Development of an Immunocapture-Based Polymeric Optical Fiber Sensor for Bacterial Detection in Water
Abstract
1. Introduction
2. Sensing Theory: Physical Principle of a U-Shaped POF Sensor
3. Materials and Methods
3.1. Manufacture of U-Shape Sensors
3.2. Sensor Surface Functionalization with Polyethyleneimine (PEI) and Immobilization of Antibodies
3.3. Bacteria Suspension and E. coli Detection Procedures
3.4. The Optoelectronic System
3.5. Measurement Methodology
3.6. Test and Simulation of the Methodology
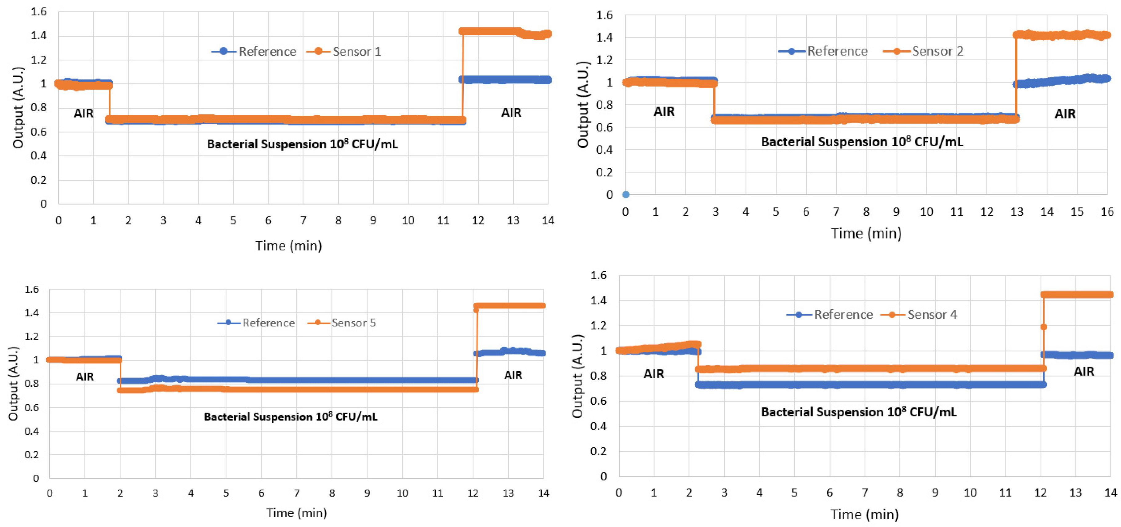
4. Results
4.1. Results of the Immunocapture
4.2. Results of the Simulation of Immunosensor Behavior
4.3. Tests of Fluorescence in a Confocal Microscope
4.4. Tests of Selectivity
5. Discussion and Conclusions
Author Contributions
Funding
Data Availability Statement
Conflicts of Interest
References
- Conelly, J.T.; Baeumner, A.J. Biosensor for the Detection of Waterborne Pathogens. Anal. Bioanal. Chem. 2012, 402, 117–127. [Google Scholar] [CrossRef]
- Deshmukh, R.A.; Joshi, K.; Bhand, S.; Roy, U. Recent Developments in Detection and Enumeration of Waterborne Bacteria: A Retrospective Minireview. Microbiol. Open 2016, 5, 901–922. [Google Scholar] [CrossRef]
- Kumar, N.; Hu, Y.; Singh, S.; Mizaikoff, B. Emerging Biosensor Platforms for the Assessment of Water-borne Pathogens. Analyst 2018, 143, 359–373. [Google Scholar] [CrossRef]
- Marazuela, M.D.; Moreno-Bondi, M.C. Fiber-optic biosensors—An overview. Anal. Bioanal. Chem. 2002, 372, 664–682. [Google Scholar] [CrossRef]
- Sobhan, A.; Jia, F.; Kelso, L.C.; Biswas, S.K.; Muthukumarappan, K.; Cao, C.; Wei, L.; Li, Y. A Novel Activated Biochar-Based Immunosensor for Rapid Detection of E. coli O157:H7. Biosensors 2022, 12, 908. [Google Scholar] [CrossRef] [PubMed]
- Wandermur, G.; Rodrigues, D.; Allil, R.; Queiroz, V.; Peixoto, R.; Werneck, M.; Miguel, M. Plastic optical fiber-based biosensor platform for rapid cell detection. Biosens. Bioelectron. 2014, 54, 661–666. [Google Scholar] [CrossRef] [PubMed]
- Wang, X.-D.; Wolfbeis, O.S. Fiber-Optic Chemical Sensors and Biosensors (2015−2019). Anal. Chem. 2020, 92, 397–430. [Google Scholar] [CrossRef] [PubMed]
- Razo-Medina, D.A.; Trejo-Durán, M.; Alvarado-Méndez, E. Cholesterol Biosensor Based on a Plastic Optical Fibre with Sol-gel: Structural Analysis and Sensing Properties. J. Mod. Opt. 2018, 65, 348–352. [Google Scholar] [CrossRef]
- Li, J.; Liu, X.; Sun, H.; Wang, L.; Zhang, J.; Huang, X.; Deng, L.; Xi, J.; Ma, T. A New Type of Optical Fiber Glucose Biosensor with Enzyme Immobilized by Electrospinning. IEEE Sens. J. 2021, 21, 16078–16085. [Google Scholar] [CrossRef]
- Leitão, C.; Pereira, S.O.; Marques, C.; Cennamo, N.; Zeni, L.; Shaimerdenova, M.; Ayupova, T.; Tosi, D. Cost-Effective Fiber Optic Solutions for Biosensing. Biosensors 2022, 12, 575. [Google Scholar] [CrossRef] [PubMed]
- Homola, J.; Yee, S.S.; Gauglitz, G. Surface plasmon resonance sensors: Review. Sens. Actuators B Chem. 1999, 54, 3–15. [Google Scholar] [CrossRef]
