/TiO2 Composites
2.4. Characterization
2.5. Photocatalytic Performance Tests
3. Results
3.1. Crystallization Behavior of PDA/3%hemin/TiO2
3.2. Morphologies of PDA/3%hemin/TiO2
3.3. Ultraviolet–Visible Scattering and Bandgap Energy
3.4. The Adsorption of Pollutants and Photocatalytic Degradation Properties
4. Conclusions
Author Contributions
Funding
Institutional Review Board Statement
Data Availability Statement
Conflicts of Interest
References
- Kefeni, K.K.; Mamba, B.B. Photocatalytic application of spinel ferrite nanoparticles and nanocomposites in wastewater treatment. Sustain. Mater. Technol. 2020, 23, e00140. [Google Scholar] [CrossRef]
- Yang, Y.; Zhao, S.; Bi, F.; Chen, J.; Wang, Y.; Cui, L.; Xu, J.; Zhang, X. Highly efficient photothermal catalysis of toluene over Co3O4/TiO2 pn heterojunction: The crucial roles of interface defects and band structure. Appl. Catal. B Environ. 2022, 315, 121550. [Google Scholar] [CrossRef]
- Yang, Y.; Zhao, S.; Bi, F.; Chen, J.; Li, Y.; Cui, L.; Xu, J.; Zhang, X. Oxygen-vacancy-induced O2 activation and electron-hole migration enhance photothermal catalytic toluene oxidation. Cell Rep. Phys. Sci. 2022, 3, 101011. [Google Scholar] [CrossRef]
- Wang, Y.; Bi, F.; Wang, Y.; Jia, M.; Tao, X.; Jin, Y.; Zhang, X. MOF-derived CeO2 supported Ag catalysts for toluene oxidation: The effect of synthesis method. Mol. Catal. 2021, 515, 111922. [Google Scholar] [CrossRef]
- Aihemaiti, X.; Wang, X.; Wang, Z.; Bai, Y.; Qi, K.; Ma, Y.; Tao, K.; Simayi, M.; Kuerban, N. Effective prevention of charge trapping in red phosphorus with nanosized CdS modification for superior photocatalysis. J. Environ. Chem. Eng. 2021, 9, 106479. [Google Scholar] [CrossRef]
- Lara-Pérez, C.; Leyva, E.; Zermeño, B.; Osorio, I.; Montalvo, C.; Moctezuma, E. Photocatalytic degradation of diclofenac sodium salt: Adsorption and reaction kinetic studies. Environ. Earth Sci. 2020, 79, 277. [Google Scholar] [CrossRef]
- Yang, Y.; Ji, W.; Li, X.; Lin, H.; Chen, H.; Bi, F.; Zheng, Z.; Xu, J.; Zhang, X. Insights into the mechanism of enhanced peroxymonosulfate degraded tetracycline using metal organic framework derived carbonyl modified carbon-coated Fe0. J. Hazard. Mater. 2022, 424, 127640. [Google Scholar] [CrossRef] [PubMed]
- Wang, Y.; Gong, Y.; Lin, N.; Yu, L.; Du, B.; Zhang, X. Enhanced removal of Cr (VI) from aqueous solution by stabilized nanoscale zero valent iron and copper bimetal intercalated montmorillonite. J. Colloid Interface Sci. 2022, 606, 941–952. [Google Scholar] [CrossRef] [PubMed]
- Lin, N.; Gong, Y.; Wang, R.; Wang, Y.; Zhang, X. Critical review of perovskite-based materials in advanced oxidation system for wastewater treatment: Design, applications and mechanisms. J. Hazard. Mater. 2022, 424, 127637. [Google Scholar] [CrossRef] [PubMed]
- Liu, G.; Wang, G.; Hu, Z.; Su, Y.; Zhao, L. Ag2O nanoparticles decorated TiO2 nanofibers as a pn heterojunction for enhanced photocatalytic decomposition of RhB under visible light irradiation. Appl. Surf. Sci. 2019, 465, 902–910. [Google Scholar] [CrossRef]
- Raja, A.; Son, N.; Kang, M. Construction of visible-light driven Bi2MoO6-rGO-TiO2 photocatalyst for effective ofloxacin degradation. Environ. Res. 2021, 199, 111261. [Google Scholar] [CrossRef]
