Research on the Blast Mitigation Performance of Polyurea–Steel Composite Plates Based on Constrained Layer Damping Structures
Abstract
1. Introduction
2. Test Specimen Preparation Process
2.1. Polyurea
2.2. Preparation Process of Polyurea–Steel Composite Plate
3. Experiments
3.1. Mechanical Performance Test
3.2. Dynamic Mechanical Analysis
3.3. Explosion Test
4. Experimental Results and Analysis
4.1. Mechanical Properties Under Different Strain Rates
4.2. Dynamic Thermomechanical Analysis
4.2.1. Storage Modulus and Loss Modulus
4.2.2. Loss Factor and Its Master Curve
4.3. Blast Mitigation Performance
5. Simulation Model Establishment and Parameter Setting
5.1. Establishment of Simulation Model
5.2. Material Model
5.3. Structural Deformation Verification
6. Simulation Results and Analysis
6.1. Response Process Analysis
6.2. Composite Structure Energy Analysis
7. Conclusions
- Q413t shows a pronounced strain-rate effect under intermediate strain rates. At a strain rate of 770.88 s−1, its maximum true stress increased by 104%. In contrast, FPU-1 experienced a significant increase in maximum engineering stress due to the strain-rate effect, but its breaking elongation decreased notably. Specifically, at a strain rate of 759.12 s−1, the breaking elongation of FPU-1 decreased by 49% compared to that at 0.1 s−1, resulting in a relatively stable maximum true stress.
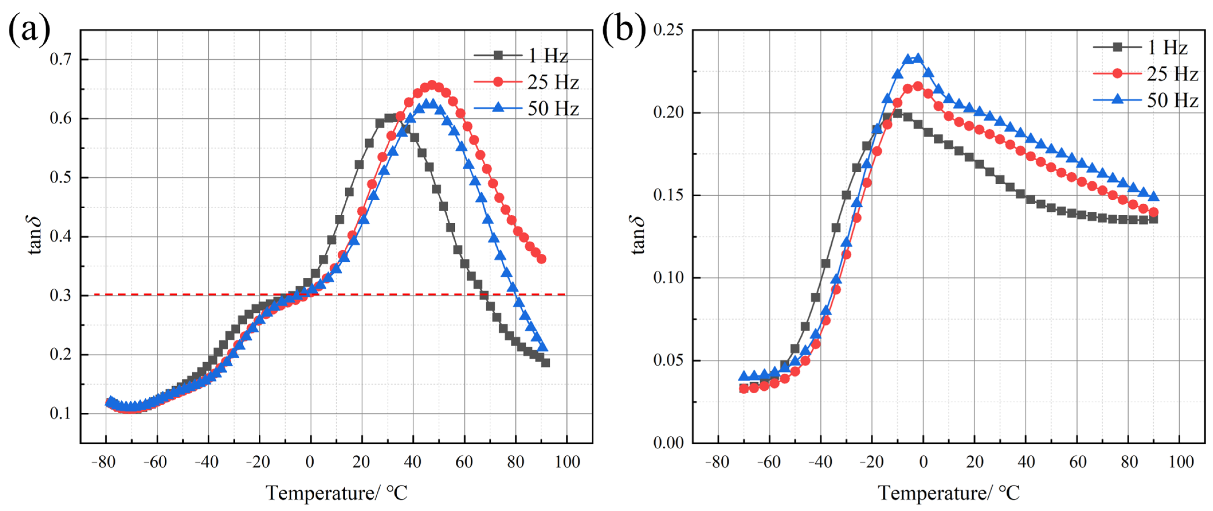
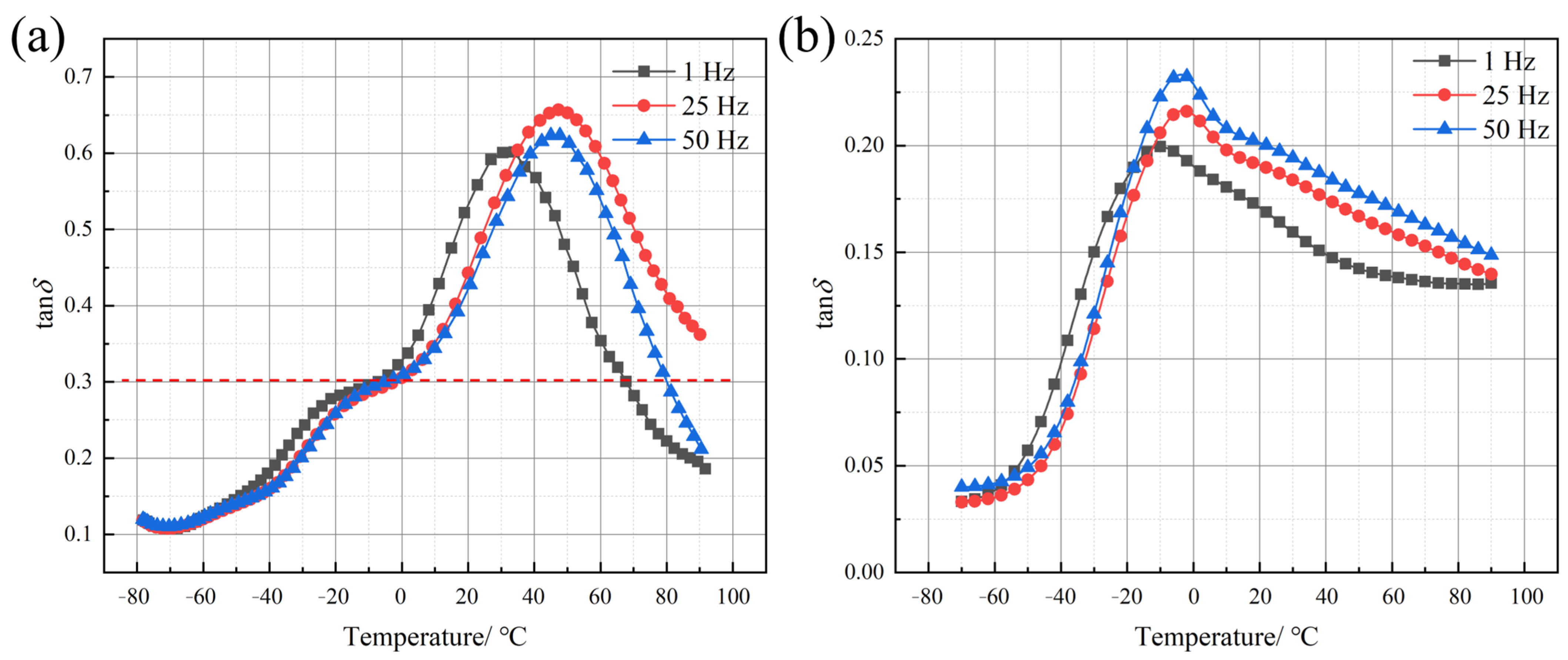
- Q413t exhibits a superior damping performance over a broad effective-damping frequency range (0–104 Hz), whereas FPU-1 demonstrates effective damping within a narrower frequency range of 104–105 Hz. When combined into a constrained damping composite coating, the resulting structure achieves an extended effective damping frequency range, which enhances the coating’s ability to absorb and mitigate external loads.