- Nylander, C.; Liedberg, B.; Lind, T. Gas detection by means of surface plasmon resonance. Sens. Actuators 1982, 3, 79–88. [Google Scholar] [CrossRef]
- Mitsushio, M.; Miyashita, K.; Higo, M. Sensor properties and surface characterization of the metal-deposited SPR optical fiber sensors with Au, Ag, Cu, and Al. Sens. Actuators A Phys. 2006, 125, 296–303. [Google Scholar] [CrossRef]
- Arcas, A.D.S.; Dutra, F.D.S.; Allil, R.C.S.B.; Werneck, M.M. Surface Plasmon Resonance and Bending Loss-Based U-Shaped Plastic Optical Fiber Biosensors. Sensors 2018, 18, 648. [Google Scholar] [CrossRef] [PubMed]
- Arcas, A.S.; Jaramillo, L.; Costa, N.S.; Allil, R.C.S.B.; Werneck, M.M. Localized surface plasmon resonance-based biosensor on gold nanoparticles for Taenia solium detection. Appl. Opt. 2021, 60, 8137–8144. [Google Scholar] [CrossRef] [PubMed]
- Cennamo, N.; D’Agostino, G.; Perri, C.; Arcadio, F.; Chiaretti, G.; Parisio, E.M.; Camarlinghi, G.; Vettori, C.; Di Marzo, F.; Cennamo, R.; et al. Proof of concept for a quick and highly sensitive on-site detection of SARS-CoV-2 by plasmonic optical fibers and molecularly imprinted polymers. Sensors 2021, 21, 1681. [Google Scholar] [CrossRef] [PubMed]
- Alberti, G.; Pesavento, M.; De Maria, L.; Cennamo, N.; Zeni, L.; Merli, D. An Optical Fiber Sensor for Uranium Detection in Water. Biosensors 2022, 12, 635. [Google Scholar] [CrossRef] [PubMed]
- Werneck, M.M.; Allil, R.C.S.B. (Eds.) Plastic Optical Fiber Sensors: Science, Technology and Applications, 1st ed.; CRC Press: Boca Raton, FL, USA, 2019. [Google Scholar] [CrossRef]
- Beres, C.; de Nazaré, F.V.B.; de Souza, N.C.C.; Miguel, M.A.L.; Werneck, M.M. Tapered plastic optical fiber-based biosensor–Tests and application. Biosens. Bioelectron. 2011, 30, 328–332. [Google Scholar] [CrossRef]
- Rodrigues, D.M.C.; Lopes, R.N.; Franco, M.A.R.; Allil, R.C.S.B.; Werneck, M.M. Sensitivity Analysis of Different Shapes of a Plastic Optical Fiber-Based Immunosensor for Escherichia coli: Simulation and Experimental Results. Sensors 2017, 17, 2944. [Google Scholar] [CrossRef]
- Lopes, R.N.; Rodrigues, D.M.C.; Allil, R.C.S.; Werneck, M.M. Plastic optical fiber immunosensor for fast detection of sulfate-reducing bacteria. Measurement 2018, 125, 377–385. [Google Scholar] [CrossRef]
- Ashraf, M.; Beg, M.T.; Moin, F.; Rajesh, R.; Singhal, G. U-Bent Plastic Optical Fiber Sensor for Iron in Iron Supplements. IEEE Sens. J. 2022, 22, 14921–14928. [Google Scholar] [CrossRef]
- Ashraf, M.; Mainuddin, M.; Beg, M.T.; Moin, F.; Saikia, A.; Dwivedi, S.K.; Kumar, G. U-shaped plastic optical fiber sensor for phosphate detection in water. Opt. Quantum Electron. 2023, 55, 1192. [Google Scholar] [CrossRef]
- Johari, S.H.; Cheak, T.Z.; Abdul Rahim, H.R.; Jali, M.H.; Mohd Yusof, H.H.; Md Johari, M.A.; Yasin, M.; Harun, S.W. ZnO Nanorods Coated Tapered U-Shape Plastic Optical Fiber for Relative Humidity Detection. Photonics 2022, 9, 796. [Google Scholar] [CrossRef]
