Torsional Characteristics of Injection-Molded Hinges from Plastics and Glass Fiber-Reinforced Plastics
Abstract
1. Introduction
2. Experimental Methods
3. Results and Discussion
3.1. Polymers Flexure Hinge
3.2. Composite Flexure Hinges
4. Conclusions
- -
- The torsional moment of the ABS flexural hinge varies from −0.2 to 0.94 N∙m. The negative line mostly varies about −0.2 N∙m, indicating the stable performance of the ABS flexural hinge at this range. On the contrary, with the positive line, the torsional moment suffers a steady decline.
- -
- The torsional moment of the PP polymer mostly oscillates from −0.6 to 0.8 N∙m. Compared to the ABS flexural plastic hinges, the absolute value of the negative torsional moment of the PP flexural hinge is lower, indicating a stronger resistance to plastic deformation. On the contrary, at the positive torsion range, the PP flexural plastic hinge performs a lower maximum torsional moment than the ABS one. Moreover, the PP flexural hinges have a lower decreasing speed over 100 cycles, reaching the lowest point at about 0.5 N∙m. In other words, the PP flexural hinge has a more stable performance than the ABS one and a higher value in negative torsional moment.
- -
- The torsional moment of the PA6 polymer mainly varies from −0.2 to 1.0 N∙m. Interestingly, the torsional moment diagram of this polymer is similar to the ABS one, having a stable pattern in both positive and negative ranges. Additionally, the PA6 flexural hinges perform at a higher value in the positive range than the ABS range. In the negative range, the PA6 has the highest torsional moment when considering the absolute value. Both ABS and PA6 flexural hinges have a higher level of stability compared to the PP one due to the higher elastic modulus and higher strength of these polymers than the PP polymer.
- -
- Among three pure polymers, the PP flexural hinge could achieve the lowest negative torsional moment of −0.6 N∙m compared to ABS and PA flexural hinges. In reverse, the PA6 could gain the highest positive torsional moment of 1.0 N∙m. PA6 flexural hinges achieve the most stable torsional moment compared to the other pure polymer types, indicating their advantages.
- -
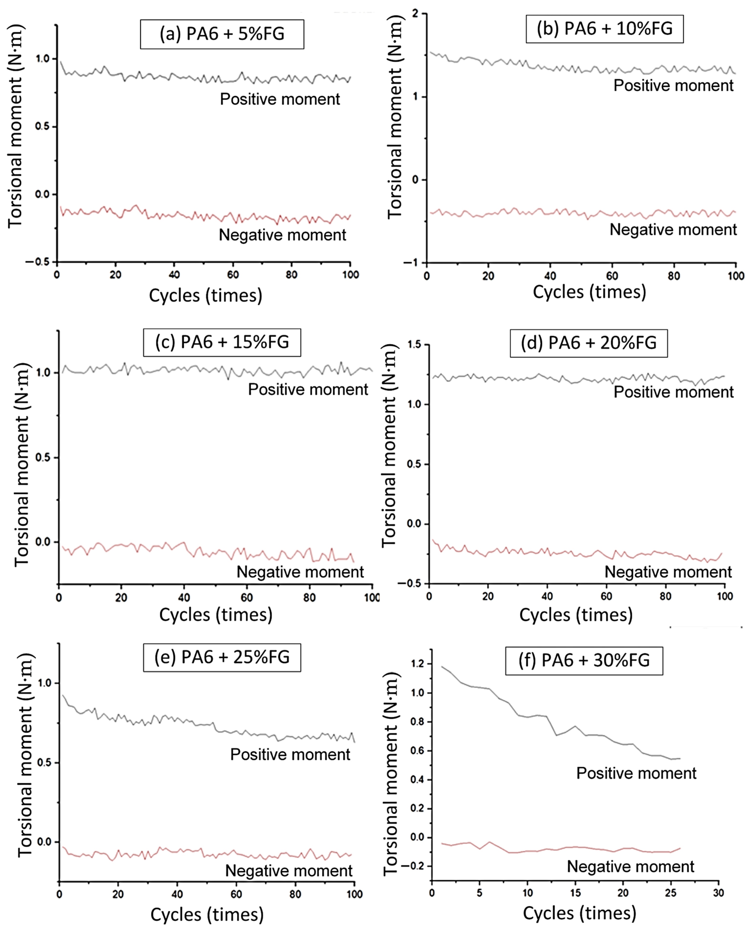
- Adding from 5% to 10% FG mostly helps improve the torsional moment of the composite flexural hinges. Moreover, both the positive and negative torsional moment values also experience a stable condition when testing at all cycle ranges. This improvement comes from the suitable reinforcement of the matrix, while the ductility of the materials is still good. However, further adding 15% to 30% FG, the torsional moment mostly fluctuates around −0.1 to 1.0 N∙m, pointing out the limitation of the reinforcement effect. PA6 mixed with 10% FG appears to be the optimal material among the surveyed range. The results broaden the application of injection-molded plastic flexure hinges and enhance our understanding of them. Further investigation should conduct some statistical analysis to clarify the differences between the torques for the different materials.
