Carbon Black Functionalized with Serinol Pyrrole to Replace Silica in Elastomeric Composites
Abstract
1. Introduction
2. Materials and Methods
2.1. Materials
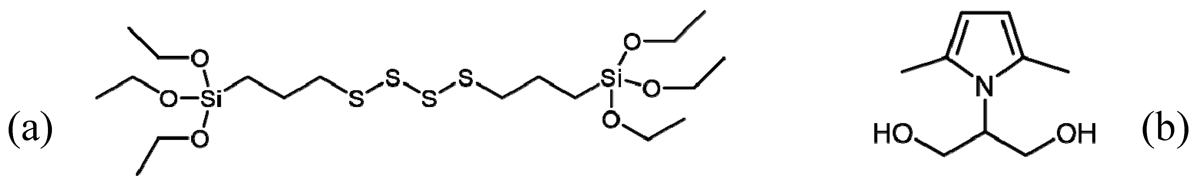
2.1.1. Chemicals
2.1.2. Elastomers
2.1.3. Fillers
2.2. Preparation of SP and CB/SP Adduct
2.2.1. Synthesis of 2-2,5-Dimethyl-1H-pyrrol-1-yl-1,3-propanediol (SP)
2.2.2. Preparation of Adducts of CB N234 with SP
2.3. Preparation of Elastomer Composites
Elastomer Composite
2.4. Characterization Techniques
2.4.1. Thermogravimetry Analysis (TGA) of CB/SP Adducts
2.4.2. Brunauer–Emmett–Teller (BET)
2.4.3. Crosslinking
2.4.4. Structure of the Crosslinking Network
2.4.5. Dynamic–Mechanical Analysis in the Shear Mode: The Strain Sweep Test
2.4.6. Dynamic–Mechanical Analysis in the Axial Mode
2.4.7. Tensile Test
2.4.8. Digital Filler Dispersion Analysis through Transmission Electron Microscopy
2.4.9. Scanning Electron Microscopy (SEM)
3. Results and Discussion
3.1. Preparation and Characterization of SP and CB/SP Adduct
3.1.1. Thermogravimetric Analysis (TGA)
3.1.2. Brunauer–Emmett–Teller (BET) Surface Area of CB Samples
3.1.3. Scanning Electron Microscopy
3.2. Elastomer Composites with the CB/SP Adduct
3.2.1. Crosslinking
3.2.2. Shear Dynamic–Mechanical Properties
3.2.3. Dynamic–Mechanical Properties in the Axial Mode
3.2.4. Tensile Properties
3.2.5. Transmission Electron Microscopy for the Distribution of Filler Analysis
3.2.6. Comparison of the Behavior of CB/PyC Adducts in Place of Silica
4. Conclusions
Supplementary Materials
Author Contributions
Funding
Institutional Review Board Statement
Data Availability Statement
Conflicts of Interest
References
- Available online: https://www.un.org/sustainabledevelopment/development-agenda/ (accessed on 2 January 2024).
- Global Mobility Report 2017, Tracking Sector Performance. Sustainable Mobility for All. 2017. Available online: https://documents.worldbank.org/en/publication/documents-reports/documentdetail/920101508269072500/global-mobility-report-2017-tracking-sector-performance (accessed on 25 April 2024).
- Available online: https://www.reportlinker.com/p05379599/?utm_source=GNW (accessed on 2 January 2024).
- Pirelli Tyre. Global High Value—Company presentation—October 2019. Available online: https://corp-assets.pirelli.com/corporate/Pirelli_9M_2019_results_presentation.pdf (accessed on 25 April 2024).
