Direct Ink Writing and Photocrosslinking of Hydroxypropyl Cellulose into Stable 3D Parts Using Methacrylation and Blending
Abstract
1. Introduction
2. Materials and Methods
2.1. Raw Materials
2.2. Methods
2.2.1. Synthesis and Characterization of Methacrylated HPC
Synthesis of Methacrylated HPC
Determination of Molecular Structure of MAHPC
2.2.2. Formulation and Characterization of HPC and Photocrosslinkable MAHPC Inks
Formulation of HPC and Photocrosslinkable MAHPC Inks
Monitoring the Crosslinking Kinetics of HPC and Photocrosslinkable MAHPC Inks
2.2.3. DIW of HPC-Based Inks
Screening the Printability of HPC and MAHPC Inks for DIW
Direct Ink Writing and Properties of 3D Parts
3. Results and Discussion
3.1. HPC Methacrylation Can Be Tuned from the Conditions of the Grafting Reaction
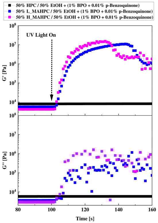
3.2. Photocrosslinking Kinetics of MAHPC Formulations Doped with Initiators
3.3. Screening of HPC and MAHPC Photocrosslinkable Formulations for 3D Printing
DIW of HPC and Photocrosslinkable MAHPC Inks
4. Conclusions
Supplementary Materials
Author Contributions
Funding
Institutional Review Board Statement
Data Availability Statement
Acknowledgments
Conflicts of Interest
Abbreviations
References
- Dai, L.; Cheng, T.; Duan, C.; Zhao, W.; Zhang, W.; Zou, X.; Aspler, J.; Ni, Y. 3D printing using plant-derived cellulose and its derivatives: A review. Carbohydr. Polym. 2019, 203, 71–86. [Google Scholar] [CrossRef]
- Yang, J.; An, X.; Liu, L.; Tang, S.; Cao, H.; Xu, Q.; Liu, H. Cellulose, hemicellulose, lignin, and their derivatives as multi-components of bio-based feedstocks for 3D printing. Carbohydr. Polym. 2020, 250, 116881. [Google Scholar] [CrossRef] [PubMed]
- Bi, X.; Huang, R. 3D printing of natural fiber and composites: A state-of-the-art review. Mater. Des. 2022, 222, 111065. [Google Scholar] [CrossRef]
- Li, Y.; Ren, X.; Zhu, L.; Li, C. Biomass 3D Printing: Principles, Materials, Post-Processing and Applications. Polymers 2023, 15, 2692. [Google Scholar] [CrossRef] [PubMed]
- Kam, D.; Layani, M.; BarkaiMinerbi, S.; Orbaum, D.; Abrahami BenHarush, S.; Shoseyov, O.; Magdassi, S. Additive Manufacturing of 3D Structures Composed of Wood Materials. Adv. Mater. Technol. 2019, 4, 1900158. [Google Scholar] [CrossRef]
- Das, A.K.; Agar, D.A.; Rudolfsson, M.; Larsson, S.H. A review on wood powders in 3D printing: Processes, properties and potential applications. J. Mater. Res. Technol. 2021, 15, 241–255. [Google Scholar] [CrossRef]
- Siqueira, G.; Kokkinis, D.; Libanori, R.; Hausmann, M.K.; Gladman, A.S.; Neels, A.; Tingaut, P.; Zimmermann, T.; Lewis, J.A.; Studart, A.R. Cellulose Nanocrystal Inks for 3D Printing of Textured Cellular Architectures. Adv. Funct. Mater. 2017, 27, 1604619. [Google Scholar] [CrossRef]
- Li, V.C.-F.; Dunn, C.K.; Zhang, Z.; Deng, Y.; Qi, H.J. Direct Ink Write (DIW) 3D Printed Cellulose Nanocrystal Aerogel Structures. Sci. Rep. 2017, 7, 8018. [Google Scholar] [CrossRef]
- Hausmann, M.K.; Rühs, P.A.; Siqueira, G.; Läuger, J.; Libanori, R.; Zimmermann, T.; Studart, A.R. Dynamics of Cellulose Nanocrystal Alignment during 3D Printing. ACS Nano 2018, 12, 6926–6937. [Google Scholar] [CrossRef] [PubMed]