Author Contributions
Funding
Institutional Review Board Statement
Informed Consent Statement
Data Availability Statement
Conflicts of Interest
References
- Yu, C.; Xiong, M.; Cui, L.; Dai, L. Transmission characteristics of a two-dimensional flexure hinge mechanism. Microsyst. Technol. 2019, 26, 1223–1234. [Google Scholar] [CrossRef]
- Zhang, C.; Rossi, C. Effects of Elastic Hinges on Input Torque Requirements for a Motorized Indirect-Driven Flapping-Wing Compliant Transmission Mechanism. IEEE Access 2019, 7, 13068–13077. [Google Scholar] [CrossRef]
- Huo, Z.; Li, G.; Tan, L.; Yang, T.; Tian, D.; Li, J. Optimal Design of High-Precision Focusing Mechanism Based on Flexible Hinge. Machines 2024, 12, 627. [Google Scholar] [CrossRef]
- Chen, H.; Wang, B.; Lin, X.; A Seffen, K.; Zhong, S. Folding mechanics of a bistable composite tape-spring for flexible mechanical hinge. Int. J. Mech. Sci. 2024, 272. [Google Scholar] [CrossRef]
- Du, Z.; Yang, M.; Dong, W.; Zhang, D. Static deformation modeling and analysis of flexure hinges made of a shape memory alloy. Smart Mater. Struct. 2016, 25, 115029. [Google Scholar] [CrossRef]
- Warren, P.; Dobson, B.; Hinkle, J.; Silver, M. Experimental Characterization of Lightweight Strain Energy Deployment Hinges. In Proceedings of the 46th AIAA/ASME/ASCE/AHS/ASC Structures, Structural Dynamics and Materials Conference, Austin, TX, USA, 18–21 April 2005; 5. [Google Scholar] [CrossRef]
- Zhang, X.; Zhu, B. Topology Optimization of Compliant Mechanisms, 1st ed.; Springer Nature: Dordrecht, GX, Netherlands, 2018; pp. 99–151. [Google Scholar] [CrossRef]
- Körner, A.H. Compliant folding: Design and fabrication methodology for bio-inspired kinetic folding mechanisms utilized by distinct flexible hinge zones. Ph.D. Dissertation, Universität Stuttgart, Stuttgart, Germany, 2021. [Google Scholar]
- Liu, T.; Hao, G. Design of Deployable Structures by Using Bistable Compliant Mechanisms. Micromachines 2022, 13, 651. [Google Scholar] [CrossRef]
- Lobontiu, N. Compliant Mechanisms: Design of Flexure Hinges; Taylor & Francis: Boca Raton, FL, USA, 2002; pp. 53–102. [Google Scholar] [CrossRef]
- Oh, Y.S.; Kota, S. Synthesis of Multistable Equilibrium Compliant Mechanisms Using Combinations of Bistable Mechanisms. J. Mech. Des. 2009, 131, 021002. [Google Scholar] [CrossRef]
- Jensen, B.D.; Howell, L.L. Bistable Configurations of Compliant Mechanisms Modeled Using Four Links and Translational Joints. J. Mech. Des. 2004, 126, 657–666. [Google Scholar] [CrossRef]
- Cao, Y.; Derakhshani, M.; Fang, Y.; Huang, G.; Cao, C. Bistable Structures for Advanced Functional Systems. Adv. Funct. Mater. 2021, 31, 2106231. [Google Scholar] [CrossRef]
- A Zirbel, S.; A Tolman, K.; Trease, B.P.; Howell, L.L. Bistable Mechanisms for Space Applications. PLoS ONE 2016, 11, e0168218. [Google Scholar] [CrossRef]
- Dang, M.P.; Le, H.G.; Tran, N.T.D.; Le Chau, N.; Dao, T.-P. Optimal Design and Analysis for a New 1-DOF Compliant Stage Based on Additive Manufacturing Method for Testing Medical Specimens. Symmetry 2022, 14, 1234. [Google Scholar] [CrossRef]
- Dang, M.P.; Le, H.G.; Van, M.N.; Le Chau, N.; Dao, T.-P. Modeling and Optimization for a New Compliant 2-dof Stage for Locating Biomaterial Samples by an Efficient Approach of a Kinetostatic Analysis-Based Method and Neural Network Algorithm. Comput. Intell. Neurosci. 2022, 2022, 1–25. [Google Scholar] [CrossRef] [PubMed]