- Dong, Y.; Zhao, Y.; Hossain, M.U.; He, Y.; Liu, P. Life cycle assessment of vehicle tires: A systematic review. Clean. Environ. Syst. 2021, 2, 100033. [Google Scholar] [CrossRef]
- Hall, D.E.; Moreland, J.C. Fundamentals of Rolling Resistance. Rubber Chem. Technol. 2001, 74, 525–539. [Google Scholar] [CrossRef]
- Medalia, A.I.; Kraus, G. Reinforcement of Elastomers by Particulate Fillers. In The Science and Technology of Rubber, 2nd ed.; Mark, J.E., Erman, B., Eirich, F.R., Eds.; Elsevier Academic Press: Cambridge, MA, USA, 1994; Chapter 8; pp. 387–418. [Google Scholar]
- Donnet, J.B.; Custodero, E. Reinforcement of Elastomers by Particulate Fillers. In The Science and Technology of Rubber, 3rd ed.; Mark, J.E., Erman, B., Eirich, F.R., Eds.; Academic Press: Cambridge, MA, USA, 2005; pp. 367–400. [Google Scholar]
- Fröhlich, J.; Niedermeier, W.; Luginsland, H.-D. The effect of filler–filler and filler–elastomer interaction on rubber reinforcement. Compos. Part A Appl. Sci. Manuf. 2005, 36, 449–460. [Google Scholar] [CrossRef]
- Legrand, A.P. On the silica edge. In The Surface Properties of Silicas; Legrand, A.P., Ed.; Wiley and Sons: New York, NY, USA, 1998; pp. 1–20. [Google Scholar]
- Leblanc, J.L. Rubber–filler interactions and rheological properties in filled compounds. Prog. Polym. Sci. 2002, 27, 627–687. [Google Scholar] [CrossRef]
- Chevalier, Y.; Morawski, J.C. Precipitated Silica with Morphological Properties, Process for Producing It and Its Application, Especially as a Filler. Legrand. EP0157703 B1, 6 April 1984. [Google Scholar]
- Zou, H.; Wu, S.; Shen, J. Polymer/silica nanocomposites: Preparation, characterization, properties, and applications. Chem. Rev. 2008, 108, 3893–3957. [Google Scholar] [CrossRef] [PubMed]
- Li, X.; Liu, J.; Zheng, Z. Recent progress of elastomer–silica nanocomposites toward green tires: Simulation and experiment. Polym. Int. 2023, 72, 764–782. [Google Scholar] [CrossRef]
- Vilmin, F.; Bottero, I.; Travert, A.; Malicki, N.; Gaboriaud, F.; Trivella, A.; Thibault-Starzyk, F. Reactivity of bis [3-(triethoxysilyl) propyl] tetrasulfide (TESPT) silane coupling agent over hydrated silica: Operando IR spectroscopy and chemometrics study. J. Phys. Chem. C 2014, 118, 4056–4071. [Google Scholar] [CrossRef]
- Reuvekamp, L.A.E.M.; Brinke, J.W.T.; van Swaaij, P.J.; Noordermeer, J.W.M. Effects of time and temperature on the reaction of TESPT silane coupling agent during mixing with silica filler and tire rubber. Rubber Chem. Technol. 2002, 75, 187–198. [Google Scholar] [CrossRef]
- Locatelli, D.; Bernardi, A.; Rubino, L.R.; Gallo, S.; Vitale, A.; Bongiovanni, R.; Barbera, V.; Galimberti, M. Biosourced Janus Molecules as Silica Coupling Agents in Elastomer Composites for Tires with Lower Environmental Impact. ACS Sustain. Chem. Eng. 2023, 11, 2713–2726. [Google Scholar] [CrossRef]
- Ye, N.; Zheng, J.; Ye, X.; Xue, J.; Han, D.; Xu, H.; Wang, Z.; Zhang, L. Performance enhancement of rubber composites using VOC-Free interfacial silica coupling agent. Compos. Part B Eng. 2020, 202, 108301. [Google Scholar] [CrossRef]
- Liu, C.; Guo, M.; Zhai, X.; Ye, X.; Zhang, L. Using epoxidized solution polymerized styrene-butadiene rubbers (ESSBRs) as coupling agents to modify silica without volatile organic compounds. Polymers 2020, 12, 1257. [Google Scholar] [CrossRef]
- Zhai, X.; Chen, Y.; Han, D.; Zheng, J.; Wu, X.; Wang, Z.; Li, X.; Ye, X.; Zhang, L. New designed coupling agents for silica used in green tires with low VOCs and low rolling resistance. Appl. Surf. Sci. 2021, 558, 149819. [Google Scholar] [CrossRef]
- Zhai, X.; Han, D.; Zhang, G.; Chen, X.; Wu, X.; Li, X.; Zheng, J.; Ye, X.; Zhang, L. A novel VOC free bio-based coupling agent and its using strategy facing green tires with excellent dynamic performances. Compos. Sci. Technol. 2022, 223, 109413. [Google Scholar] [CrossRef]
- Donnet, J. Carbon Black, Revised and Expanded. In Science and Technology, 2nd ed.; Donnet, J.B., Bansal, R.C., Wang, M.-J., Eds.; Marcel Dekker: New York, NU, USA, 1993. [Google Scholar]
- Suner, S.S.; Kurt, S.B.; Demirci, S.; Sahiner, N. The advances in functionalized carbon nanomaterials for drug delivery. In Functionalized Carbon Nanomaterials for Theranostic Applications; Elsevier: Amsterdam, The Netherlands, 2023; pp. 197–241. [Google Scholar]
