Mechanical Properties Comparison of Isotropic vs. Anisotropic Hybrid Magnetorheological Elastomer-Fluid
Abstract
1. Introduction
2. Materials and Methods
2.1. Material Preparation
2.2. Test Setup of Dynamic Mechanical Analyzer
3. Results and Discussion
3.1. SEM Analysis
3.2. H-MRE-F and MRE Hysteresis Characteristics
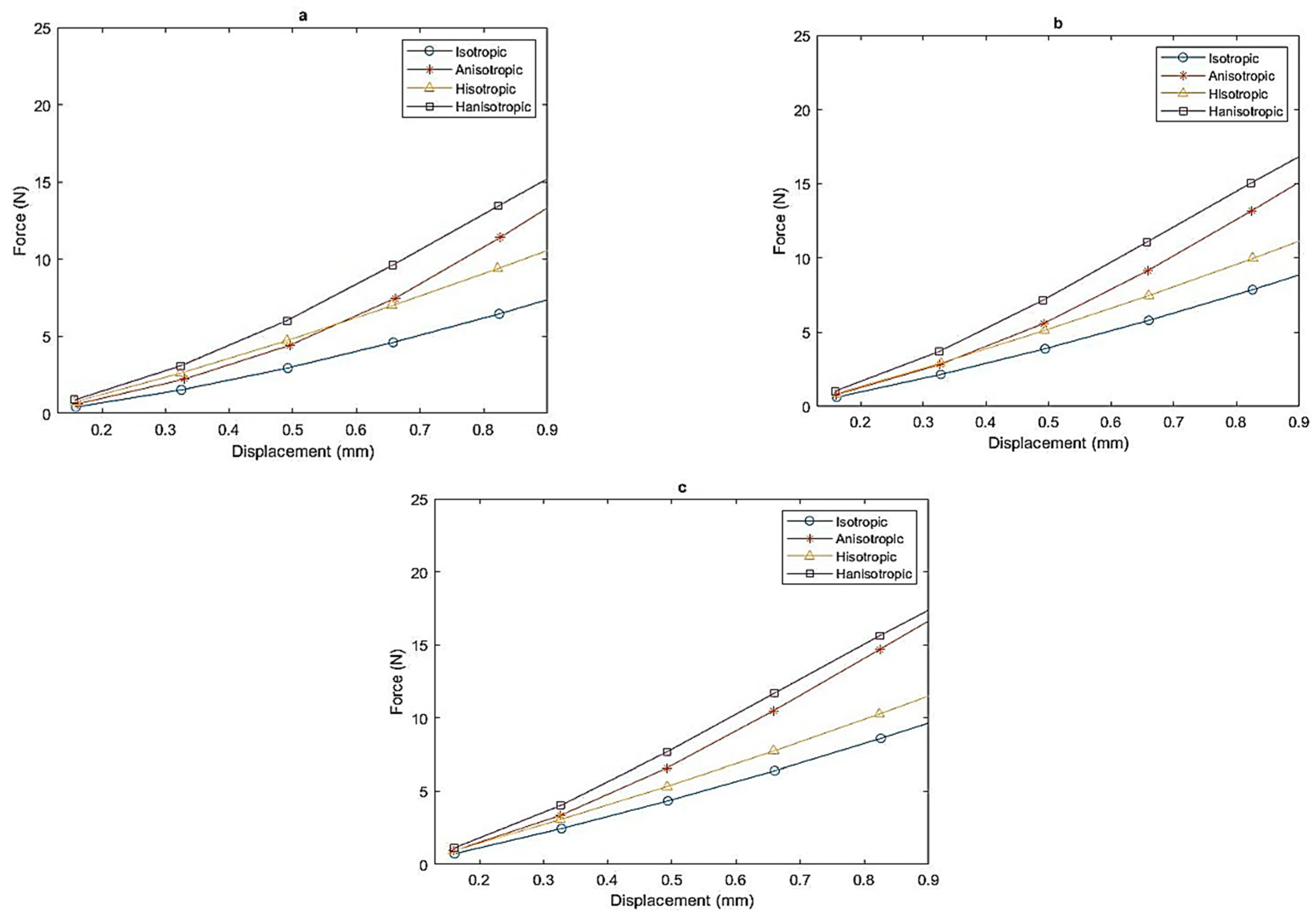
3.3. Effective Stiffness
3.4. Dependence of H-MRE-F and MRE Dynamic Properties on the Frequency
4. Conclusions
Author Contributions
Funding
Institutional Review Board Statement
Data Availability Statement
Acknowledgments
Conflicts of Interest
Nomenclatures
| MR | Magnetorheological |
| MREs | Magnetorheological elastomers |
| CIPs | Carbonyl iron particles |
| DMA | Dynamic mechanical analyzer |
| VF | Volume fraction |
| HISO | Hybrid isotropic |
| HMRE-F | Hybrid MRE + MRF |
| MRF | Magnetorheological fluid |
| ISO | Isotropic |
| ANISO | anisotropic |
| SEM | Scanning electron microscope |
| HANISO | Hybrid anisotropic |
References
- Salem, A.M.H.; Ali, A.; Bin Ramli, R.; Muthalif, A.G.A.; Julai, S. Effect of Carbonyl Iron Particle Types on the Structure and Performance of Magnetorheological Elastomers: A Frequency and Strain Dependent Study. Polymers 2022, 14, 4193. [Google Scholar] [CrossRef] [PubMed]
- Ashtiani, M.; Hashemabadi, S.; Ghaffari, A. A review on the magnetorheological fluid preparation and stabilization. J. Magn. Magn. Mater. 2015, 374, 716–730. [Google Scholar] [CrossRef]
- Alias, N.F.; Muthalif, A.G.; Arpan, K.A.; Nordin, N.H.D. Experimental Investigation of Static Properties of Magnetorheological Elastomer. Iran. J. Sci. Technol. Trans. Mech. Eng. 2018, 42, 185–197. [Google Scholar] [CrossRef]
- Kubík, M.; Válek, J.; ŽÁčEk, J.; Jeniš, F.; Borin, D.; Strecker, Z.; Mazůrek, I. Transient response of magnetorheological fluid on rapid change of magnetic field in shear mode. Sci. Rep. 2022, 12, 10612. [Google Scholar] [CrossRef] [PubMed]
- Bastola, A.K.; Hossain, M. A review on magneto-mechanical characterizations of magnetorheological elastomers. Compos. Part B Eng. 2020, 200, 108348. [Google Scholar] [CrossRef]
- Wang, Y.; Yang, J.; Chen, Z.; Lin, Y.; Gong, L.; Zhang, S.; Li, W.; Sun, S. Investigation of a magnetorheological elastomer metamaterial sandwich beam with tunable graded stiffness for broadband vibration attenuation. Smart Mater. Struct. 2023, 32, 065022. [Google Scholar] [CrossRef]
- Ubaidillah, U.; Sutrisno, J.; Purwanto, A.; Mazlan, S.A. Recent Progress on Magnetorheological Solids: Materials, Fabrication, Testing, and Applications. Adv. Eng. Mater. 2015, 17, 563–597. [Google Scholar] [CrossRef]
- Burgaz, E.; Goksuzoglu, M. Effects of magnetic particles and carbon black on structure and properties of magnetorheological elastomers. Polym. Test. 2020, 81, 106233. [Google Scholar] [CrossRef]
- Hafeez, M.A.; Usman, M.; Umer, M.A.; Hanif, A. Recent Progress in Isotropic Magnetorheological Elastomers and Their Properties: A Review. Polymers 2020, 12, 3023. [Google Scholar] [CrossRef]
