Effects of Chemical Composition and Cross-Linking Degree on the Thermo-Mechanical Properties of Bio-Based Thermosetting Resins: A Molecular Dynamics Simulation Study
Abstract
1. Introduction
2. Methodology
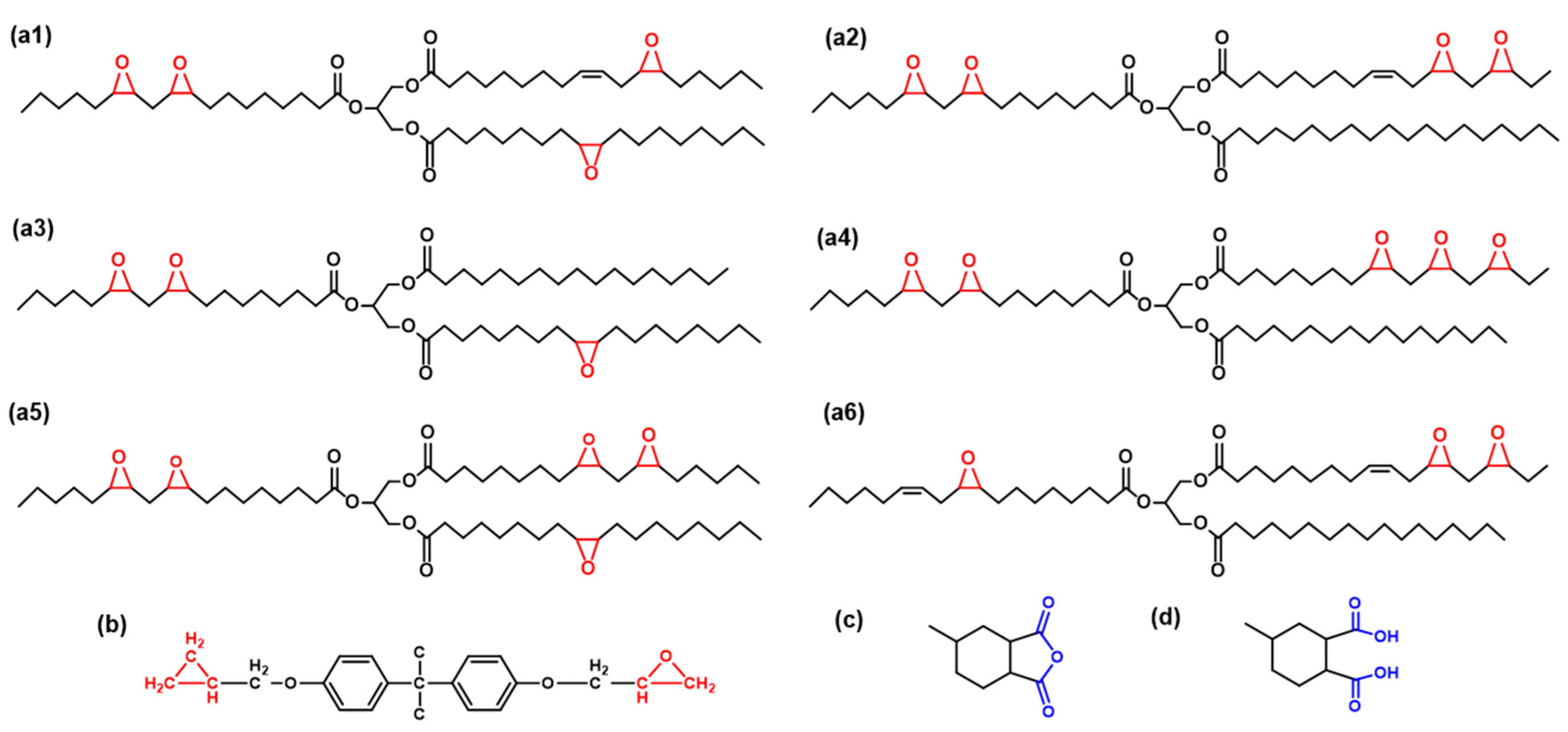
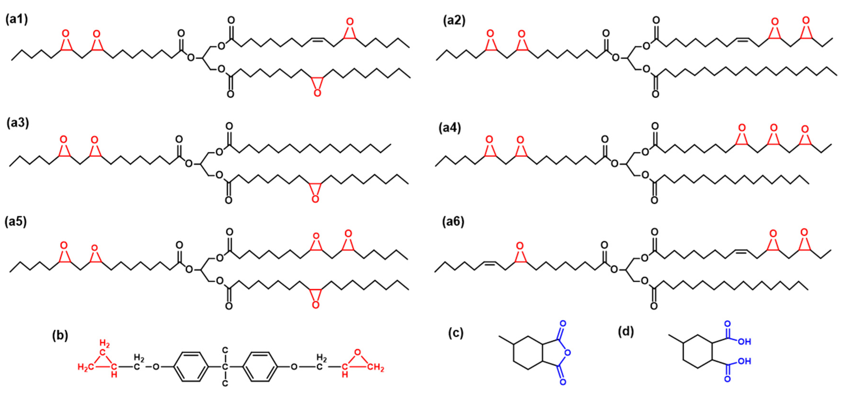
2.1. Monomer Structures
2.2. Simulation Details
2.3. Modeling
- The optimized ESO, DGEBA, MHHPA, and MHHPA-OH molecules were randomly packed into a periodic boundary cubic box according to the composition listed in Table 1. And the composition of the ESO is shown in Table S1 and Figure S1 in the Supporting Information. The initial density was set to 0.2 g/cm3 and then gradually compressed a target mass density under cross-linking conditions (500 K, 10 atm). After reaching the target density, the models were annealed in the NVT ensemble by ramping up to an elevated temperature (300–600 K). The annealing process was followed by an equilibration sequentially in the NVT ensemble and in the NPT ensemble for 200 ps.
- After equilibration, the root-mean-squared (RMS) distances between actived-R1 and R2 and that of between actived-R3 and R4 were computed. The minimum RMS distance pair was then selected, and a bond was formed if this distance was less than the upper-bound cut-off. Then, the atomic information associated with the reacting atoms and the topology of the system were immediately updated. Energy minimization was performed after each successful cross-link. After each cycle, the structure was equilibrated in the NPT system for 50 ps. Both energy minimization and equilibration were performed to remove residual stress generated due to cross-linking. The procedure continued until the desired conversion rate was reached.
- Following the cross-linking, models with cross-linking degrees of 50%, 60%, 70%, 80%, and 85% were chosen. An NVT simulation and an NPT simulation were performed for each cross-linking degree at 500 K for 2 ns to relax the model and to predict the final density and volume. Here, the cross-linking degree was calculated according to Equation (1).
2.4. Cooling Process
2.5. Deforming
3. Results and Discussion
3.1. Evolution of Cross-Linking Network
3.2. Thermal Properties
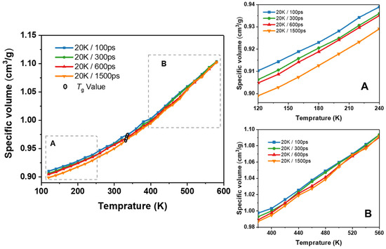
3.2.1. Effect of Cooling Rate on Glass Transition Temperature
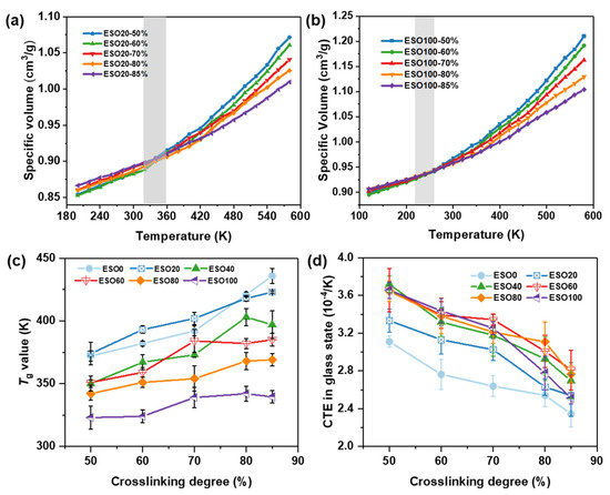
3.2.2. Role of ESO Content and Cross-Linking Degree
3.3. Mechanical Properties
3.3.1. Effect of Strain Rate on Mechanical Properties
3.3.2. Role of ESO Content and Cross-Linking Degree