- Prioglio, G.; Naddeo, S.; Giese, U.; Barbera, V.; Galimberti, M. Bio-Based Pyrrole Compounds Containing Sulfur Atoms as Coupling Agents of Carbon Black with Unsaturated Elastomers. Nanomaterials 2023, 13, 2761. [Google Scholar] [CrossRef] [PubMed]
- Locatelli, D.; Barbera, V.; Brambilla, L.; Castiglioni, C.; Sironi, A.; Galimberti, M. Tuning the solubility parameters of carbon nanotubes by means of their adducts with Janus pyrrole compounds. Nanomaterials 2020, 10, 1176. [Google Scholar] [CrossRef] [PubMed]
- Barbera, V.; Bernardi, A.; Palazzolo, A.; Rosengart, A.; Brambilla, L.; Galimberti, M. Facile and sustainable functionalization of graphene layers with pyrrole compounds. Pure Appl. Chem. 2018, 90, 253–270. [Google Scholar] [CrossRef]
- Guerra, S.; Barbera, V.; Vitale, A.; Bongiovanni, R.; Serafini, A.; Conzatti, L.; Brambilla, L.; Galimberti, M. Edge functionalized graphene layers for (ultra) high exfoliation in carbon papers and aerogels in the presence of chitosan. Materials 2019, 13, 39. [Google Scholar] [CrossRef] [PubMed]
- Barbera, V.; Brambilla, L.; Milani, A.; Palazzolo, A.; Castiglioni, C.; Vitale, A.; Bongiovanni, R.; Galimberti, M. Domino Reaction for the Sustainable Functionalization of Few-Layer Graphene. Nanomaterials 2019, 9, 44. [Google Scholar] [CrossRef]
- Aprem, A.S.; Joseph, K.; Thomas, S. Recent developments in crosslinking of elastomers. Rubber Chem. Technol. 2005, 78, 458–488. [Google Scholar] [CrossRef]
- Flory, P.J. Statistical mechanics of swelling of network structures. J. Chem. Phys. 1950, 18, 108–111. [Google Scholar] [CrossRef]
- Kraus, G. Swelling of Filler-Reinforced Vulcanizates. Rubber Chem. Technol. 1964, 37, 6–13. [Google Scholar] [CrossRef]
- Afash, H.; Ozarisoy, B.; Altan, H.; Budayan, C. Recycling of Tire Waste Using Pyrolysis: An Environmental Perspective. Sustainability 2023, 15, 14178. [Google Scholar] [CrossRef]
- Danesh, P.; Niaparast, P.; Ghorbannezhad, P.; Ali, I. Biochar production: Recent developments, applications, and challenges. Fuel 2023, 337, 126889. [Google Scholar] [CrossRef]
- Berki, P.; Göbl, R.; Karger-Kocsis, J. Structure and properties of styrene-butadiene rubber (SBR) with pyrolytic and industrial carbon black. Polym. Test. 2017, 61, 404–415. [Google Scholar] [CrossRef]
- Sagar, M.; Nibedita, K.; Manohar, N.; Kumar, K.R.; Suchismita, S.; Pradnyesh, A.; Reddy, A.B.; Sadiku, E.R.; Gupta, U.; Lachit, P.; et al. A potential utilization of end-of-life tyres as recycled carbon black in EPDM rubber. Waste Manag. 2018, 74, 110–122. [Google Scholar] [CrossRef]
- Martínez, J.D.; Cardona-Uribe, N.; Murillo, R.; García, T.; López, J.M. Carbon black recovery from waste tire pyrolysis by demineralization: Production and application in rubber compounding. Waste Manag. 2019, 85, 574–584. [Google Scholar] [CrossRef] [PubMed]
- Gao, N.; Wang, F.; Quan, C.; Santamaria, L.; Lopez, G.; Williams, P.T. Tire pyrolysis char: Processes, properties, upgrading and applications. Prog. Energy Combust. Sci. 2022, 93, 101022. [Google Scholar] [CrossRef]
- Greenough, S.; Dumont, M.-J.; Prasher, S. The physicochemical properties of biochar and its applicability as a filler in rubber composites: A review. Mater. Today Commun. 2021, 29, 102912. [Google Scholar] [CrossRef]
- Zare, Y.; Rhee, K.Y. An innovative model for conductivity of graphene-based system by networked nano-sheets, interphase and tunneling zone. Sci. Rep. 2022, 12, 15179. [Google Scholar] [CrossRef]
- Jiang, C.; Bo, J.; Xiao, X.; Zhang, S.; Wang, Z.; Yan, G.; Wu, Y.; Wong, C.; He, H. Converting waste lignin into nano-biochar as a renewable substitute of carbon black for reinforcing styrene-butadiene rubber. Waste Manag. 2020, 102, 732–742. [Google Scholar] [CrossRef]
- Hasanin, M.S.; El-Aziz, M.E.A.; El-Nagar, I.; Hassan, Y.R.; Youssef, A.M. Green enhancement of wood plastic composite based on agriculture wastes compatibility via fungal enzymes. Sci. Rep. 2022, 12, 19197. [Google Scholar] [CrossRef] [PubMed]
- Available online: https://corporate.pirelli.com/var/files2020/EN/PDF/PIRELLI_ANNUAL_REPORT_2020_ENG.pdf (accessed on 2 January 2024).