- Lu, Y.; Feng, Y.; Wang, F.; Zou, X.; Chen, Z.-F.; Chen, P.; Liu, H.; Su, Y.; Zhang, Q.; Liu, G. Facile hydrothermal synthesis of carbon dots (CDs) doped ZnFe2O4/TiO2 hybrid materials with high photocatalytic activity. J. Photochem. Photobiol. A Chem. 2018, 353, 10–18. [Google Scholar] [CrossRef]
- Madima, N.; Kefeni, K.K.; Mishra, S.B.; Mishra, A.K.; Kuvarega, A.T. Fabrication of magnetic recoverable Fe3O4/TiO2 heterostructure for photocatalytic degradation of rhodamine B dye. Inorg. Chem. Commun. 2022, 145, 109966. [Google Scholar] [CrossRef]
- Chen, R.; Ding, S.; Wang, B.; Ren, X. Preparation of ZnFe2O4@ TiO2 novel core-shell photocatalyst by ultrasonic method and its photocatalytic degradation activity. Coatings 2022, 12, 1407. [Google Scholar] [CrossRef]
- Balarabe, B.Y.; Maity, P. Visible light-driven complete photocatalytic oxidation of organic dye by plasmonic Au-TiO2 nanocatalyst under batch and continuous flow condition. Colloids Surf. A Physicochem. Eng. Asp. 2022, 655, 130247. [Google Scholar] [CrossRef]
- Liao, X.; Li, T.-T.; Ren, H.-T.; Mao, Z.; Zhang, X.; Lin, J.-H.; Lou, C.-W. Enhanced photocatalytic performance through the ferroelectric synergistic effect of pn heterojunction BiFeO3/TiO2 under visible-light irradiation. Ceram. Int. 2021, 47, 10786–10795. [Google Scholar] [CrossRef]
- Xue, J.; Zhang, N.; Shen, Q.; Li, Q.; Liu, X.; Jia, H.; Guan, R. In-situ construction of photoanode with Fe2O3/Fe3O4 heterojunction nanotube array to facilitate charge separation for efficient water splitting. J. Alloys Compd. 2022, 918, 165787. [Google Scholar] [CrossRef]
- Watanabe, M. Dye-sensitized photocatalyst for effective water splitting catalyst. Sci. Technol. Adv. Mater. 2017, 18, 705–723. [Google Scholar] [CrossRef]
- Sharma, S.; Dutta, V.; Raizada, P.; Hosseini-Bandegharaei, A.; Thakur, V.; Nguyen, V.-H.; VanLe, Q.; Singh, P. An overview of heterojunctioned ZnFe2O4 photocatalyst for enhanced oxidative water purification. J. Environ. Chem. Eng. 2021, 9, 105812. [Google Scholar]
- Wu, Y.; Liu, L.-M.; An, X.; Wei, T. New insights into interfacial photocharge transfer in TiO2/C3N4 heterostructures: Effects of facets and defects. New J. Chem. 2019, 43, 4511–4517. [Google Scholar] [CrossRef]
- Raza, A.; Shen, H.; Haidry, A.A.; Cui, S. Hydrothermal synthesis of Fe3O4/TiO2/g-C3N4: Advanced photocatalytic application. Appl. Surf. Sci. 2019, 488, 887–895. [Google Scholar] [CrossRef]
- Zhao, S.; Hou, C.; Shao, L.; An, W.; Cui, W. Adsorption and in-situ photocatalytic synergy degradation of 2, 4-dichlorophenol by three-dimensional graphene hydrogel modified with highly dispersed TiO2 nanoparticles. Appl. Surf. Sci. 2022, 590, 153088. [Google Scholar] [CrossRef]
- Mkhalid, I.; Fierro, J.; Mohamed, R.; Alshahri, A. Visible light driven photooxidation of imazapyr herbicide over highly efficient mesoporous Ag/Ag2O–TiO2 pn heterojunction photocatalysts. Ceram. Int. 2020, 46, 25822–25832. [Google Scholar] [CrossRef]
- Wu, Z.; Zhao, J.; Yin, Z.; Wang, X.; Li, Z.; Wang, X. Highly sensitive photoelectrochemical detection of glucose based on BiOBr/TiO2 nanotube array pn heterojunction nanocomposites. Sens. Actuators B Chem. 2020, 312, 127978. [Google Scholar] [CrossRef]
- Kashyap, J.; Ashraf, S.M.; Riaz, U. Highly efficient photocatalytic degradation of amido black 10B dye using polycarbazole-decorated TiO2 nanohybrids. ACS Omega 2017, 2, 8354–8365. [Google Scholar] [CrossRef]