4. Conclusions
Supplementary Materials
Author Contributions
Funding
Data Availability Statement
Conflicts of Interest
References
- Gonçalves, F.A.M.M.; Santos, M.; Cernadas, T.; Ferreira, P.; Alves, P. Advances in the development of biobased epoxy resins: Insight into more sustainable materials and future applications. Int. Mater. Rev. 2021, 67, 119–149. [Google Scholar] [CrossRef]
- Napolitano, G.E.; Ye, Y.; Cruz-Hernandez, C. Chemical Characterization of a High-Oleic Soybean Oil. J. Am. Oil Chem. Soc. 2018, 95, 583–589. [Google Scholar] [CrossRef]
- Llevot, A. Sustainable Synthetic Approaches for the Preparation of Plant Oil-Based Thermosets. J. Am. Oil Chem. Soc. 2016, 94, 169–186. [Google Scholar] [CrossRef]
- Metzger, J.O. Fats and oils as renewable feedstock for chemistry. Eur. J. Lipid Sci. Technol. 2009, 111, 865–876. [Google Scholar] [CrossRef]
- Wang, Z.; Zhang, X.; Wang, R.; Kang, H.; Qiao, B.; Ma, J.; Zhang, L.; Wang, H. Synthesis and Characterization of Novel Soybean-Oil-Based Elastomers with Favorable Processability and Tunable Properties. Macromolecules 2012, 45, 9010–9019. [Google Scholar] [CrossRef]
- Takahashi, T.; Hirayama, K.; Teramoto, N.; Shibata, M. Biocomposites composed of epoxidized soybean oil cured with terpene-based acid anhydride and cellulose fibers. J. Appl. Polym. Sci. 2008, 108, 1596–1602. [Google Scholar] [CrossRef]
- Jian, X.-Y.; He, Y.; Li, Y.-D.; Wang, M.; Zeng, J.-B. Curing of epoxidized soybean oil with crystalline oligomeric poly(butylene succinate) towards high performance and sustainable epoxy resins. Chem. Eng. J. 2017, 326, 875–885. [Google Scholar] [CrossRef]
- Paramarta, A.; Webster, D.C. Bio-based high performance epoxy-anhydride thermosets for structural composites: The effect of composition variables. React. Funct. Polym. 2016, 105, 140–149. [Google Scholar] [CrossRef]
- Chen, Y.; Xi, Z.; Zhao, L. New bio-based polymeric thermosets synthesized by ring-opening polymerization of epoxidized soybean oil with a green curing agent. Eur. Polym. J. 2016, 84, 435–447. [Google Scholar] [CrossRef]
- Tan, S.G.; Chow, W.S. Curing Characteristics and Thermal Properties of Epoxidized Soybean Oil Based Thermosetting Resin. J. Am. Oil Chem. Soc. 2010, 88, 915–923. [Google Scholar] [CrossRef]
- Gogoi, P.; Horo, H.; Khannam, M.; Dolui, S.K. In situ synthesis of green bionanocomposites based on aqueous citric acid cured epoxidized soybean oil-carboxylic acid functionalized multiwalled carbon nanotubes. Ind. Crops Prod. 2015, 76, 346–354. [Google Scholar] [CrossRef]