- Li, V.C.F.; Mulyadi, A.; Dunn, C.K.; Deng, Y.; Qi, H.J. Direct Ink Write 3D Printed Cellulose Nanofiber Aerogel Structures with Highly Deformable, Shape Recoverable, and Functionalizable Properties. ACS Sustain. Chem. Eng. 2018, 6, 2011–2022. [Google Scholar] [CrossRef]
- Müller, L.A.E.; Zimmermann, T.; Nyström, G.; Burgert, I.; Siqueira, G. Mechanical Properties Tailoring of 3D Printed Photoresponsive Nanocellulose Composites. Adv. Funct. Mater. 2020, 30, 2002914. [Google Scholar] [CrossRef]
- Gauss, C.; Pickering, K.L.; Muthe, L.P. The use of cellulose in bio-derived formulations for 3D/4D printing: A review. Compos. Part C Open Access 2021, 4, 100113. [Google Scholar] [CrossRef]
- Fourmann, O.; Hausmann, M.K.; Neels, A.; Schubert, M.; Nyström, G.; Zimmermann, T.; Siqueira, G. 3D printing of shape-morphing and antibacterial anisotropic nanocellulose hydrogels. Carbohydr. Polym. 2021, 259, 117716. [Google Scholar] [CrossRef] [PubMed]
- Wan Jusoh, W.N.L.; Sajab, M.S.; Mohamed Abdul, P.; Kaco, H. Recent Advances in 3D Bioprinting: A Review of Cellulose-Based Biomaterials Ink. Polymers 2022, 14, 2260. [Google Scholar] [CrossRef]
- Khalid, M.Y.; Arif, Z.U.; Noroozi, R.; Hossain, M.; Ramakrishna, S.; Umer, R. 3D/4D printing of cellulose nanocrystals-based biomaterials: Additives for sustainable applications. Int. J. Biol. Macromol. 2023, 251, 126287. [Google Scholar] [CrossRef] [PubMed]
- Giri, B.R.; Poudel, S.; Kim, D.W. Cellulose and its derivatives for application in 3D printing of pharmaceuticals. J. Pharm. Investig. 2021, 51, 1–22. [Google Scholar] [CrossRef]
- Giachini, P.A.G.S.; Gupta, S.S.; Wang, W.; Wood, D.; Yunusa, M.; Baharlou, E.; Sitti, M.; Menges, A. Additive manufacturing of cellulose-based materials with continuous, multidirectional stiffness gradients. Sci. Adv. 2020, 6, eaay0929. [Google Scholar] [CrossRef]
- Oladapo, B.I.; Oshin, E.A.; Olawumi, A.M. Nanostructural computation of 4D printing carboxymethylcellulose (CMC) composite. Nano Struct. Nano Objects 2020, 21, 100423. [Google Scholar] [CrossRef]
- Pattinson, S.W.; Hart, A.J. Additive Manufacturing of Cellulosic Materials with Robust Mechanics and Antimicrobial Functionality. Adv. Mater. Technol. 2017, 2, 1600084. [Google Scholar] [CrossRef]
- Wang, Q.; Sun, J.; Yao, Q.; Ji, C.; Liu, J.; Zhu, Q. 3D printing with cellulose materials. Cellulose 2018, 25, 4275–4301. [Google Scholar] [CrossRef]
- Lin, L.; Jiang, S.; Yang, J.; Qiu, J.; Jiao, X.; Yue, X.; Ke, X.; Yang, G.; Zhang, L. Application of 3D-bioprinted nanocellulose and cellulose derivative-based bio-inks in bone and cartilage tissue engineering. Int. J. Bioprinting 2023, 9, 637. [Google Scholar] [CrossRef] [PubMed]
- Gleuwitz, F.R.; Friedrich, C.; Laborie, M.-P.G. Lignin-Assisted Stabilization of an Oriented Liquid Crystalline Cellulosic Mesophase, Part A: Observation of Microstructural and Mechanical Behavior. Biomacromolecules 2020, 21, 1069–1077. [Google Scholar] [CrossRef] [PubMed]
