Development of Biphasic Injectable Hydrogels for Meniscus Scaffold from Photocrosslinked Glycidyl Methacrylate-Modified Poly(Vinyl Alcohol)/Glycidyl Methacrylate-Modified Silk Fibroin
Abstract
1. Introduction
2. Materials and Methods
2.1. Materials
2.2. Preparation of Glycidyl Methacrylate (GMA) Grafted onto Silk Fibroin (SF-g-GMA)
2.3. Preparation of Glycidyl Methacrylate Grafted onto Poly(Vinyl Alcohol) (PVA-g-GMA)
2.4. Nuclear Magnetic Resonance (NMR)
2.5. Preparation of Glycidyl Methacrylate-Modified Poly(Vinyl Alcohol)/Glycidyl Methacrylate-Modified Silk Fibroin Hydrogel
2.6. Fourier Transform Infrared Spectroscopy (FTIR)
2.7. Gel Fraction
2.8. Compression Test
2.9. Morphological Structure Measurement
2.10. In Vitro Degradation
2.11. Cell Viability and Live/Dead Cells in Three-Dimensional Cell Culture
2.12. Gene Expression
2.13. Statistical Analysis
3. Results and Discussion
3.1. Synthesis of Glycidyl Methacrylate-Modified Poly(Vinyl Alcohol) and Glycidyl Methacrylate-Modified Silk Fibroin
3.2. Fourier Transform Infrared Spectroscopy Analysis
3.3. Gel Fraction
3.4. Mechanical Properties of Glycidyl Methacrylate-Modified Poly(Vinyl Alcohol)/Glycidyl Methacrylate-Modified Silk Fibroin Hydrogel
3.5. The Morphology of Glycidyl Methacrylate-Modified Poly(Vinyl Alcohol)/Glycidyl Methacrylate-Modified Silk Fibroin Hydrogel
3.6. In Vitro Degradation
3.7. Live and Dead Cells
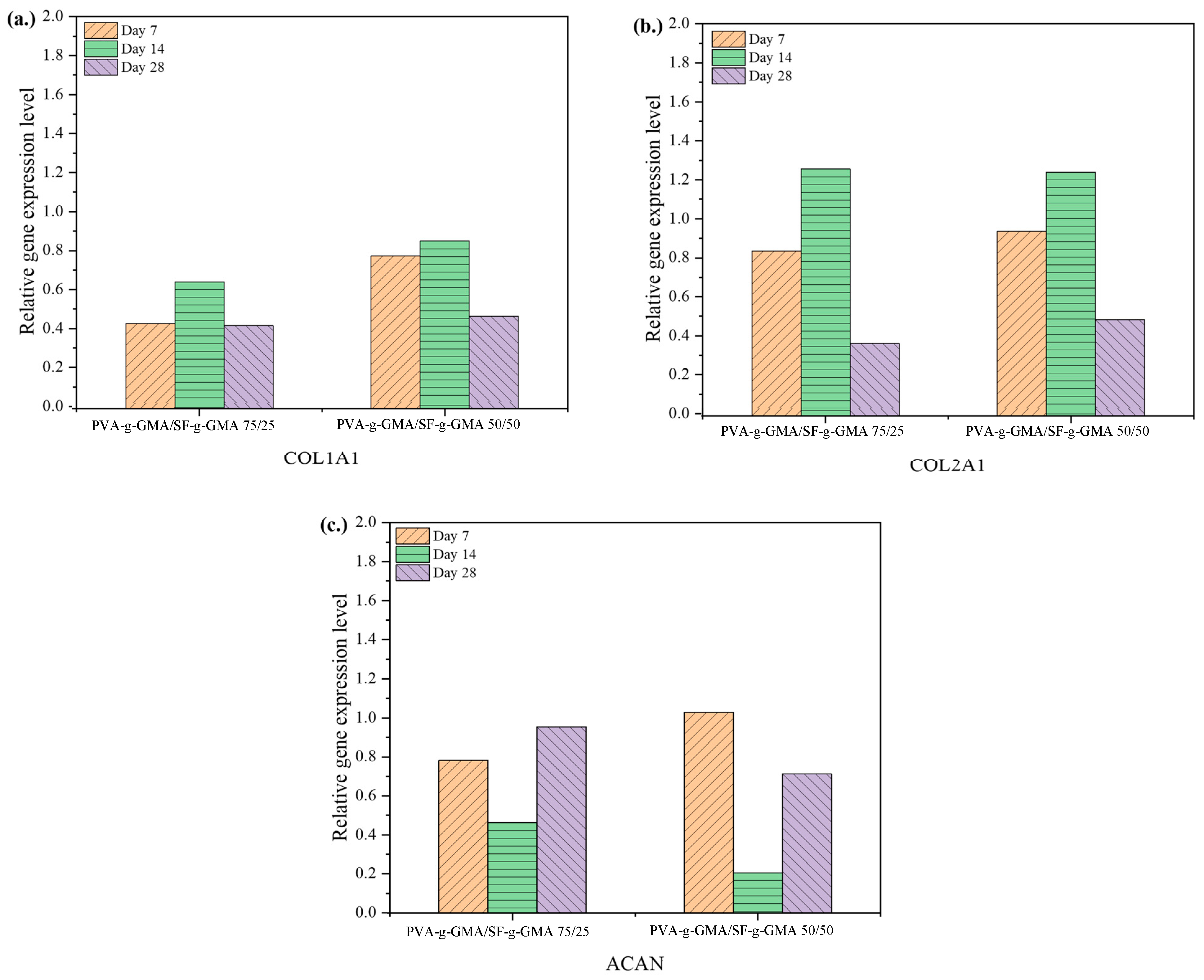
3.8. Gene Expression
4. Conclusions
Author Contributions
Funding
Institutional Review Board Statement
Data Availability Statement
Acknowledgments
Conflicts of Interest
References
- Arnoczky, S.P.; Warren, R.F. The microvasculature of the meniscus and its response to injury. An experimental study in the dog. Am. J. Sports Med. 1983, 11, 131–141. [Google Scholar] [CrossRef]
- Makris, E.A.; Hadidi, P.; Athanasiou, K.A. The knee meniscus: Structure-function, pathophysiology, current repair techniques, and prospects for regeneration. Biomaterials 2011, 32, 7411–7431. [Google Scholar] [CrossRef] [PubMed]
- Numpaisal, P.O.; Rothrauff, B.B.; Gottardi, R.; Chien, C.L.; Tuan, R.S. Rapidly dissociated autologous meniscus tissue enhances meniscus healing: An in vitro study. Connect. Tissue Res. 2017, 58, 355–365. [Google Scholar] [CrossRef]
- Luvsannyam, E.; Jain, M.S.; Leitao, A.R.; Maikawa, N.; Leitao, A.E. Meniscus tear: Pathology, incidence, and management. Cureus 2022, 14, e25121. [Google Scholar] [CrossRef] [PubMed]