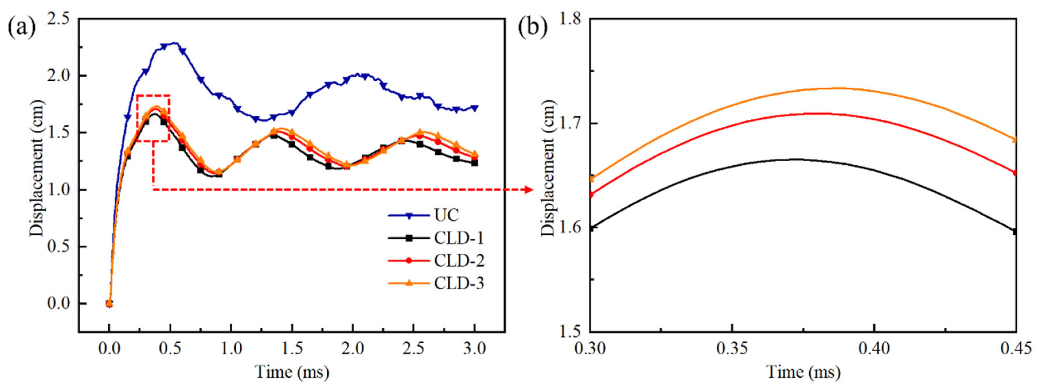
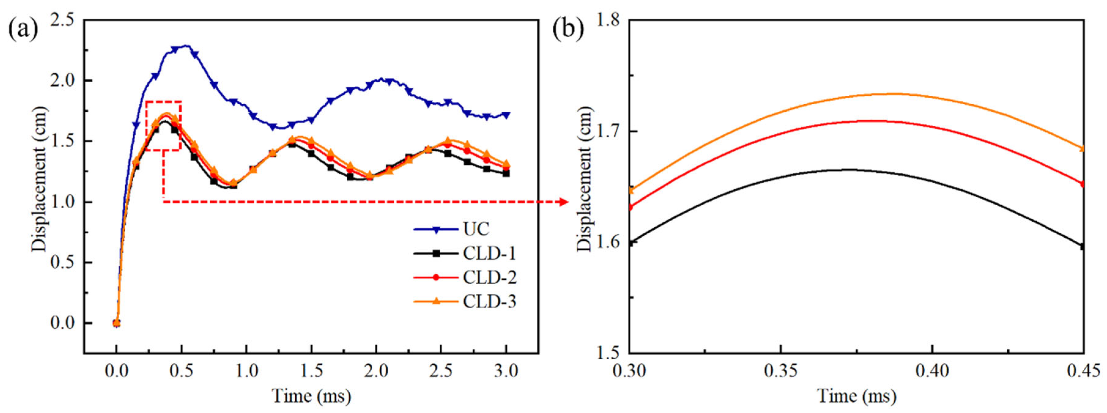
- Both explosion tests and finite element simulations confirm that the constrained-damping composite coating applied to the back blast faces of steel plates significantly improves their blast resistance. In this structure, the damping layer mitigates structural damage by dispersing the explosive load and dissipating energy, while the constraining layer suppresses deformation due to its higher mechanical strength. Additionally, the relative displacement between the two layers contributes to an overall enhancement of the system’s damping performance. Integrating experimental and simulation results with the protective characteristics of the two materials, it is determined that the optimal thickness ratio of the damping layer to the constraint layer is 1:3. The constrained layer damping coating synergistically enhances mechanical strength and energy dissipation, effectively reducing structural deformation and demonstrating promising potential for engineering applications.