- Riaz, U.; Ashraf, S.; Kashyap, J. Enhancement of photocatalytic properties of transitional metal oxides using conducting polymers: A mini review. Mater. Res. Bull. 2015, 71, 75–90. [Google Scholar] [CrossRef]
- Zhou, H.; Wang, H.; Yue, C.; He, L.; Li, H.; Zhang, H.; Yang, S.; Ma, T. Photocatalytic degradation by TiO2-conjugated/coordination polymer heterojunction: Preparation, mechanisms, and prospects. Appl. Catal. B Environ. Energy 2024, 344, 123605. [Google Scholar] [CrossRef]
- Van Thuan, D.; Ngo, H.L.; Thi, H.P.; Chu, T.T.H. Photodegradation of hazardous organic pollutants using titanium oxides-based photocatalytic: A review. Environ. Res. 2023, 229, 116000. [Google Scholar] [CrossRef] [PubMed]
- Askari, P.; Mohebbi, S. A porphyrin cobalt (ii) complex linked to a TiO2/BiVO4 nanocomposite: Alcohol oxidation using nanohybrid materials as a photocatalyst via a mechanism approach. New J. Chem. 2018, 42, 1715–1724. [Google Scholar] [CrossRef]
- Barros, V.P.; Faria, A.L.; MacLeod, T.C.; Moraes, L.A.; Assis, M.D. Ironporphyrin immobilized onto montmorillonite as a biomimetical model for azo dye oxidation. Int. Biodeterior. Biodegrad. 2008, 61, 337–344. [Google Scholar] [CrossRef]
- Duan, M.-Y.; Li, J.; Mele, G.; Wang, C.; Lü, X.-F.; Vasapollo, G.; Zhang, F.-X. Photocatalytic activity of novel tin porphyrin/TiO2 based composites. J. Phys. Chem. C 2010, 114, 7857–7862. [Google Scholar] [CrossRef]
- Lü, X.-F.; Qian, H.; Mele, G.; De Riccardis, A.; Zhao, R.; Chen, J.; Wu, H.; Hu, N.-J. Impact of different TiO2 samples and porphyrin substituents on the photocatalytic performance of TiO2@ copper porphyrin composites. Catal. Today 2017, 281, 45–52. [Google Scholar] [CrossRef]
- Schneider, J.; Berger, T.; Diwald, O. Reactive porphyrin adsorption on TiO2 Anatase particles: Solvent assistance and the effect of water addition. ACS Appl. Mater. Interfaces 2018, 10, 16836–16842. [Google Scholar] [CrossRef] [PubMed]
- Dang, J.; Guo, J.; Wang, L.; Guo, F.; Shi, W.; Li, Y.; Guan, W. Construction of Z-scheme Fe3O4/BiOCl/BiOI heterojunction with superior recyclability for improved photocatalytic activity towards tetracycline degradation. J. Alloys Compd. 2022, 893, 162251. [Google Scholar] [CrossRef]
- Satti, U.Q.; Zaidi, S.J.A.; Riaz, A.; ur Rehman, M.A.; Li, C.X.; Basit, M.A. Simple two-step development of TiO2/Fe2O3 nanocomposite for oxygen evolution reaction (OER) and photo-bio active applications. Colloids Surf. A Physicochem. Eng. Asp. 2023, 671, 131662. [Google Scholar] [CrossRef]
- Zhu, B.; Jiang, G.; Lv, Y.; Liu, F.; Sun, J. Photocatalytic degradation of polyacrylamide by rGO@ Fe3O4/Cu2O@ ZnO magnetic recyclable composites. Mater. Sci. Semicond. Process 2021, 131, 105841. [Google Scholar] [CrossRef]
- Xiao, M.; Li, R.; Yin, J.; Yang, J.; Hu, X.; Xiao, H.; Wang, W.; Yang, T. Enhanced photocatalytic oxidation of As(III) by TiO2 modified with Fe3O4 through Ti-O-Fe interface bonds. Colloids Surf. A Physicochem. Eng. Asp. 2022, 651, 129678. [Google Scholar] [CrossRef]
- Neshastehgar, M.; Jamshidi, M.; Ghamarpoor, R. Self-assembly TiO2@ Silane@ SiO2 core-shell as s-scheme heterojunction photocatalyst against methylene blue degradation: Synthesis and mechanism insights. J. Mol. Struct. 2025, 1319, 139406. [Google Scholar] [CrossRef]
- Sendão, R.M.; Algarra, M.; Ribeiro, E.; Pereira, M.; Gil, A.; Vale, N.; Esteves da Silva, J.C.; Pinto da Silva, L. Carbon Dots–TiO2 Nanocomposites for the Enhanced Visible-Light Driven Photodegradation of Methylene Blue. Adv. Sustain. Syst. 2024, 8, 2300317. [Google Scholar] [CrossRef]