- Bastola, A.K.; Paudel, M.; Li, L. Patterned Magnetorheological Elastomer Developed by 3D Printing. Mater. Sci. Forum 2018, 939, 147–152. [Google Scholar] [CrossRef]
- Park, B.J.; Park, C.W.; Yang, S.W.; Kim, H.M.; Choi, H.J. Core-shell typed polymer coated-carbonyl iron suspensions and their magnetorheology. J. Phys. Conf. Ser. 2009, 149, 012078. [Google Scholar] [CrossRef]
- Ali, A.; Salem, A.M.H.; Muthalif, A.G.A.; Bin Ramli, R.; Julai, S. Development of a Performance-Enhanced Hybrid Magnetorheological Elastomer-Fluid for Semi-Active Vibration Isolation: Static and Dynamic Experimental Characterization. Materials 2022, 15, 3238. [Google Scholar] [CrossRef] [PubMed]
- Dargahi, A.; Sedaghati, R.; Rakheja, S. On the properties of magnetorheological elastomers in shear mode: Design, fabrication and characterization. Compos. Part B Eng. 2019, 159, 269–283. [Google Scholar] [CrossRef]
- Nam, T.H.; Petríková, I.; Marvalová, B. Experimental characterization and viscoelastic modeling of isotropic and anisotropic magnetorheological elastomers. Polym. Test. 2020, 81, 106272. [Google Scholar] [CrossRef]
- Qiao, Y.; Zhang, J.; Zhang, M.; Liu, L.; Zhai, P. A magnetic field- and frequency-dependent dynamic shear modulus model for isotropic silicone rubber-based magnetorheological elastomers. Compos. Sci. Technol. 2021, 204, 108637. [Google Scholar] [CrossRef]
- Sorokin, V.V.; Ecker, E.; Stepanov, G.V.; Shamonin, M.; Monkman, G.J.; Kramarenko, E.Y.; Khokhlov, A.R. Experimental study of the magnetic field enhanced Payne effect in magnetorheological elastomers. Soft Matter 2014, 10, 8765–8776. [Google Scholar] [CrossRef] [PubMed]
- Zabihyan, R.; Mergheim, J.; Pelteret, J.; Brands, B.; Steinmann, P. FE2 simulations of magnetorheological elastomers: Influence of microscopic boundary conditions, microstructures and free space on the macroscopic responses of MREs. Int. J. Solids Struct. 2020, 193–194, 338–356. [Google Scholar] [CrossRef]
- Agirre-Olabide, I.; Kuzhir, P.; Elejabarrieta, M. Linear magneto-viscoelastic model based on magnetic permeability components for anisotropic magnetorheological elastomers. J. Magn. Magn. Mater. 2018, 446, 155–161. [Google Scholar] [CrossRef]
- Nguyen, X.B.; Komatsuzaki, T.; Zhang, N. A nonlinear magnetorheological elastomer model based on fractional viscoelasticity, magnetic dipole interactions, and adaptive smooth Coulomb friction. Mech. Syst. Signal Process. 2020, 141, 106438. [Google Scholar] [CrossRef]
- Hapipi, N.; Aziz, S.A.A.; Mazlan, S.A.; Ubaidillah, U.; Choi, S.B.; Mohamad, N.; Khairi, M.H.A.; Fatah, A.Y.A. The field-dependent rheological properties of plate-like carbonyl iron particle-based magnetorheological elastomers. Results Phys. 2019, 12, 2146–2154. [Google Scholar] [CrossRef]