- Ebers, L.-S.; Laborie, M.-P. Direct Ink Writing of Fully Bio-Based Liquid Crystalline Lignin/Hydroxypropyl Cellulose Aqueous Inks: Optimization of Formulations and Printing Parameters. ACS Appl. Bio Mater. 2020, 3, 6897–6907. [Google Scholar] [CrossRef] [PubMed]
- Gleuwitz, F.R.; Sivasankarapillai, G.; Bentaleb, A.; Kohlhuber, N.; Laborie, M.-P.G. Limitation and Potential of Lignin-Assisted Stabilisation of Oriented Liquid Crystalline Cellulosic Mesophase. Giant 2024, 21, 100344. [Google Scholar] [CrossRef]
- Yapa, M.-T. Formulation and Optimization of Lignin/Cellulose Acetate Butyrate Blends for Direct Ink Writing. Master’s Thesis, University of Freiburg, Freiburg, Germany, 2020. [Google Scholar]
- Thakur, M.S.H.; Shi, C.; Kearney, L.T.; Saadi, M.A.S.R.; Meyer, M.D.; Naskar, A.K.; Ajayan, P.M.; Rahman, M.M. Three-dimensional printing of wood. Sci. Adv. 2024, 10, eadk3250. [Google Scholar] [CrossRef]
- Yapa, M.-T.; Lalevée, J.; Laborie, M.-P. Towards Photocrosslinkable Lyotropic Blends of Organosolv Lignin and Hydroxypropyl Cellulose for 3D Printing by Direct Ink Writing. Polymers 2024, 16, 2869. [Google Scholar] [CrossRef]
- Fertier, L.; Koleilat, H.; Stemmelen, M.; Giani, O.; Joly-Duhamel, C.; Lapinte, V.; Robin, J.-J. The use of renewable feedstock in UV-curable materials—A new age for polymers and green chemistry. Prog. Polym. Sci. 2013, 38, 932–962. [Google Scholar] [CrossRef]
- Hull, C.W. The birth of 3D printing. Res. Technol. Manag. 2015, 58, 25–30. [Google Scholar]
- Börjesson, M.; Richardson, G.; Westman, G. UV Radiation of Cellulose Fibers and Acrylic Acid Modified Cellulose Fibers for Improved Stiffness in Paper. BioResources 2015, 10, 3056–3069. [Google Scholar] [CrossRef]
- Briede, S.; Barkane, A.; Jurinovs, M.; Thakur, V.K.; Gaidukovs, S. Acrylation of biomass: A review of synthesis process: Know-how and future application directions. Curr. Opin. Green Sustain. Chem. 2022, 35, 100626. [Google Scholar] [CrossRef]
- Soullard, L.; Pradalié, F.; Labat, B.; Lancelon-Pin, C.; Nonglaton, G.; Rolere, S.; Texier, I.; Jean, B. Methacrylated Cellulose Nanocrystals as Fillers for the Development of Photo-Cross-Linkable Cytocompatible Biosourced Formulations Targeting 3D Printing. Biomacromolecules 2023, 24, 6009–6024. [Google Scholar] [CrossRef]
- Brusentsev, Y.; Yang, P.; King, A.W.T.; Cheng, F.; Cortes Ruiz, M.F.; Eriksson, J.E.; Kilpeläinen, I.; Willför, S.; Xu, C.; Wågberg, L.; et al. Photocross-Linkable and Shape-Memory Biomaterial Hydrogel Based on Methacrylated Cellulose Nanofibres. Biomacromolecules 2023, 24, 3835–3845. [Google Scholar] [CrossRef] [PubMed]
- Reeves, R.; Ribeiro, A.; Lombardo, L.; Boyer, R.; Leach, J.B. Synthesis and Characterization of Carboxymethylcellulose-Methacrylate Hydrogel Cell Scaffolds. Polymers 2010, 2, 252–264. [Google Scholar] [CrossRef]
- Prasad, A.S.; Wilson, J.; Thomas, L.V. Designer injectable matrices of photocrosslinkable carboxymethyl cellulose methacrylate based hydrogels as cell carriers for gel type autologous chondrocyte implantation (GACI). Int. J. Biol. Macromol. 2023, 224, 465–482. [Google Scholar] [CrossRef]