- Encinas-Ullán, C.A.; Rodríguez-Merchán, E.C. Arthroscopic treatment of total knee arthroplasty complications. EFORT Open Rev. 2019, 4, 33–43. [Google Scholar] [CrossRef]
- Bilgen, B.; Jayasuriya, C.T.; Owens, B.D. Current concepts in meniscus tissue engineering and repair. Adv. Healthc. Mater. 2018, 7, e1701407. [Google Scholar] [CrossRef]
- Chiari, C.; Koller, U.; Dorotka, R.; Eder, C.; Plasenzotti, R.; Lang, S.; Ambrosio, L.; Tognana, E.; Kon, E.; Salter, D.; et al. A tissue engineering approach to meniscus regeneration in a sheep model. Osteoarthr. Cartil. 2006, 14, 1056–1065. [Google Scholar] [CrossRef]
- Sun, A.X.; Numpaisal, P.-o.; Gottardi, R.; Shen, H.; Yang, G.; Tuan, R.S. Cell and biomimetic scaffold-based approaches for cartilage regeneration. Oper. Tech. Orthop. 2016, 26, 135–146. [Google Scholar] [CrossRef]
- Bhushan, S.; Singh, S.; Maiti, T.K.; Sharma, C.; Dutt, D.; Sharma, S.; Li, C.; Tag Eldin, E.M. Scaffold fabrication techniques of biomaterials for bone tissue engineering: A critical review. Bioengineering 2022, 9, 728. [Google Scholar] [CrossRef]
- Ghandforoushan, P.; Alehosseini, M.; Golafshan, N.; Castilho, M.; Dolatshahi-Pirouz, A.; Hanaee, J.; Davaran, S.; Orive, G. Injectable hydrogels for cartilage and bone tissue engineering. Bone Res. 2017, 5, 17014. [Google Scholar]
- Rahman, S.; Islam, M.; Islam, S.; Zaman, A.; Ahmed, T.; Biswas, S.; Sharmeen, S.; Rashid, T.U. Morphological characterization of hydrogels. In Cellulose-Based Superabsorbent Hydrogels; Mondal, M.I.H., Ed.; Springer International Publishing: Cham, Switzerland, 2019; pp. 819–863. [Google Scholar]
- Pyarasani, R.D.; Jayaramudu, T.; John, A. Polyaniline-based conducting hydrogels. J. Mater. Sci. 2018, 54, 974–996. [Google Scholar] [CrossRef]
- El-Sherbiny, I.M.; Yacoub, M.H. Hydrogel scaffolds for tissue engineering: Progress and challenges. Glob. Cardiol. Sci. Pract. 2013, 2013, 316–342. [Google Scholar] [CrossRef]
- Wang, B.; Liu, J.; Niu, D.; Wu, N.; Yun, W.; Wang, W.; Zhang, K.; Li, G.; Yan, S.; Xu, G.; et al. Mussel-inspired bisphosphonated injectable nanocomposite hydrogels with adhesive, self-healing, and osteogenic properties for bone regeneration. ACS Appl. Mater. Interfaces 2021, 13, 32673–32689. [Google Scholar] [CrossRef] [PubMed]
- Meng, L.; Shao, C.; Cui, C.; Xu, F.; Lei, J.; Yang, J. Autonomous self-healing silk fibroin injectable hydrogels formed via surfactant-free hydrophobic association. ACS Appl. Mater. Interfaces 2020, 12, 1628–1639. [Google Scholar] [CrossRef] [PubMed]