- Dang, M.P.; Le, H.G.; Phan, T.T.D.; Le Chau, N.; Dao, T.-P. Design and Optimization for a New XYZ Micropositioner with Embedded Displacement Sensor for Biomaterial Sample Probing Application. Sensors 2022, 22, 8204. [Google Scholar] [CrossRef] [PubMed]
- Hinkley, D.; Simburger, E. A multifunctional flexure hinge for deploying omnidirectional solar arrays. In Proceedings of the 19th AIAA Applied Aerodynamics Conference, Seattle, WA, USA, 16–19 April 2001. [Google Scholar] [CrossRef]
- Xu, D.; Ng, M.-K.; Fan, R.; Zhou, R.; Wang, H.-P.; Chen, J.; Cao, J. Enhancement of adhesion strength by micro-rolling-based surface texturing. Int. J. Adv. Manuf. Technol. 2015, 78, 1427–1435. [Google Scholar] [CrossRef]
- Velásquez-García, L.F.; Kornbluth, Y. Biomedical Applications of Metal 3D Printing. Annu. Rev. Biomed. Eng. 2021, 23, 307–338. [Google Scholar] [CrossRef]
- Li, Y.; Liu, B.; Ge, W.; Tong, X. Optimization design of compliant focusing mechanism for space optical camera with light weight. Adv. Mech. Eng. 2022, 14. [Google Scholar] [CrossRef]
- Pham, H.-T.; Nguyen, V.-K.; Dang, Q.-K.; Duong, T.V.A.; Nguyen, D.-T.; Phan, T.-V. Design Optimization of Compliant Mechanisms for Vibration- Assisted Machining Applications Using a Hybrid Six Sigma, RSM-FEM, and NSGA-II Approach. J. Mach. Eng. 2023. [Google Scholar] [CrossRef]
- Lin, J.-W.; Zhao, Y.; Wu, Q.-W.; Han, H.-S.; Yu, P.; Zhang, Y. Design and analysis of a triangular bi-axial flexure hinge. Proc. Inst. Mech. Eng. Part C J. Mech. Eng. Sci. 2023, 237, 4991–5004. [Google Scholar] [CrossRef]
- Mozhi, G.T.; Dhanalakshmi, K.; Choi, S.-B. Design and Control of Monolithic Compliant Gripper Using Shape Memory Alloy Wires. Sensors 2023, 23, 2052. [Google Scholar] [CrossRef]
- Kazmer, D.; Peterson, A.M.; Masato, D.; Colon, A.R.; Krantz, J. Strategic cost and sustainability analyses of injection molding and material extrusion additive manufacturing. Polym. Eng. Sci. 2023, 63, 943–958. [Google Scholar] [CrossRef]
- Czepiel, M.; Bańkosz, M.; Sobczak-Kupiec, A. Advanced Injection Molding Methods: Review. Materials 2023, 16, 5802. [Google Scholar] [CrossRef] [PubMed]
- Minh, P.S.; Nguyen, V.-T.; Uyen, T.M.T.; Huy, V.Q.; Le Dang, H.N.; Nguyen, V.T.T. Enhancing Amplification in Compliant Mechanisms: Optimization of Plastic Types and Injection Conditions. Polymers 2024, 16, 394. [Google Scholar] [CrossRef]
- ASTM A938-18; Standard Test Method for Torsion Testing of Wire. ASTM International: West Conshohocken, PA, USA, 2024. [CrossRef]
- Rabinowitz, S.; Beardmore, P. Cyclic deformation and fracture of polymers. J. Mater. Sci. 1974, 9, 81–99. [Google Scholar] [CrossRef]
- Luna, C.B.B.; Filho, E.A.d.S.; Siqueira, D.D.; Araújo, E.M.; Nascimento, E.P.D.; de Mélo, T.J.A. Influence of Small Amounts of ABS and ABS-MA on PA6 Properties: Evaluation of Torque Rheometry, Mechanical, Thermomechanical, Thermal, Morphological, and Water Absorption Kinetics Characteristics. Materials 2022, 15, 2502. [Google Scholar] [CrossRef] [PubMed]
- Piedade, L.P.; Pintão, C.A.F.; Foschini, C.R.; da Silva, M.R.; Neto, N.F.A. Alternative dynamic torsion test to evaluate the elastic modulus of polymers. Mater. Res. Express 2020, 7, 095306. [Google Scholar] [CrossRef]
- Sattar, S.; Laredo, B.B.; Pedrazzoli, D.; Zhang, M.; Kravchenko, S.G.; Kravchenko, O.G. Mechanical behavior of long discontinuous glass fiber nylon composite produced by in-situ polymerization. Compos. Part A Appl. Sci. Manuf. 2022, 154. [Google Scholar] [CrossRef]