- Melilli, G.; Carmagnola, I.; Tonda-Turo, C.; Pirri, F.; Ciardelli, G.; Sangermano, M.; Hakkarainen, M.; Chiappone, A. DLP 3D Printing Meets Lignocellulosic Biopolymers: Carboxymethyl Cellulose Inks for 3D Biocompatible Hydrogels. Polymers 2020, 12, 1655. [Google Scholar] [CrossRef] [PubMed]
- Rothammer, M.; Meiers, D.T.; Maier, M.; von Freymann, G.; Zollfrank, C. Initiator-free photo-cross-linkable cellulose-based resists for fabricating submicron patterns via direct laser writing. J. Opt. Soc. Am. B 2023, 40, 849–855. [Google Scholar] [CrossRef]
- Walters, C.M.; Boott, C.E.; Nguyen, T.-D.; Hamad, W.Y.; MacLachlan, M.J. Iridescent Cellulose Nanocrystal Films Modified with Hydroxypropyl Cellulose. Biomacromolecules 2020, 21, 1295–1302. [Google Scholar] [CrossRef]
- Chen, J.; Edgar, K.J.; Frazier, C.E. Photo-curable, double-crosslinked, in situ-forming hydrogels based on oxidized hydroxypropyl cellulose. Cellulose 2021, 28, 3903–3915. [Google Scholar] [CrossRef]
- Hoo, S.P.; Sarvi, F.; Li, W.H.; Chan, P.P.Y.; Yue, Z. Thermoresponsive cellulosic hydrogels with cell-releasing behavior. ACS Appl. Mater. Interfaces 2013, 5, 5592–5600. [Google Scholar] [CrossRef] [PubMed]
- Hoo, S.P.; Loh, Q.L.; Yue, Z.; Fu, J.; Tan, T.T.Y.; Choong, C.; Chan, P.P.Y. Preparation of a soft and interconnected macroporous hydroxypropyl cellulose methacrylate scaffold for adipose tissue engineering. J. Mater. Chem. B 2013, 1, 3107–3117. [Google Scholar] [CrossRef] [PubMed]
- Qi, A.; Hoo, S.P.; Friend, J.; Yeo, L.; Yue, Z.; Chan, P.P.Y. Hydroxypropyl cellulose methacrylate as a photo-patternable and biodegradable hybrid paper substrate for cell culture and other bioapplications. Adv. Healthc. Mater. 2014, 3, 543–554. [Google Scholar] [CrossRef] [PubMed]
- Chan, C.L.C.; Lei, I.M.; van de Kerkhof, G.T.; Parker, R.M.; Richards, K.D.; Evans, R.C.; Huang, Y.Y.S.; Vignolini, S. 3D Printing of Liquid Crystalline Hydroxypropyl Cellulose—Toward Tunable and Sustainable Volumetric Photonic Structures. Adv. Funct. Mater. 2022, 32, 2108566. [Google Scholar] [CrossRef]
- Nilghaz, A.; Hoo, S.; Shen, W.; Lu, X.; Chan, P.P. Multilayer cell culture system supported by thread. Sens. Actuators B Chem. 2018, 257, 650–657. [Google Scholar] [CrossRef]
- Yan, K.; Zhang, X.; Liu, Y.; Cheng, J.; Zhai, C.; Shen, K.; Liang, W.; Fan, W. 3D-bioprinted silk fibroin-hydroxypropyl cellulose methacrylate porous scaffold with optimized performance for repairing articular cartilage defects. Mater. Des. 2023, 225, 111531. [Google Scholar] [CrossRef]
- Marsano, E.; Gagliardi, S.; Ghioni, F.; Bianchi, E. Behaviour of gels based on (hydroxypropyl) cellulose methacrylate. Polymer 2000, 41, 7691–7698. [Google Scholar] [CrossRef]
- Marsano, E.; Bianchi, E.; Gagliardi, S.; Ghioni, F. Hydroxypropyl–cellulose derivatives: Phase behaviour of hydroxypropylcellulose methacrylate. Polymer 2000, 41, 533–538. [Google Scholar] [CrossRef]
- Thermo Scientific Chemicals. Hydroxypropyl Cellulose Product Specification Sheet. Available online: https://assets.thermofisher.com/chem-specs-pdf/retrievePdf?rootSku=043400&sku=043400.22 (accessed on 2 October 2024).