Author Contributions
Funding
Institutional Review Board Statement
Data Availability Statement
Acknowledgments
Conflicts of Interest
References
- Zhang, R.; Huang, W.; Lyu, P.; Yan, S.; Wang, X.; Ju, J. Polyurea for Blast and Impact Protection: A Review. Polymers 2022, 14, 2670. [Google Scholar] [CrossRef] [PubMed]
- Wang, Y.; Ding, L.; Lin, J.; Qiu, X.; Wu, C.; Liu, C.; Tian, Y.; Zhang, R.; Huang, W.; Ma, M. Recent Developments in Polyurea Research for Enhanced Impact Penetration Resistance and Blast Mitigation. Polymers 2024, 16, 440. [Google Scholar] [CrossRef] [PubMed]
- Bucur, F.; Trana, E.; Rotariu, A. Numerical and Experimental Study on the Locally Blast Loaded Polyurea Coated Steel Plates. Mater. Plast. 2019, 56, 492–499. [Google Scholar] [CrossRef]
- Wu, G.; Ji, C.; Wang, X.; Gao, F.-Y.; Zhao, C.-X.; Liu, Y.-J.; Yang, G.-L. Blast response of clay brick masonry unit walls unreinforced and reinforced with polyurea elastomer. Def. Technol. 2022, 18, 643–662. [Google Scholar] [CrossRef]
- Zhang, P.; Wang, Z.; Zhao, P.; Zhang, L.; Jin, X.C.; Xu, Y. Experimental investigation on ballistic resistance of polyurea coated steel plates subjected to fragment impact. Thin-Walled Struct. 2019, 144, 106342. [Google Scholar] [CrossRef]
- Sun, Y.; Wang, X.; Ji, C.; Zhao, C.; Liu, P.; Meng, L.; Zhang, K.; Jiang, T. Experimental investigation on anti-penetration performance of polyurea-coated ASTM1045 steel plate subjected to projectile impact. Def. Technol. 2021, 17, 1496–1513. [Google Scholar] [CrossRef]
- Jiang, Y.; Zhang, B.; Wei, J.; Wang, W. Study on the impact resistance of polyurea-steel composite plates to low velocity impact. Int. J. Impact Eng. 2019, 133, 103357. [Google Scholar] [CrossRef]
- Zhang, L.; An, F.; Liu, J.; Dong, Y.; Li, Y.; Feng, B. Underwater explosion resistance of air-backed plate with steel and polyurea: Effect of polyurea spraying position. Ocean. Eng. 2023, 283, 115025. [Google Scholar] [CrossRef]
- Zhu, H.; Wang, X.; Wang, Y.; Wu, G.; Cao, Y.; Ji, C. Dynamic responses of aluminum alloy plates coated with polyurea elastomer subjected to repeated blast loads: Experimental and numerical investigation. Thin-Walled Struct. 2023, 189, 110912. [Google Scholar] [CrossRef]
- Zhang, L.; Ji, C.; Zhao, C.; Wang, Y.; Wang, X. Non-monotonous strengthening effects of polyurea layer on polyurea-aluminum composite plate subjected to blast of charge with prefabricated fragments. Thin-Walled Struct. 2023, 192, 111194. [Google Scholar] [CrossRef]
- Zhang, H.; Meng, J.; Cai, L.; Wang, Z.; Tong, G. Polyurea: Evolution, synthesis, performance, modification, and future directions. Prog. Org. Coat. 2025, 201, 109127. [Google Scholar] [CrossRef]
- Zhang, L.; Wang, Y.; Wang, X.; Ji, C.; Gu, J.; Zhao, C. Investigation on the influence mechanism of polyurea material property on the blast resistance of polyurea-steel composite plate. Structures 2022, 44, 1910–1927. [Google Scholar] [CrossRef]
- He, J.; Wang, X.; Zhang, H.; Sun, X.; Wu, M.; Pi, D.; Qin, W.; Hu, Y. Study of the blast resistance and protection mechanism of polyurea-coated armor composite structures: Experiments and simulations. Shock Waves 2024, 34, 591–607. [Google Scholar] [CrossRef]