- Thanh, L.T.; Okitsu, K.; Van Boi, L.; Maeda, Y. Catalytic technologies for biodiesel fuel production and utilization of glycerol: A review. Catalysts 2012, 2, 191–222. [Google Scholar] [CrossRef]
- Broadbent, H.S.; Burnham, W.S.; Sheeley, R.M.; Olsen, R.K. Novel heterotricyclic systems: 2, 6-dioxa-and 2-oxa-6-thia-10-azatricyclo-[5.2. 1.04, 10] deeanes; 2, 6-dioxa-11-azatricyclo [5.3. 1.04, 11] undecane; and 9, 13-dioxa-14-azatetracyclo [6.5. 1.02, 7.011, 14] tetradeca-2, 4, 6-triene. J. Heterocycl. Chem. 1976, 13, 337–348. [Google Scholar] [CrossRef]
- ASTM 6556; Standard Test Method for Carbon Black—Total and External Surface Area by Nitrogen Adsorption. ASTM International: West Conschohocken, PA, USA, 2019.
- Musto, S.; Barbera, V.; Cipolletti, V.; Citterio, A.; Galimberti, M. Master curves for the sulphur assisted crosslinking reaction of natural rubber in the presence of nano- and nano-structured sp2 carbon allotropes. Express Polym. Lett. 2017, 11, 435–448. [Google Scholar] [CrossRef][Green Version]
- Zanobini, A.; Sereni, B.; Catelani, M.; Ciani, L. Repeatability and Reproducibility techniques for the analysis of measurement systems. Measurement 2016, 86, 125–132. [Google Scholar] [CrossRef]
- Standard ISO 37/UNI 6065. Available online: https://www.eurolab.net/it/testler/malzeme-testleri/iso-37-kaucuk-vulkanize-veya-termoplastik-cekme-gerilimi-uzama-ozelliklerinin-tayini/ (accessed on 2 January 2024).