- Jiang, Y.; Wang, H.; Wang, X.; Yu, X.; Li, H.; Tang, K.; Li, Q. Preparation of gelatin-based hydrogels with tunable mechanical properties and modulation on cell-matrix interactions. J. Biomater. Appl. 2021, 36, 902–911. [Google Scholar] [CrossRef] [PubMed]
- Kumar, A.; Han, S.S. PVA-based hydrogels for tissue engineering: A review. Int. J. Polym. Mater. Polym. Biomater. 2016, 66, 159–182. [Google Scholar] [CrossRef]
- Schmedlen, R.; Masters, K.; West, J. Photocrosslinkable polyvinyl alcohol hydrogels that can be modified with cell adhesion peptides for use in tissue engineering. Biomaterials 2002, 23, 4325–4332. [Google Scholar] [CrossRef] [PubMed]
- Tsou, Y.H.; Khoneisser, J.; Huang, P.C.; Xu, X. Hydrogel as a bioactive material to regulate stem cell fate. Bioact. Mater. 2016, 1, 39–55. [Google Scholar] [CrossRef] [PubMed]
- Kundu, B.; Rajkhowa, R.; Kundu, S.C.; Wang, X. Silk fibroin biomaterials for tissue regenerations. Adv. Drug Deliv. Rev. 2013, 65, 457–470. [Google Scholar] [CrossRef]
- Das, S.; Pati, F.; Choi, Y.J.; Rijal, G.; Shim, J.H.; Kim, S.W.; Ray, A.R.; Cho, D.W.; Ghosh, S. Bioprintable, cell-laden silk fibroin-gelatin hydrogel supporting multilineage differentiation of stem cells for fabrication of three-dimensional tissue constructs. Acta Biomater. 2015, 11, 233–246. [Google Scholar] [CrossRef]
- Wang, M.; Bai, J.; Shao, K.; Tang, W.; Zhao, X.; Lin, D.; Huang, S.; Chen, C.; Ding, Z.; Ye, J. Poly(vinyl alcohol) hydrogels: The old and new functional materials. Int. J. Polym. Sci. 2021, 2021, 2225426. [Google Scholar] [CrossRef]
- Li, L.; Decai, G.; Zhengyuan, Y.; Jie, W. A preliminary study of the decline in solubility of ancient silk protein. Polym. Degrad. Stab. 2019, 169, 108988. [Google Scholar] [CrossRef]
- Ferreira, P.; Coelho, J.F.J.; Almeida, J.F.; Gil, M.H. Photocrosslinkable polymers for biomedical applications. In Biomedical Engineering; Reza, F.R., Ed.; IntechOpen: Rijeka, Croatia, 2011; p. 3. [Google Scholar]
- Liu, J.; Su, C.; Chen, Y.; Tian, S.; Lu, C.; Huang, W.; Lv, Q. Current understanding of the applications of photocrosslinked hydrogels in biomedical engineering. Gels 2022, 8, 216. [Google Scholar] [CrossRef]
- Zhang, C.; Liang, K.; Zhou, D.; Yang, H.; Liu, X.; Yin, X.; Xu, W.; Zhou, Y.; Xiao, P. High-performance photopolymerized poly(vinyl alcohol)/silica nanocomposite hydrogels with enhanced cell adhesion. ACS Appl. Mater. Interfaces 2018, 10, 27692–27700. [Google Scholar] [CrossRef] [PubMed]
- Zhang, J.; Liu, T.; Liu, Z. Facile fabrication of tough photocrosslinked polyvinyl alcohol hydrogels with cellulose nanofibrils reinforcement. Polymer 2019, 173, 103–109. [Google Scholar] [CrossRef]