- Su, L.; Sun, B.; Zhang, Y. Progressive damage analysis of deployable composite cylindrical thin-walled hinges. In Proceedings of the 2019 IEEE 10th International Conference on Mechanical and Aerospace Engineering (ICMAE), Brussels, Belgium, 22–25 July 2019. [Google Scholar] [CrossRef]
- Fava, M.; Parenti-Castelli, V.; Conconi, M.; Sancisi, N. A new combined fabrication process to shape small flexure hinges. Meccanica 2024, 59, 1327–1334. [Google Scholar] [CrossRef]






| Materials | Filling Press. (MPa) | Filling Speed Rate (g/s) | Filling Time (s) | Packing Press. (MPa) | Packing Time (s) | Temp. (°C) |
|---|---|---|---|---|---|---|
| Pure PP | 5.5 | 138.6 | 2 | 5.1 | 1 | 210 |
| Pure ABS | 9.5 | 138.6 | 2 | 8.7 | 1 | 200 |
| Pure PA6 | 10.0 | 138.6 | 2 | 8.8 | 1 | 270 |
| PA6 + 5% GF | 10.0 | 138.6 | 2 | 8.8 | 1 | 270 |
| PA6 + 10% GF | 10.0 | 138.6 | 2 | 8.8 | 1 | 270 |
| PA6 + 15% GF | 10.5 | 138.6 | 2 | 9.3 | 1 | 270 |
| PA6 + 20% GF | 10.5 | 138.6 | 2 | 9.3 | 1 | 270 |
| PA6 + 25% GF | 10.5 | 138.6 | 2 | 9.3 | 1 | 270 |
| PA6 + 30% GF | 10.5 | 138.6 | 2 | 9.3 | 1 | 270 |
| Materials | Torsional Moment (N∙m) | Characteristics of the Torsional Moment Diagrams |
|---|---|---|
| ABS | −0.2 to 0.94 | Non-stable positive range with fast decreasing |
| PP | −0.6 to 0.8 | Quite stable positive range, best negative value |
| PA6 | −0.2 to 1.0 | Stable positive range |
| PA6 + 5% FG | −0.5 to 1.0 | Stable positive range, higher positive value than pure PA6 |
| PA6 + 10% FG | −0.5 to 1.5 | Stable positive range, highest positive value among all PA6-based composites. |
| PA6 + 15% FG | −0.1 to 1.0 | Stable positive range, low negative value |
| PA6 + 20% FG | −0.25 to 1.25 | Stable positive range, low negative value |
| PA6 + 25% FG | −0.1 to 0.75 | Quite stable positive range, low positive value |
| PA6 + 30% FG | −0.1 to 1.2 | Non-stable positive range with fast decreasing |
Disclaimer/Publisher’s Note: The statements, opinions and data contained in all publications are solely those of the individual author(s) and contributor(s) and not of MDPI and/or the editor(s). MDPI and/or the editor(s) disclaim responsibility for any injury to people or property resulting from any ideas, methods, instructions or products referred to in the content. |
© 2025 by the authors. Licensee MDPI, Basel, Switzerland. This article is an open access article distributed under the terms and conditions of the Creative Commons Attribution (CC BY) license (https://creativecommons.org/licenses/by/4.0/).
Share and Cite
Uyen, T.M.T.; Nguyen, V.-T.; Vo, X.-T.; Minh, P.S.; Dang, H.N.L. Torsional Characteristics of Injection-Molded Hinges from Plastics and Glass Fiber-Reinforced Plastics. Polymers 2025, 17, 2682. https://doi.org/10.3390/polym17192682
Uyen TMT, Nguyen V-T, Vo X-T, Minh PS, Dang HNL. Torsional Characteristics of Injection-Molded Hinges from Plastics and Glass Fiber-Reinforced Plastics. Polymers. 2025; 17(19):2682. https://doi.org/10.3390/polym17192682
Chicago/Turabian StyleUyen, Tran Minh The, Van-Thuc Nguyen, Xuan-Tien Vo, Pham Son Minh, and Hai Nguyen Le Dang. 2025. "Torsional Characteristics of Injection-Molded Hinges from Plastics and Glass Fiber-Reinforced Plastics" Polymers 17, no. 19: 2682. https://doi.org/10.3390/polym17192682
APA StyleUyen, T. M. T., Nguyen, V.-T., Vo, X.-T., Minh, P. S., & Dang, H. N. L. (2025). Torsional Characteristics of Injection-Molded Hinges from Plastics and Glass Fiber-Reinforced Plastics. Polymers, 17(19), 2682. https://doi.org/10.3390/polym17192682