- Flory, P.J.; Rehner, J. Statistical Mechanics of Cross-Linked Polymer Networks I. Rubberlike Elasticity. J. Chem. Phys. 1943, 11, 512–520. [Google Scholar] [CrossRef]







| Ingredient a | Silica | CB N234 | CB/SP |
|---|---|---|---|
| S-SBR 4630 | 70 | 70 | 70 |
| NR (SIR—20) | 30 | 30 | 30 |
| TESPT | 5.2 | 5.2 | 5.2 |
| Silica | 70 | 0 | 0 |
| CB N234 | 5.2 | 65.2 | 5.2 |
| CB/SP | 0 | 0 | 60 |
| Sample | Temperature Range | Amount of SP (phc) | ||||
|---|---|---|---|---|---|---|
| T < 150 °C | 150 °C < T < 550 °C | 550 < T < 900 °C | T > 900 °C | Residue | ||
| SP | 4.3 | 93.9 | 0.3 | 0.3 | 2 | |
| CB N234 | 0.8 | 1.2 | 1.1 | 96.7 | 0.2 | - |
| CB/—P—UW a | 0.4 | 7.2 | 1.9 | 90.1 | 0.4 | 10 |
| CB/—P—W b | 0.5 | 5.3 | 1.7 | 90.6 | 1.9 | 6.8 |
| Sample | Total Surface Area (NSA) [m2/g] | External Surface Area (STSA) [m2/g] |
|---|---|---|
| CBN234 | 112 | 108.8 |
| CB/SP | 86.2 | 71.0 |
| Composites | |||
|---|---|---|---|
| Silica | CB | CB/SP | |
| Total crosslinks (mol/g) | 3.24 | 4.92 | 3.29 |
| Mono- and di-sulphides (% mass) | 47.90 | 46.10 | 47.90 |
| Poly-sulphides (% mass) | 52.10 | 53.90 | 52.10 |
| Silica | CB | CB/SP | |
|---|---|---|---|
| G′γmin [Mpa] | 3.93 | 3.62 | 3.35 |
| G′γmax [MPa] | 1.66 | 1.38 | 1.27 |
| ΔG′ a [MPa] | 2.27 | 2.24 | 2.07 |
| 0.58 | 0.62 | 0.62 | |
| G″max [MPa] | 0.49 | 0.56 | 0.39 |
| tanδmax | 0.18 | 0.24 | 0.20 |
| T [°C] | Silica | CB | CB/SP | |
|---|---|---|---|---|
| E′ [MPa] | 10 | 15.30 | 14.89 | 16.52 |
| 23 | 12.08 | 11.53 | 12.87 | |
| 70 | 8.17 | 7.99 | 8.24 | |
| E″ [MPa] | 10 | 7.87 | 8.02 | 8.22 |
| 23 | 4.66 | 4.85 | 4.96 | |
| 70 | 1.23 | 1.52 | 1.42 | |
| Tanδ | 10 | 0.52 | 0.54 | 0.50 |
| 23 | 0.39 | 0.42 | 0.39 | |
| 70 | 0.15 | 0.19 | 0.17 |
| Composite | |||
|---|---|---|---|
| Silica | CB | CB/SP | |
| σ50% [MPa] | 2.19 | 2.29 | 2.04 |
| σ100% [MPa] | 3.83 | 4.74 | 3.61 |
| σ200% [MPa] | 9.60 | 12.86 | 8.71 |
| σ300% [MPa] | 17.08 | - | 14.50 |
| σ300%/σ100% | 4.45 | - | 4.01 |
| σbreak [MPa] | 18.53 | 15.37 | 15.13 |
| Ɛbreak [%] | 320.94 | 229.79 | 313.30 |
| Energy break [MJ/m³] | 25.71 | 15.23 | 21.66 |
Disclaimer/Publisher’s Note: The statements, opinions and data contained in all publications are solely those of the individual author(s) and contributor(s) and not of MDPI and/or the editor(s). MDPI and/or the editor(s) disclaim responsibility for any injury to people or property resulting from any ideas, methods, instructions or products referred to in the content. |
© 2024 by the authors. Licensee MDPI, Basel, Switzerland. This article is an open access article distributed under the terms and conditions of the Creative Commons Attribution (CC BY) license (https://creativecommons.org/licenses/by/4.0/).
Share and Cite
Magaletti, F.; Galbusera, M.; Gentile, D.; Giese, U.; Barbera, V.; Galimberti, M. Carbon Black Functionalized with Serinol Pyrrole to Replace Silica in Elastomeric Composites. Polymers 2024, 16, 1214. https://doi.org/10.3390/polym16091214
Magaletti F, Galbusera M, Gentile D, Giese U, Barbera V, Galimberti M. Carbon Black Functionalized with Serinol Pyrrole to Replace Silica in Elastomeric Composites. Polymers. 2024; 16(9):1214. https://doi.org/10.3390/polym16091214
Chicago/Turabian StyleMagaletti, Federica, Martina Galbusera, Davide Gentile, Ulrich Giese, Vincenzina Barbera, and Maurizio Galimberti. 2024. "Carbon Black Functionalized with Serinol Pyrrole to Replace Silica in Elastomeric Composites" Polymers 16, no. 9: 1214. https://doi.org/10.3390/polym16091214
APA StyleMagaletti, F., Galbusera, M., Gentile, D., Giese, U., Barbera, V., & Galimberti, M. (2024). Carbon Black Functionalized with Serinol Pyrrole to Replace Silica in Elastomeric Composites. Polymers, 16(9), 1214. https://doi.org/10.3390/polym16091214