- Crispim, E.G.; Piai, J.F.; Schüquel, I.T.; Rubira, A.F.; Muniz, E.C. Functionalization of poly(vinyl alcohol) by addition of methacryloyl groups: Characterization by FTIR and NMR and optimization of reaction conditions by RSM. e-Polymers 2006, 6, 062. [Google Scholar] [CrossRef]
- Bae, S.B.; Kim, M.H.; Park, W.H. Electrospinning and dual crosslinking of water-soluble silk fibroin modified with glycidyl methacrylate. Polym. Degrad. Stab. 2020, 179, 109304. [Google Scholar] [CrossRef]
- Sringam, J.; Pankongadisak, P.; Trongsatitkul, T.; Suppakarn, N. Improving mechanical properties of starch-based hydrogels using double network strategy. Polymers 2022, 14, 3552. [Google Scholar] [CrossRef] [PubMed]
- Llorens-Gamez, M.; Salesa, B.; Serrano-Aroca, A. Physical and biological properties of alginate/carbon nanofibers hydrogel films. Int. J. Biol. Macromol. 2020, 151, 499–507. [Google Scholar] [CrossRef]
- Promnil, S.; Ruksakulpiwat, C.; Numpaisal, P.O.; Ruksakulpiwat, Y. Electrospun poly(lactic acid) and silk fibroin based nanofibrous scaffold for meniscus tissue engineering. Polymers 2022, 14, 2435. [Google Scholar] [CrossRef]
- Kaewpirom, S.; Boonsang, S. Influence of alcohol treatments on properties of silk-fibroin-based films for highly optically transparent coating applications. RSC Adv. 2020, 10, 15913–15923. [Google Scholar] [CrossRef] [PubMed]
- Matsumoto, A.; Chen, J.; Collette, A.L.; Kim, U.J.; Altman, G.H.; Cebe, P.; Kaplan, D.L. Mechanisms of silk fibroin sol-gel transitions. J. Phys. Chem. B 2006, 110, 21630–21638. [Google Scholar] [CrossRef] [PubMed]
- Raksa, A.; Utke, R.; Ruksakulpiwat, C.; Numpaisal, P.-O.; Ruksakulpiwat, Y. Morphological and chemical characterization of electrospun silk fibroin/polyvinyl alcohol nanofibers. In Proceedings of the Second Materials Research Society of Thailand International Conference, Pattaya, Thailand, 10–12 July 2019. [Google Scholar]
- Ozmen, M.; Okay, O. Superfast Responsive Ionic Hydrogels: Effect of the Monomer Concentration. J. Macromol. Sci. Part. A 2006, 43, 1215–1225. [Google Scholar] [CrossRef]
- Kaewprasit, K.; Kobayashi, T.; Damrongsakkul, S. Thai silk fibroin gelation process enhancing by monohydric and polyhydric alcohols. Int. J. Biol. Macromol. 2018, 118, 1726–1735. [Google Scholar] [CrossRef] [PubMed]
- Chia, H.N.; Hull, M.L. Compressive moduli of the human medial meniscus in the axial and radial directions at equilibrium and at a physiological strain rate. J. Orthop. Res. 2008, 26, 951–956. [Google Scholar] [CrossRef] [PubMed]