- Hadi, M.U.; Khurshid, M. SARS-CoV-2 Detection Using Optical Fiber Based Sensor Method. Sensors 2022, 22, 751. [Google Scholar] [CrossRef]
- Da Silva Arcas, A.; Da Silva Barros Allil, R.C.; Werneck, M.M. U-Shaped POF sensor coated with gold thin film for E. coli detection. In Proceedings of the 26th International Conference on Plastic Optical Fibres, POF2017, Melia Ria Hotel & Spa, Aveiro, Portugal, 13–15 September 2017; p. 56, ISBN 978-989-97345-2-4. [Google Scholar]
- Khnouf, R.; Karasneh, D.; Albiss, B.A. Protein Immobilization on the Surface of Polydimethylsiloxane and Polymethylmethacrylate Microfluidic Devices. Electrophoresis 2016, 37, 529–535. [Google Scholar] [CrossRef]
- Odonkor, S.T.; Mahami, T. Escherichia coli as a Tool for Disease Risk Assessment of Drinking Water Sources. Int. J. Microbiol. 2020, 2020, 2534130. [Google Scholar] [CrossRef]
- Lopez, J.D.; Dante, A.; da Silva Allil, R.C.; Werneck, M.M. The Influence of Geometric Shape on the Performance of Refractive Index Sensors Based on Plastic Optical Fibers: Simulations and Experimental Assessment. IEEE Sens. J. 2023, 23, 5803–5809. [Google Scholar] [CrossRef]










| Concentration | Average of Results (a.u.) 1 | Standard Deviation |
|---|---|---|
| 104 CFU/mL | 1.12 | 0.05 |
| 108 CFU/mL | 1.33 | 0.05 |
Disclaimer/Publisher’s Note: The statements, opinions and data contained in all publications are solely those of the individual author(s) and contributor(s) and not of MDPI and/or the editor(s). MDPI and/or the editor(s) disclaim responsibility for any injury to people or property resulting from any ideas, methods, instructions or products referred to in the content. |
© 2024 by the authors. Licensee MDPI, Basel, Switzerland. This article is an open access article distributed under the terms and conditions of the Creative Commons Attribution (CC BY) license (https://creativecommons.org/licenses/by/4.0/).
Share and Cite
Lopes, R.N.; Pinto, P.H.S.; Vargas, J.D.L.; Dante, A.; Macrae, A.; Allil, R.C.B.; Werneck, M.M. Development of an Immunocapture-Based Polymeric Optical Fiber Sensor for Bacterial Detection in Water. Polymers 2024, 16, 861. https://doi.org/10.3390/polym16060861
Lopes RN, Pinto PHS, Vargas JDL, Dante A, Macrae A, Allil RCB, Werneck MM. Development of an Immunocapture-Based Polymeric Optical Fiber Sensor for Bacterial Detection in Water. Polymers. 2024; 16(6):861. https://doi.org/10.3390/polym16060861
Chicago/Turabian StyleLopes, Rafaela Nascimento, Paulo Henrique Silva Pinto, Juan David Lopez Vargas, Alex Dante, Andrew Macrae, Regina Célia Barros Allil, and Marcelo Martins Werneck. 2024. "Development of an Immunocapture-Based Polymeric Optical Fiber Sensor for Bacterial Detection in Water" Polymers 16, no. 6: 861. https://doi.org/10.3390/polym16060861
APA StyleLopes, R. N., Pinto, P. H. S., Vargas, J. D. L., Dante, A., Macrae, A., Allil, R. C. B., & Werneck, M. M. (2024). Development of an Immunocapture-Based Polymeric Optical Fiber Sensor for Bacterial Detection in Water. Polymers, 16(6), 861. https://doi.org/10.3390/polym16060861