- Zhu, H.; Wang, X.; Wang, Y.; Ji, C.; Wu, G.; Zhang, L.; Han, Z. Damage behavior and assessment of polyurea sprayed reinforced clay brick masonry walls subjected to close-in blast loads. Int. J. Impact Eng. 2022, 167, 104283. [Google Scholar] [CrossRef]
- Hou, H.; Chen, C.; Cheng, Y.; Zhang, P.; Tian, X.; Liu, T.; Wang, J. Effect of structural configuration on air blast resistance of polyurea-coated composite steel plates: Experimental studies. Mater. Des. 2019, 182, 108049. [Google Scholar] [CrossRef]
- Chu, D.; Wang, Y.; Yang, S.; Li, Z.; Zhuang, Z.; Liu, Z. Analysis and design for the comprehensive ballistic and blast resistance of polyurea-coated steel plate. Def. Technol. 2023, 19, 35–51. [Google Scholar] [CrossRef]
- Wu, G.; Wang, X.; Ji, C.; Gao, Z.; Jiang, T.; Zhao, C.; Liu, Y. Anti-blast properties of 6063-T5 aluminum alloy circular tubes coated with polyurea elastomer: Experiments and numerical simulations. Thin-Walled Struct. 2021, 164, 107842. [Google Scholar] [CrossRef]
- He, J.; Sun, X.; Pi, D.; Wang, X.; Wu, M.; Qin, W.; Wu, A.; Qu, Y.; Wang, B. An experimental study on the resistance of a polyurea-sprayed structure to low-speed drop hammer impact. Constr. Build. Mater. 2024, 435, 136915. [Google Scholar] [CrossRef]
- Huang, W.; Zhang, R.; Wang, X.; Lyu, P.; Ju, J.; Gao, F.; Yan, S. Study of Blast Mitigation Performance and Fracture Mechanism of Polyurea under Contact Explosion. Polymers 2022, 14, 3458. [Google Scholar] [CrossRef]
- Zhang, R.; Ju, J.; Ye, X.; Gao, F.; Zou, T.; Huang, W.; Dong, Q. Study on the effect of mechanical and damping properties of polyurea on blast mitigation performance and protection mechanism. Prog. Org. Coat. 2024, 197, 108783. [Google Scholar] [CrossRef]
- Cui, J.; Shi, Y.; Zhang, X.; Huang, W.; Ma, M. Experimental study on the tension and puncture behavior of spray polyurea at high strain rates. Polym. Test. 2021, 93, 106863. [Google Scholar] [CrossRef]
- Tian, C.; Yang, S.; Feng, J.; Dong, Q. Influence of polyurea on dynamic response behaviors of cylindrical composite shells under internal explosion load. Compos. Struct. 2024, 329, 117800. [Google Scholar] [CrossRef]


















| Components | Relative Molecular Mass | Functionality | Manufacturer |
|---|---|---|---|
| Methylene diphenyl diisocyanate (MDI-50) | 250 | 2 | Wanhua Chemical Group Co., Ltd., Yantai, China |
| Polytetramethyleneoxide-di-p-aminobenzoate (P-1000) | 1000 | 2 | Suzhou Xiangyuan New Materials Co., Ltd., Suzhou, China |
| 3-Chloro-4,4′-diaminodiphenylmethane (ML-400) | 244 | 2 | Suzhou Xiangyuan New Materials Co., Ltd., Suzhou, China |
| Q413t viscoelastic damping polyurea (Q413t) component A | - | - | Qingdao Shamu Advanced Material Co., Ltd., Qingdao, China |
| Q413t viscoelastic damping polyurea (Q413t) component B | Qingdao Shamu Advanced Material Co., Ltd., Qingdao, China |
| I.D. | Thickness of Damping Layer (mm) | Thickness of Constraining Layer (mm) | Schematic Diagram |
|---|---|---|---|
| UC | - | - | ![]() |
| CLD-1 | 1 | 3 | ![]() |
| CLD-2 | 2 | 2 | ![]() |
| CLD-3 | 3 | 1 | ![]() |
represents the steel plate;
represents the damping layer;
represents the constraining layer.| Type | Strain (s−1) | Elastic Modulus (MPa) | Tangent Modulus (MPa) | Tensile Strength (MPa) | Elongation (%) |