- Wolf, M.T.; Daly, K.A.; Brennan-Pierce, E.P.; Johnson, S.A.; Carruthers, C.A.; D'Amore, A.; Nagarkar, S.P.; Velankar, S.S.; Badylak, S.F. Hydrogel derived from decellularized dermal extracellular matrix. Biomaterials 2012, 33, 7028–7038. [Google Scholar] [CrossRef]
- Sweigart, M.A.; Zhu, C.F.; Burt, D.M.; DeHoll, P.D.; Agrawal, C.M.; Clanton, T.O.; Athanasiou, K.A. Intraspecies and interspecies comparison of the compressive properties of the medial meniscus. Ann. Biomed. Eng. 2004, 32, 1569–1579. [Google Scholar] [CrossRef] [PubMed]
- Martin Seitz, A.; Galbusera, F.; Krais, C.; Ignatius, A.; Dürselen, L. Stress-relaxation response of human menisci under confined compression conditions. J. Mech. Behav. Biomed. Mater. 2013, 26, 68–80. [Google Scholar] [CrossRef]
- Kędzierska, M.; Jamroży, M.; Drabczyk, A.; Kudłacik-Kramarczyk, S.; Bańkosz, M.; Gruca, M.; Potemski, P.; Tyliszczak, B. Analysis of the influence of both the average molecular weight and the content of crosslinking agent on physicochemical properties of PVP-based hydrogels developed as innovative dressings. Int. J. Mol. Sci. 2022, 23, 11618. [Google Scholar] [CrossRef]
- Foudazi, R.; Zowada, R.; Manas-Zloczower, I.; Feke, D.L. Porous hydrogels: Present challenges and future opportunities. Langmuir 2023, 39, 2092–2111. [Google Scholar] [CrossRef]
- Wehland, M.; Steinwerth, P.; Aleshcheva, G.; Sahana, J.; Hemmersbach, R.; Lützenberg, R.; Kopp, S.; Infanger, M.; Grimm, D. Tissue Engineering of Cartilage Using a Random Positioning Machine. Int. J. Mol. Sci. 2020, 16, 9596. [Google Scholar] [CrossRef] [PubMed]
- Bitar, K.N.; Zakhem, E. Design strategies of biodegradable scaffolds for tissue regeneration. Biomed. Eng. Comput. Biol. 2014, 6, 13–20. [Google Scholar] [CrossRef] [PubMed]
- Zhang, Z.Z.; Jiang, D.; Wang, S.J.; Qi, Y.S.; Ding, J.X.; Yu, J.K.; Chen, X.S. Scaffolds drive meniscus tissue engineering. Rsc Adv. 2015, 5, 77851–77859. [Google Scholar] [CrossRef]
- Numpaisal, P.O.; Jiang, C.C.; Hsieh, C.H.; Chiang, H.; Chien, C.L. Prospective application of partially digested autologous chondrocyte for meniscus tissue engineering. Pharmaceutics 2022, 14, 605. [Google Scholar] [CrossRef] [PubMed]














| Gene | Primer Sequence (5′ to 3′) | |
|---|---|---|
| Type I collagen (COL1A2) | Sense | GGA GGA GAG TCA GGA AGG |
| Antisense | GCA ACA CAG TTA CAC AAG G | |
| Type II collagen (COL2A1) | Sense | GGC AGA GGT ATA ATG ATA AG |
| Antisense | ATG TCG TCG CAG AGG | |