- Li, G.-Z.; Zhang, S.; Tian, D.; Liu, G.; Wang, W.; Chen, G.; Wang, J.; Wan, W.; Yang, C.; Yu, H. Improving the Visible Light Absorption and Photocatalytic Degradation Activity of TiO2 Particles Towards MB by Organic Sensitizer Decoration. Catal. Lett. 2024, 154, 3896–3910. [Google Scholar] [CrossRef]
- Jilani, A.; Melaibari, A.A. MoS2-Cu/CuO@ graphene heterogeneous photocatalysis for enhanced photocatalytic degradation of MB from water. Polymers 2022, 14, 3259. [Google Scholar] [CrossRef] [PubMed]
- Balapure, A.; Ganesan, R. Anatase versus Triphasic TiO2: Near-identical synthesis and comparative structure-sensitive photocatalytic degradation of methylene blue and 4-chlorophenol. J. Colloid Interface Sci. 2021, 581, 205–217. [Google Scholar] [CrossRef] [PubMed]
- Le, H.A.; Chin, S.; Jurng, J. Photocatalytic degradation of methylene blue by a combination of TiO2-anatase and coconut shell activated carbon. Powder Technol. 2012, 225, 167–175. [Google Scholar] [CrossRef]
- Silva, V.; Lima, D.L.; de Matos Gomes, E.; Almeida, B.; Calisto, V.; Baptista, R.M.; Pereira, G. Electrospun Nanofiber Dopped with TiO2 and Carbon Quantum Dots for the Photocatalytic Degradation of Antibiotics. Polymers 2024, 16, 2960. [Google Scholar] [CrossRef] [PubMed]
- Delsouz Khaki, M.R.; Shafeeyan, M.S.; Raman, A.A.A.; Daud, W.M.A.W. Enhanced UV–Visible photocatalytic activity of Cu-doped ZnO/TiO2 nanoparticles. J. Mater. Sci. Mater. Electron. 2018, 29, 5480–5495. [Google Scholar] [CrossRef]
- Ren, X.; Chen, R.; Ding, S.; Fu, N. Preparation and photocatalytic performance of a magnetically recyclable ZnFe2O4@ TiO2@ Ag2O pn/Z-type tandem heterojunction photocatalyst: Degradation pathway and mechanism. Colloids Surf. A Physicochem. Eng. Asp. 2023, 658, 130604. [Google Scholar] [CrossRef]
- Mohapatra, S.; Singh, J.; Satpati, B. Facile synthesis, structural, optical and photocatalytic properties of mesoporous Ag2O/TiO2 nanoheterojunctions. J. Phys. Chem. Solids 2020, 138, 109305. [Google Scholar] [CrossRef]
- Zhang, X.; Su, Y.; Zhang, H.; Wang, Y.; Chang, Y.; Yi, S.; Chen, J.; Fang, D.; Lv, X.; Liu, L. Synergistic effect of GN-Ag NPs enhancing the efficient catalytic degradation of MB and CR by PDA@ MMT composite hydrogel. Int. J. Biol. Macromol. 2024, 279, 135468. [Google Scholar] [CrossRef]
- Le, T.M.H.; Wang, Y.-N.; Li, C.; Wang, R.; Sairiam, S. Durable PVDF photocatalytic membranes with TiO2@ PDA incorporated into/onto for dye degradation under visible-light. Chem. Eng. J. 2024, 499, 156215. [Google Scholar] [CrossRef]
- Luan, J.; Bai, X.; Liu, Y.; Song, T.; Sun, H.; Dai, Y.; Yu, J. PVA/PDA@ g-C3N4 Composite Nanofiber Membranes for Enhanced Photocatalytic Bacteriostasis and Degradation. J. Polym. Environ. 2024, 32, 1796–1810. [Google Scholar] [CrossRef]
- Zhang, N.; Peng, S.; Liu, Z.; Li, Y.; Huang, J.; Li, J.; Wan, H.; Zhou, S.; Gao, Z.; Chen, T. Ag NPs decorated on the magnetic Fe3O4@ PDA as efficient catalyst for organic pollutants removal and as effective antimicrobial agent for microbial inhibition. J. Alloys Compd. 2022, 928, 167257. [Google Scholar] [CrossRef]
- Liu, S.; Sun, H.; Ang, H.; Tade, M.O.; Wang, S. Integrated oxygen-doping and dye sensitization of graphitic carbon nitride for enhanced visible light photodegradation. J. Colloid Interface Sci. 2016, 476, 193–199. [Google Scholar] [CrossRef]