- Miao, S.; Liu, K.; Wang, P.; Su, Z.; Zhang, S. Preparation and characterization of epoxidized soybean oil-based paper composite as potential water-resistant materials. J. Appl. Polym. Sci. 2015, 132, 41579. [Google Scholar] [CrossRef]
- Altuna, F.I.; Espósito, L.H.; Ruseckaite, R.A.; Stefani, P.M. Thermal and mechanical properties of anhydride-cured epoxy resins with different contents of biobased epoxidized soybean oil. J. Appl. Polym. Sci. 2011, 120, 789–798. [Google Scholar] [CrossRef]
- Altuna, F.I.; Ruseckaite, R.A.; Stefani, P.M. Biobased Thermosetting Epoxy Foams: Mechanical and Thermal Characterization. ACS Sustain. Chem. Eng. 2015, 3, 1406–1411. [Google Scholar] [CrossRef]
- Kumar, S.; Samal, S.K.; Mohanty, S.; Nayak, S.K. Epoxidized Soybean Oil-Based Epoxy Blend Cured with Anhydride-Based Cross-Linker: Thermal and Mechanical Characterization. Ind. Eng. Chem. Res. 2017, 56, 687–698. [Google Scholar] [CrossRef]
- Kumar, S.; Samal, S.K.; Mohanty, S.; Nayak, S.K. Study of curing kinetics of anhydride cured petroleum-based (DGEBA) epoxy resin and renewable resource based epoxidized soybean oil (ESO) systems catalyzed by 2-methylimidazole. Thermochim. Acta 2017, 654, 112–120. [Google Scholar] [CrossRef]
- Li, C.; Strachan, A. Molecular dynamics predictions of thermal and mechanical properties of thermoset polymer EPON862/DETDA. Polymer 2011, 52, 2920–2928. [Google Scholar] [CrossRef]
- Shenogina, N.B.; Tsige, M.; Patnaik, S.S.; Mukhopadhyay, S.M. Molecular modeling of elastic properties of thermosetting polymers using a dynamic deformation approach. Polymer 2013, 54, 3370–3376. [Google Scholar] [CrossRef]
- Zhao, Y.; Kikugawa, G.; Kawagoe, Y.; Shirasu, K.; Kishimoto, N.; Xi, Y.; Okabe, T. Uncovering the Mechanism of Size Effect on the Thermomechanical Properties of Highly Cross-Linked Epoxy Resins. J. Phys. Chem. B 2022, 126, 2593–2607. [Google Scholar] [CrossRef]
- Liu, X.; Rao, Z. A molecular dynamics study on heat conduction of crosslinked epoxy resin based thermal interface materials for thermal management. Comput. Mater. Sci. 2020, 172, 109298. [Google Scholar] [CrossRef]
- Liu, S.; Yan, Y.; Xu, Y.; Yang, C.; Fan, Y.; Xu, J. Effects of Cross-Linking Degree and Characteristic Components on Mechanical Properties of Highly Cross-Linked Phenolic Resins: A Molecular Dynamics Simulation Study. Ind. Eng. Chem. Res. 2023, 62, 10069–10079. [Google Scholar] [CrossRef]