- Ma, B.; Schaefer, H.F.; Allinger, N.L. Theoretical Studies of the Potential Energy Surfaces and Compositions of the D-Aldo- and D-Ketohexoses. J. Am. Chem. Soc. 1998, 120, 3411–3422. [Google Scholar] [CrossRef]
- Chen, W.; He, H.; Zhu, H.; Cheng, M.; Li, Y.; Wang, S. Thermo-Responsive Cellulose-Based Material with Switchable Wettability for Controllable Oil/Water Separation. Polymers 2018, 10, 592. [Google Scholar] [CrossRef] [PubMed]
- Soullard, L.; Bayle, P.-A.; Lancelon-Pin, C.; Rolere, S.; Texier, I.; Jean, B.; Nonglaton, G. Optimization of the methacrylation of carboxymethylcellulose and use for the design of hydrogels and cryogels with controlled structure and properties. Cellulose 2023, 30, 6203–6217. [Google Scholar] [CrossRef]
- Ebers, L.-S. Lignin-Based Inks for Direct Ink Writing. Ph.D. Thesis, University of Freiburg, Freiburg, Germany, 2020. [Google Scholar]
- Gleuwitz, F.R. Impact of Lignin on the Mesophase and Structural Relaxation Behavior of a Cellulosic Liquid Crystalline Polymer. Ph.D. Thesis, University of Freiburg, Freiburg, Germany, 2019. [Google Scholar]
- Gleuwitz, F.R.; Sivasankarapillai, G.; Siqueira, G.; Friedrich, C.; Laborie, M.-P.G. Lignin in Bio-Based Liquid Crystalline Network Material with Potential for Direct Ink Writing. ACS Appl. Bio Mater. 2020, 3, 6049–6058. [Google Scholar] [CrossRef]
- Wang, J.; Laborie, M.-P.G.; Wolcott, M.P. Kinetic analysis of phenol–formaldehyde bonded wood joints with dynamical mechanical analysis. Thermochim. Acta 2009, 491, 58–62. [Google Scholar] [CrossRef]
- Wang, J.; Laborie, M.-P.G.; Wolcott, M.P. Correlation of mechanical and chemical cure development for phenol–formaldehyde resin bonded wood joints. Thermochim. Acta 2011, 513, 20–25. [Google Scholar] [CrossRef]
- Paxton, N.; Smolan, W.; Böck, T.; Melchels, F.; Groll, J.; Jungst, T. Proposal to assess printability of bioinks for extrusion-based bioprinting and evaluation of rheological properties governing bioprintability. Biofabrication 2017, 9, 044107. [Google Scholar] [CrossRef]
- Cooke, M.E.; Rosenzweig, D.H. The rheology of direct and suspended extrusion bioprinting. APL Bioeng. 2021, 5, 011502. [Google Scholar] [CrossRef]
- Chen, T. Introduction to Thixotropy Analysis Using a Rotational Rheometer. Available online: https://www.tainstruments.com/pdf/literature/RH106.pdf (accessed on 2 October 2024).
- Salih, A.M.; Ahmad, M.B.; Ibrahim, N.A.; Dahlan, K.Z.H.M.; Tajau, R.; Mahmood, M.H.; Yunus, W.M.Z.W. Synthesis of Radiation Curable Palm Oil-Based Epoxy Acrylate: NMR and FTIR Spectroscopic Investigations. Molecules 2015, 20, 14191–14211. [Google Scholar] [CrossRef] [PubMed]
- Nau, M. Functional Surface Coatings and Novel Materials Derived from Hydroxypropyl Cellulose. Ph.D. Thesis, Technical University of Darmstadt, Darmstadt, Germany, 2020. [Google Scholar]
- Ho, F.F.L.; Kohler, R.R.; Ward, G.A. Determination of molar substitution and degree of substitution of hydroxypropyl cellulose by nuclear magnetic resonance spectrometry. Anal. Chem. 1972, 44, 178–181. [Google Scholar] [CrossRef]
- Chen, J.; Nichols, B.L.B.; Norris, A.M.; Frazier, C.E.; Edgar, K.J. All-Polysaccharide, Self-Healing Injectable Hydrogels Based on Chitosan and Oxidized Hydroxypropyl Polysaccharides. Biomacromolecules 2020, 21, 4261–4272. [Google Scholar] [CrossRef] [PubMed]
- Chan, C.L.C. Photonic Properties of Liquid Crystalline Hydroxypropyl Cellulose in the Solid-State. Ph.D. Thesis, University of Cambridge, Cambridge, UK, 2021. [Google Scholar]
- Silverstein, R.M.; Webster, F.X. Spectrometric Identification of Organic Compounds, 6th ed.; Wiley: Hoboken, NJ, USA, 1998. [Google Scholar]
- John Wiley & Sons, Inc. Data Base. Methacrylic Acid NMR Spectra. Available online: https://spectrabase.com/spectrum/8XRGDRvfQiU (accessed on 29 October 2024).