- Gao, W.; Wang, X. Experimental and theoretical investigations on magnetoelastic shear behavior of isotropic MR elastomers under gradient magnetic fields. J. Magn. Magn. Mater. 2019, 483, 196–204. [Google Scholar] [CrossRef]
- Zhu, J.-T.; Xu, Z.-D.; Guo, Y.-Q. Magnetoviscoelasticity parametric model of an MR elastomer vibration mitigation device. Smart Mater. Struct. 2012, 21, 075034. [Google Scholar] [CrossRef]
- Poojary, U.R.; Hegde, S.; Gangadharan, K. Dynamic blocked transfer stiffness method of characterizing the magnetic field and frequency dependent dynamic viscoelastic properties of MRE. Korea-Aust. Rheol. J. 2016, 28, 301–313. [Google Scholar] [CrossRef]










| Material | Properties | |
|---|---|---|
| Silicone rubber | Type | Elite Double 32 Fast—Zhermach (Italy) |
| Mixing ratio | 1:1 | |
| Manual mixing time (min:s) | 1:00 | |
| Working time (min:s) | 5:00 | |
| Setting time | 10:00 | |
| Detail reproduction (μm) | 2 | |
| Density (kg/m3) | 1.06 | |
| Tear resistance (N/mm2) | 5 | |
| Elastic recovery (%) | 99.95% | |
| CIP | Grade | CIP CS |
| Hard or soft | Soft | |
| Particle size (μm) | 6.0–7.0 | |
| Coating | - | |
| Density (g/cm3) | ~7.89 |
| ISO | AN-ISO | H-ISO | H-AN-ISO | |
|---|---|---|---|---|
| #MAGNETS | EFFECTIVE STIFFNESS (KPA) | |||
| 0 | 7.05 | 13.59 | 11.16 | 14.75 |
| 9 | 7.22 | 14.10 | 11.70 | 15.95 |
| 15 | 7.66 | 15.22 | 12.67 | 16.99 |
Disclaimer/Publisher’s Note: The statements, opinions and data contained in all publications are solely those of the individual author(s) and contributor(s) and not of MDPI and/or the editor(s). MDPI and/or the editor(s) disclaim responsibility for any injury to people or property resulting from any ideas, methods, instructions or products referred to in the content. |
© 2024 by the authors. Licensee MDPI, Basel, Switzerland. This article is an open access article distributed under the terms and conditions of the Creative Commons Attribution (CC BY) license (https://creativecommons.org/licenses/by/4.0/).
Share and Cite
Ananzeh, H.M.; Ramli, R.; Julai, S.; Muthalif, A.G.A. Mechanical Properties Comparison of Isotropic vs. Anisotropic Hybrid Magnetorheological Elastomer-Fluid. Polymers 2024, 16, 1215. https://doi.org/10.3390/polym16091215
Ananzeh HM, Ramli R, Julai S, Muthalif AGA. Mechanical Properties Comparison of Isotropic vs. Anisotropic Hybrid Magnetorheological Elastomer-Fluid. Polymers. 2024; 16(9):1215. https://doi.org/10.3390/polym16091215
Chicago/Turabian StyleAnanzeh, Hammam M., Rahizar Ramli, Sabariah Julai, and Asan G. A. Muthalif. 2024. "Mechanical Properties Comparison of Isotropic vs. Anisotropic Hybrid Magnetorheological Elastomer-Fluid" Polymers 16, no. 9: 1215. https://doi.org/10.3390/polym16091215
APA StyleAnanzeh, H. M., Ramli, R., Julai, S., & Muthalif, A. G. A. (2024). Mechanical Properties Comparison of Isotropic vs. Anisotropic Hybrid Magnetorheological Elastomer-Fluid. Polymers, 16(9), 1215. https://doi.org/10.3390/polym16091215