- Varshney, V.; Patnaik, S.S.; Roy, A.K.; Farmer, B.L. A Molecular Dynamics Study of Epoxy-Based Networks: Cross-Linking Procedure and Prediction of Molecular and Material Properties. Macromolecules 2008, 41, 6837–6842. [Google Scholar] [CrossRef]
- Patil, S.U.; Shah, S.P.; Olaya, M.; Deshpande, P.P.; Maiaru, M.; Odegard, G.M. Reactive Molecular Dynamics Simulation of Epoxy for the Full Cross-Linking Process. ACS Appl. Polym. Mater. 2021, 3, 5788–5797. [Google Scholar] [CrossRef]
- Odegard, G.M.; Patil, S.U.; Deshpande, P.P.; Kanhaiya, K.; Winetrout, J.J.; Heinz, H.; Shah, S.P.; Maiaru, M. Molecular Dynamics Modeling of Epoxy Resins Using the Reactive Interface Force Field. Macromolecules 2021, 54, 9815–9824. [Google Scholar] [CrossRef]
- Radue, M.S.; Jensen, B.D.; Gowtham, S.; Klimek-McDonald, D.R.; King, J.A.; Odegard, G.M. Comparing the mechanical response of di-, tri-, and tetra-functional resin epoxies with reactive molecular dynamics. J. Polym. Sci. Part B Polym. Phys. 2018, 56, 255–264. [Google Scholar] [CrossRef] [PubMed]
- Wang, A.; Vargas-Lara, F.; Younker, J.M.; Iyer, K.A.; Shull, K.R.; Keten, S. Quantifying Chemical Composition and Cross-link Effects on EPDM Elastomer Viscoelasticity with Molecular Dynamics. Macromolecules 2021, 54, 6780–6789. [Google Scholar] [CrossRef]
- Shundo, A.; Aoki, M.; Wang, P.; Hoshino, T.; Yamamoto, S.; Yamada, S.; Tanaka, K. Effect of a Heterogeneous Network on the Fracture Behavior of Epoxy Resins. Macromolecules 2023, 56, 3884–3890. [Google Scholar] [CrossRef]
- Sun, Y.; Chen, L.; Cui, L.; Zhang, Y.; Du, X. Molecular dynamics simulation of cross-linked epoxy resin and its interaction energy with graphene under two typical force fields. Comput. Mater. Sci. 2018, 143, 240–247. [Google Scholar] [CrossRef]
- Chinkanjanarot, S.; Radue, M.S.; Gowtham, S.; Tomasi, J.M.; Klimek-McDonald, D.R.; King, J.A.; Odegard, G.M. Multiscale thermal modeling of cured cycloaliphatic epoxy/carbon fiber composites. J. Appl. Polym. Sci. 2018, 135, 46371. [Google Scholar] [CrossRef]
- Fu, K.; Xie, Q.; LÜ, F.; Duan, Q.; Wang, X.; Zhu, Q.; Huang, Z. Molecular Dynamics Simulation and Experimental Studies on the Thermomechanical Properties of Epoxy Resin with Different Anhydride Curing Agents. Polymers 2019, 11, 975. [Google Scholar] [CrossRef]
- Miao, S.; Wang, P.; Su, Z.; Zhang, S. Vegetable-oil-based polymers as future polymeric biomaterials. Acta Biomater. 2014, 10, 1692–1704. [Google Scholar] [CrossRef]
- Plimpton, S. Fast parallel algorithms for short-range molecular dynamics. J. Comput. Phys. 1995, 117, 1–19. [Google Scholar] [CrossRef]