|---|---|---|---|---|---|
| Q413t | 0.001 | 1.06 ± 0.01 | 0.38 ± 0.01 | 0.51 ± 0.01 | ≥73 |
| 0.01 | 1.52 ± 0.01 | 0.41 ± 0.01 | 2.89 ± 0.01 | ≥445 | |
| 0.1 | 1.82 ± 0.03 | 0.41 ± 0.01 | 3.33 ± 0.02 | ≥467 | |
| FPU-1 | 0.001 | 23.66 ± 0.07 | 1.58 ± 0.01 | 17.62 ± 0.64 | ≥420 |
| 0.01 | 27.78 ± 0.24 | 2.39 ± 0.01 | 20.24 ± 0.35 | ≥381 | |
| 0.1 | 35.73 ± 0.95 | 2.62 ± 0.01 | 21.28 ± 1.02 | ≥368 |
| ρ (g/cm3) | E (GPa) | ν | σ0 (GPa) | Et (GPa) |
| 7.85 | 210 | 0.3 | 0.235 | 2.1 |
| ρ (g·cm−3) | C0–C3 | C4 | C5 | e (J·cm−3) |
|---|---|---|---|---|
| 0.00129 | 0 | 0.4 | 0.4 | 2.5 × 105 |
| ρ (g·cm−3) | D (m·s−1) | PCJ (GPa) | A (GPa) | B (GPa) |
|---|---|---|---|---|
| 1.58 | 6880 | 19.4 | 307 | 3.898 |
| I.D. | Experimental Results (cm) | Numerical Simulation (cm) | Inaccuracies (%) |
|---|---|---|---|
| UC | 1.90 | 1.86 | −2.1 |
| CLD-1 | 1.23 | 1.31 | 6.5 |
| CLD-2 | 1.37 | 1.34 | −2.1 |
| CLD-3 | 1.49 | 1.36 | −8.7 |
| I.D. | Total Final Absorbed Energy (J) | Final Kinetic Energy (J) | Final Internal Energy (J) | Viscoelastic Dissipation of Constrained Layer Damping Coating (J) | ||||||
|---|---|---|---|---|---|---|---|---|---|---|
| Steel | Q413t | FPU-1 | Steel | Q413t | FPU-1 | Steel | Q413t | FPU-1 | ||
| UC | 1351 | 6.27 | 1344 | |||||||
| CLD-1 | 1012 | 64 | 219 | 0.10 | 0.0012 | 0.0036 | 1012 | 64 | 219 | 283 |
| CLD-2 | 1034 | 102 | 162 | 2.76 | 0.069 | 0.069 | 1032 | 102 | 162 | 264 |
| CLD-3 | 1060 | 143 | 97 | 6.10 | 0.23 | 0.077 | 1054 | 143 | 97 | 240 |
Disclaimer/Publisher’s Note: The statements, opinions and data contained in all publications are solely those of the individual author(s) and contributor(s) and not of MDPI and/or the editor(s). MDPI and/or the editor(s) disclaim responsibility for any injury to people or property resulting from any ideas, methods, instructions or products referred to in the content. |
© 2025 by the authors. Licensee MDPI, Basel, Switzerland. This article is an open access article distributed under the terms and conditions of the Creative Commons Attribution (CC BY) license (https://creativecommons.org/licenses/by/4.0/).
Share and Cite
Zhang, R.; Dong, Q.; Fang, Z.; Deng, Y.; Li, P.; Xu, H.; Huang, W. Research on the Blast Mitigation Performance of Polyurea–Steel Composite Plates Based on Constrained Layer Damping Structures. Polymers 2025, 17, 2461. https://doi.org/10.3390/polym17182461
Zhang R, Dong Q, Fang Z, Deng Y, Li P, Xu H, Huang W. Research on the Blast Mitigation Performance of Polyurea–Steel Composite Plates Based on Constrained Layer Damping Structures. Polymers. 2025; 17(18):2461. https://doi.org/10.3390/polym17182461
Chicago/Turabian StyleZhang, Rui, Qi Dong, Zhiqiang Fang, Yongjun Deng, Pengcheng Li, Hao Xu, and Weibo Huang. 2025. "Research on the Blast Mitigation Performance of Polyurea–Steel Composite Plates Based on Constrained Layer Damping Structures" Polymers 17, no. 18: 2461. https://doi.org/10.3390/polym17182461
APA StyleZhang, R., Dong, Q., Fang, Z., Deng, Y., Li, P., Xu, H., & Huang, W. (2025). Research on the Blast Mitigation Performance of Polyurea–Steel Composite Plates Based on Constrained Layer Damping Structures. Polymers, 17(18), 2461. https://doi.org/10.3390/polym17182461