- Kostryukov, S.G.; Petrov, P.S.; Kalyazin, V.A.; Burtasov, A.A.; Pryanichnikova, M.K.; Odnopolov, A.A.; Krainov, E.V.; Tezikova, V.S. Hydrolysis of Hydroxypropyl Methylcellulose by Trifluoromethanesulfonic Acid and Subsequent Determination of Chemical Structure by 13C NMR Spectroscopy. Polym. Sci. Ser. B 2020, 62, 279–289. [Google Scholar] [CrossRef]
- Lecamp, L.; Youssef, B.; Bunel, C.; Lebaudy, P. Photoinitiated polymerization of a dimethacrylate oligomer: 2. Kinetic studies. Polymer 1999, 40, 1403–1409. [Google Scholar] [CrossRef]
- Bouzidi, A.; Bayou, S.; Khier, N.; Dehamchia, M. Photoinitiated polymerization of a dental formulation, part 2: Kinetic studies. Polym. Bull. 2024, 81, 4221–4235. [Google Scholar] [CrossRef]
- Málek, J.; Mitsuhashi, T.; Criado, J.M. Kinetic analysis of solid-state processes. J. Mater. Res. 2001, 16, 1862–1871. [Google Scholar] [CrossRef]
- Gibson, R.L.; Simmons, M.J.; Hugh Stitt, E.; West, J.; Wilkinson, S.K.; Gallen, R.W. Kinetic modelling of thermal processes using a modified Sestak-Berggren equation. Chem. Eng. J. 2021, 408, 127318. [Google Scholar] [CrossRef]
- Brown, M.E.; Maciejewski, M.; Vyazovkin, S.; Nomen, R.; Sempere, J.; Burnham, A.; Opfermann, J.; Strey, R.; Anderson, H.L.; Kemmler, A.; et al. Computational aspects of kinetic analysis. Thermochim. Acta 2000, 355, 125–143. [Google Scholar] [CrossRef]
- Cho, J.-D.; Hong, J.-W. Photo-curing kinetics for the UV-initiated cationic polymerization of a cycloaliphatic diepoxide system photosensitized by thioxanthone. Eur. Polym. J. 2005, 41, 367–374. [Google Scholar] [CrossRef]
- Niedźwiedź, M.J.; Demirci, G.; Kantor-Malujdy, N.; El Fray, M. Influence of Photoinitiator Type and Curing Conditions on the Photocuring of Soft Polymer Network. Materials 2023, 16, 7348. [Google Scholar] [CrossRef] [PubMed]
- Setter, R.; Schmölzer, S.; Rudolph, N.; Moukhina, E.; Wudy, K. Modeling of the curing kinetics of acrylate photopolymers for additive manufacturing. Polym. Eng. Sci. 2023, 63, 2149–2168. [Google Scholar] [CrossRef]
- Seghier, Z.; Voytekunas, V.; Lipik, V.; Abadie, M.J. Light Curable Dental Composites—Kinetics by Plasma and Halogen Lamps. Chem. Chem. Technol. 2011, 5, 413–421. [Google Scholar] [CrossRef]
- E37 Committee. Test Method for Kinetic Parameters by Differential Scanning Calorimetry Using Isothermal Methods; ASTM International: West Conshohocken, PA, USA, 2018. [Google Scholar]
- Lopez Hernandez, H.; Souza, J.W.; Appel, E.A. A Quantitative Description for Designing the Extrudability of Shear-Thinning Physical Hydrogels. Macromol. Biosci. 2021, 21, e2000295. [Google Scholar] [CrossRef]
- Hubbe, M.A.; Tayeb, P.; Joyce, M.; Tyagi, P.; Kehoe, M.; Dimic-Misic, K.; Pal, L. Rheology of nanocellulose-rich aqueous suspensions: A Review. BioResources 2017, 12, 9556–9661. [Google Scholar] [CrossRef]
- Bercea, M. Rheology as a Tool for Fine-Tuning the Properties of Printable Bioinspired Gels. Molecules 2023, 28, 2766. [Google Scholar] [CrossRef]