- Sun, H.; Ren, P.; Fried, J.R. The COMPASS force field: Parameterization and validation for phosphazenes. Comput. Theor. Polym. Sci. 1998, 8, 229–246. [Google Scholar] [CrossRef]
- Nosé, S. A unified formulation of the constant temperature molecular dynamics methods. J. Chem. Phys. 1984, 81, 511–519. [Google Scholar] [CrossRef]
- Li, C.; Strachan, A. Free volume evolution in the process of epoxy curing and its effect on mechanical properties. Polymer 2016, 97, 456–464. [Google Scholar] [CrossRef]
- Khare, K.S.; Phelan, F.R. Quantitative Comparison of Atomistic Simulations with Experiment for a Cross-Linked Epoxy: A Specific Volume–Cooling Rate Analysis. Macromolecules 2018, 51, 564–575. [Google Scholar] [CrossRef]
- Wei, J.; Ma, S.; Yue, H.; Wang, S.; Zhu, J. Comparison of Hydrogenated Bisphenol A and Bisphenol A Epoxies: Curing Behavior, Thermal and Mechanical Properties, Shape Memory Properties. Macromol. Res. 2018, 26, 529–538. [Google Scholar] [CrossRef]
- Ma, S.; Liu, X.; Fan, L.; Jiang, Y.; Cao, L.; Tang, Z.; Zhu, J. Synthesis and Properties of a Bio-Based Epoxy Resin with High Epoxy Value and Low Viscosity. ChemSusChem 2014, 7, 555–562. [Google Scholar] [CrossRef] [PubMed]
- Tan, S.G.; Chow, W.S. Thermal properties, curing characteristics and water absorption of soybean oil-based thermoset. Express Polym. Lett. 2011, 5, 480–492. [Google Scholar] [CrossRef]
- Schichtel, J.J.; Chattopadhyay, A. Modeling thermoset polymers using an improved molecular dynamics crosslinking methodology. Comput. Mater. Sci. 2020, 174, 109469. [Google Scholar] [CrossRef]
- Tan, S.G.; Ahmad, Z.; Chow, W.S. Interpenetrating polymer network structured thermosets prepared from epoxidized soybean oil/diglycidyl ether of bisphenol A. Polym. Int. 2013, 63, 273–279. [Google Scholar] [CrossRef]











| Sample | Mass Ratio of ESO:DGEBA | Number of ESO | Number of DGEBA | Number of MHHPA | Number of MHHPA-OH | Total Number of Atoms |
|---|---|---|---|---|---|---|
| ESO0 | 0:100 | 0 | 165 | 300 | 13 | 13,462 |
| ESO20 | 20:80 | 12 | 135 | 290 | 13 | 14,666 |
| ESO40 | 40:60 | 24 | 99 | 270 | 12 | 13,604 |
| ESO60 | 60:40 | 42 | 68 | 272 | 12 | 14,440 |
| ESO80 | 80:20 | 54 | 35 | 255 | 11 | 14,174 |
| ESO100 | 100:0 | 60 | 0 | 220 | 10 | 13,860 |
| System | MD Predicted Tg Value/°C | Experimental Tg Value in the Literature/°C |
|---|---|---|
| ESO0-85% | 159.5 | 156 [15], 128 [37], 109.5 [38] |
| ESO20-85% | 149.5 | 143 [15] |
| ESO100-85% | 61.3–68.1 | 76 [15], 49–60.8 [10], 68–70 [9], 53–69.8 [39] |