- Yuqi, S.; Mamat, M.; Baikeli, Y.; Xiaerding, F. Effects of doping of Sm, Y, Ce and La on crystal structure, phase and photocatalytic performance of TiO2 powders prepared by sol-gel method. Phys. Lett. A 2024, 525, 129929. [Google Scholar] [CrossRef]
- Jin, L.; Zeng, H.-Y.; Xu, S.; Chen, C.-R.; Duan, H.-Z.; Du, J.-Z.; Hu, G.; Sun, Y.-X. Facile preparation of sepiolite@ LDH composites for the visible-light degradation of organic dyes. Chin. J. Catal. 2018, 39, 1832–1841. [Google Scholar] [CrossRef]
- Nien, Y.-H.; Lai, M.-M.; Lin, Y.-L.; Liu, M.-S. Preparation of nanofibers with Cu/TiO2/rice husk ash photocatalyst and their degradation of methylene blue under visible light. J. Polym. Res. 2024, 31, 185. [Google Scholar] [CrossRef]
- Xue, T.; Jiang, S.; Qu, Y.; Su, Q.; Cheng, R.; Dubin, S.; Chiu, C.-Y.; Kaner, R.; Huang, Y.; Duan, X. Graphene supported hemin as a highly active biomimetic catalyst. Angew. Chem. (Int. Ed. Engl.) 2012, 51, 3822. [Google Scholar] [CrossRef]
- Zang, Y.; Lei, J.; Zhang, L.; Ju, H. In situ generation of electron acceptor for photoelectrochemical biosensing via hemin-mediated catalytic reaction. Anal. Chem. 2014, 86, 12362–12368. [Google Scholar] [CrossRef]














| Element | TiO2 | PDA/TiO2 | 3%Hemin/TiO2 | PDA/3%Hemin/TiO2 |
|---|---|---|---|---|
| C | 21.5 | 18.45 | 8.12 | 12.25 |
| O | 36.44 | 45.09 | 44.35 | 49.79 |
| Ti | 42.06 | 36.46 | 47.52 | 37.96 |
Disclaimer/Publisher’s Note: The statements, opinions and data contained in all publications are solely those of the individual author(s) and contributor(s) and not of MDPI and/or the editor(s). MDPI and/or the editor(s) disclaim responsibility for any injury to people or property resulting from any ideas, methods, instructions or products referred to in the content. |
© 2025 by the authors. Licensee MDPI, Basel, Switzerland. This article is an open access article distributed under the terms and conditions of the Creative Commons Attribution (CC BY) license (https://creativecommons.org/licenses/by/4.0/).
Share and Cite
Zhu, Z.; Zhou, S.; Tian, D.; Li, G.-Z.; Chen, G.; Fang, D.; Cao, J.; Wang, F.; Wang, W.; He, X.; et al. Fabrication of Polydopamine/hemin/TiO2 Composites with Enhanced Visible Light Absorption for Efficient Photocatalytic Degradation of Methylene Blue. Polymers 2025, 17, 311. https://doi.org/10.3390/polym17030311
Zhu Z, Zhou S, Tian D, Li G-Z, Chen G, Fang D, Cao J, Wang F, Wang W, He X, et al. Fabrication of Polydopamine/hemin/TiO2 Composites with Enhanced Visible Light Absorption for Efficient Photocatalytic Degradation of Methylene Blue. Polymers. 2025; 17(3):311. https://doi.org/10.3390/polym17030311
Chicago/Turabian StyleZhu, Zhuandong, Shengrong Zhou, Debin Tian, Guang-Zhao Li, Gang Chen, Dong Fang, Jiaxuan Cao, Fumei Wang, Wenyan Wang, Xuewei He, and et al. 2025. "Fabrication of Polydopamine/hemin/TiO2 Composites with Enhanced Visible Light Absorption for Efficient Photocatalytic Degradation of Methylene Blue" Polymers 17, no. 3: 311. https://doi.org/10.3390/polym17030311
APA StyleZhu, Z., Zhou, S., Tian, D., Li, G.-Z., Chen, G., Fang, D., Cao, J., Wang, F., Wang, W., He, X., & Zhang, W. (2025). Fabrication of Polydopamine/hemin/TiO2 Composites with Enhanced Visible Light Absorption for Efficient Photocatalytic Degradation of Methylene Blue. Polymers, 17(3), 311. https://doi.org/10.3390/polym17030311