| Aggrecan (ACAN) | Sense | ATA CCG TCG TAG TTC C |
| Antisense | TCC TTG TCT CCA TAG C |
| PVA-g-GMA/SF-g-GMA | Compressive Modulus (kPa) | Compressive Strength (kPa) |
|---|---|---|
| 100/0 | 173.74 ± 58.41 | 145.57 ± 41.81 |
| 75/25 | 145.92 ± 32.49 | 100.66 ± 28.75 |
| 50/50 | 117.24 ± 8.29 | 89.49 ± 13.02 |
| 25/75 | 93.33 ± 15.11 | 69.55 ± 10.62 |
| 0/100 | 11.03 ± 1.42 | 53.20 ± 10.81 |
| Human meniscus | 100–150 | - |
Disclaimer/Publisher’s Note: The statements, opinions and data contained in all publications are solely those of the individual author(s) and contributor(s) and not of MDPI and/or the editor(s). MDPI and/or the editor(s) disclaim responsibility for any injury to people or property resulting from any ideas, methods, instructions or products referred to in the content. |
© 2024 by the authors. Licensee MDPI, Basel, Switzerland. This article is an open access article distributed under the terms and conditions of the Creative Commons Attribution (CC BY) license (https://creativecommons.org/licenses/by/4.0/).
Share and Cite
Jeencham, R.; Sinna, J.; Ruksakulpiwat, C.; Tawonsawatruk, T.; Numpaisal, P.-o.; Ruksakulpiwat, Y. Development of Biphasic Injectable Hydrogels for Meniscus Scaffold from Photocrosslinked Glycidyl Methacrylate-Modified Poly(Vinyl Alcohol)/Glycidyl Methacrylate-Modified Silk Fibroin. Polymers 2024, 16, 1093. https://doi.org/10.3390/polym16081093
Jeencham R, Sinna J, Ruksakulpiwat C, Tawonsawatruk T, Numpaisal P-o, Ruksakulpiwat Y. Development of Biphasic Injectable Hydrogels for Meniscus Scaffold from Photocrosslinked Glycidyl Methacrylate-Modified Poly(Vinyl Alcohol)/Glycidyl Methacrylate-Modified Silk Fibroin. Polymers. 2024; 16(8):1093. https://doi.org/10.3390/polym16081093
Chicago/Turabian StyleJeencham, Rachasit, Jiraporn Sinna, Chaiwat Ruksakulpiwat, Tulyapruek Tawonsawatruk, Piya-on Numpaisal, and Yupaporn Ruksakulpiwat. 2024. "Development of Biphasic Injectable Hydrogels for Meniscus Scaffold from Photocrosslinked Glycidyl Methacrylate-Modified Poly(Vinyl Alcohol)/Glycidyl Methacrylate-Modified Silk Fibroin" Polymers 16, no. 8: 1093. https://doi.org/10.3390/polym16081093
APA StyleJeencham, R., Sinna, J., Ruksakulpiwat, C., Tawonsawatruk, T., Numpaisal, P.-o., & Ruksakulpiwat, Y. (2024). Development of Biphasic Injectable Hydrogels for Meniscus Scaffold from Photocrosslinked Glycidyl Methacrylate-Modified Poly(Vinyl Alcohol)/Glycidyl Methacrylate-Modified Silk Fibroin. Polymers, 16(8), 1093. https://doi.org/10.3390/polym16081093