| Systems | Properties (MPa) | MD Simulated Values | Experimental Values |
|---|---|---|---|
| ESO0 | Young’s modulus | 867.3–1645.2 | 1845.2 ± 50 [15] |
| yield strength | 63.1–144.4 | 42.9 ± 2 [15] | |
| ESO20 | Young’s modulus | 1136.1–1511.4 | 1779.3 ± 10 [15] |
| yield strength | 77.0–146.2 | 48.6 ± 1 [15] | |
| ESO40 | Young’s modulus | 861.3–1403.0 | - |
| yield strength | 64.1–111.1 | - | |
| ESO60 | Young’s modulus | 744.1–1333.2 | 1025 ± 18 [41] |
| yield strength | 62.1–124.5 | 25.0 [41] | |
| ESO80 | Young’s modulus | 587.1–955.1 | 875.7 ± 13 [41] |
| yield strength | 62.4–128.7 | 18.5 ± 1 [41] | |
| ESO100 | Young’s modulus | 490.3–802.9 | 319.6 ± 17 [41], 351.9 ± 22 [15], 224.7 ± 27 [9] |
| yield strength | 59.8–97.6 | 13.7 ± 1 [41], 13 ± 2 [15] |
Disclaimer/Publisher’s Note: The statements, opinions and data contained in all publications are solely those of the individual author(s) and contributor(s) and not of MDPI and/or the editor(s). MDPI and/or the editor(s) disclaim responsibility for any injury to people or property resulting from any ideas, methods, instructions or products referred to in the content. |
© 2024 by the authors. Licensee MDPI, Basel, Switzerland. This article is an open access article distributed under the terms and conditions of the Creative Commons Attribution (CC BY) license (https://creativecommons.org/licenses/by/4.0/).
Share and Cite
Tang, Q.; Jiang, J.; Li, J.; Zhao, L.; Xi, Z. Effects of Chemical Composition and Cross-Linking Degree on the Thermo-Mechanical Properties of Bio-Based Thermosetting Resins: A Molecular Dynamics Simulation Study. Polymers 2024, 16, 1229. https://doi.org/10.3390/polym16091229
Tang Q, Jiang J, Li J, Zhao L, Xi Z. Effects of Chemical Composition and Cross-Linking Degree on the Thermo-Mechanical Properties of Bio-Based Thermosetting Resins: A Molecular Dynamics Simulation Study. Polymers. 2024; 16(9):1229. https://doi.org/10.3390/polym16091229
Chicago/Turabian StyleTang, Qiuyu, Jie Jiang, Jinjin Li, Ling Zhao, and Zhenhao Xi. 2024. "Effects of Chemical Composition and Cross-Linking Degree on the Thermo-Mechanical Properties of Bio-Based Thermosetting Resins: A Molecular Dynamics Simulation Study" Polymers 16, no. 9: 1229. https://doi.org/10.3390/polym16091229
APA StyleTang, Q., Jiang, J., Li, J., Zhao, L., & Xi, Z. (2024). Effects of Chemical Composition and Cross-Linking Degree on the Thermo-Mechanical Properties of Bio-Based Thermosetting Resins: A Molecular Dynamics Simulation Study. Polymers, 16(9), 1229. https://doi.org/10.3390/polym16091229