- Lommerse, J.P.M.; Price, S.L.; Taylor, R. Hydrogen bonding of carbonyl, ether, and ester oxygen atoms with alkanol hydroxyl groups. J. Comput. Chem. 1997, 18, 757–774. [Google Scholar] [CrossRef]
- Kimura, K.; Shigemura, T.; Kubo, M.; Maru, Y. 13C NMR study of O-(2-hydroxypropyl)cellulose. Makromol. Chem. 1985, 186, 61–70. [Google Scholar] [CrossRef]
- Dong, Y.; Mosquera-Giraldo, L.I.; Troutman, J.; Skogstad, B.; Taylor, L.S.; Edgar, K.J. Amphiphilic hydroxyalkyl cellulose derivatives for amorphous solid dispersion prepared by olefin cross-metathesis. Polym. Chem. 2016, 7, 4953–4963. [Google Scholar] [CrossRef]
- Bencherif, S.A.; Srinivasan, A.; Horkay, F.; Hollinger, J.O.; Matyjaszewski, K.; Washburn, N.R. Influence of the degree of methacrylation on hyaluronic acid hydrogels properties. Biomaterials 2008, 29, 1739–1749. [Google Scholar] [CrossRef] [PubMed]









| Photocrosslinkable * Ink Formulations | HPC Ink | 25/ 75 wt % MAHPC/HPC Ink | 50/50% wt MAHPC /HPC Ink | MAHPC Ink |
|---|---|---|---|---|
| Upon printing | ![]() | ![]() | ![]() | ![]() |
| After one week | ![]() | ![]() | ![]() | ![]() |
| Layers count | 50 | 150 | 150 | 1 |
| Shape fidelity | 1.2 ± 0.4 | 0.2 ± 0.02% (z) 0.01 ± 0.01% (both x,y axis) | 0.2 ± 0.02% (z) 0.03 ± 0.02% (both x,y axis) | NA |
| Gel content of printed bars | NA | 38.6 ± 5.5% | 56.9 ± 3.9% | 99.9 ± 0.4% |
Disclaimer/Publisher’s Note: The statements, opinions and data contained in all publications are solely those of the individual author(s) and contributor(s) and not of MDPI and/or the editor(s). MDPI and/or the editor(s) disclaim responsibility for any injury to people or property resulting from any ideas, methods, instructions or products referred to in the content. |
© 2025 by the authors. Licensee MDPI, Basel, Switzerland. This article is an open access article distributed under the terms and conditions of the Creative Commons Attribution (CC BY) license (https://creativecommons.org/licenses/by/4.0/).
Share and Cite
Yapa, M.-T.; Sivasankarapillai, G.; Lalevée, J.; Laborie, M.-P. Direct Ink Writing and Photocrosslinking of Hydroxypropyl Cellulose into Stable 3D Parts Using Methacrylation and Blending. Polymers 2025, 17, 278. https://doi.org/10.3390/polym17030278
Yapa M-T, Sivasankarapillai G, Lalevée J, Laborie M-P. Direct Ink Writing and Photocrosslinking of Hydroxypropyl Cellulose into Stable 3D Parts Using Methacrylation and Blending. Polymers. 2025; 17(3):278. https://doi.org/10.3390/polym17030278
Chicago/Turabian StyleYapa, Mehmet-Talha, Gopakumar Sivasankarapillai, Jacques Lalevée, and Marie-Pierre Laborie. 2025. "Direct Ink Writing and Photocrosslinking of Hydroxypropyl Cellulose into Stable 3D Parts Using Methacrylation and Blending" Polymers 17, no. 3: 278. https://doi.org/10.3390/polym17030278
APA StyleYapa, M.-T., Sivasankarapillai, G., Lalevée, J., & Laborie, M.-P. (2025). Direct Ink Writing and Photocrosslinking of Hydroxypropyl Cellulose into Stable 3D Parts Using Methacrylation and Blending. Polymers, 17(3), 278. https://doi.org/10.3390/polym17030278









