Recent Progress in Covalent Organic Frameworks for Cathode Materials
Abstract
1. Introduction
2. Active Functional Groups of COFs Materials
2.1. Quinones and Ketones
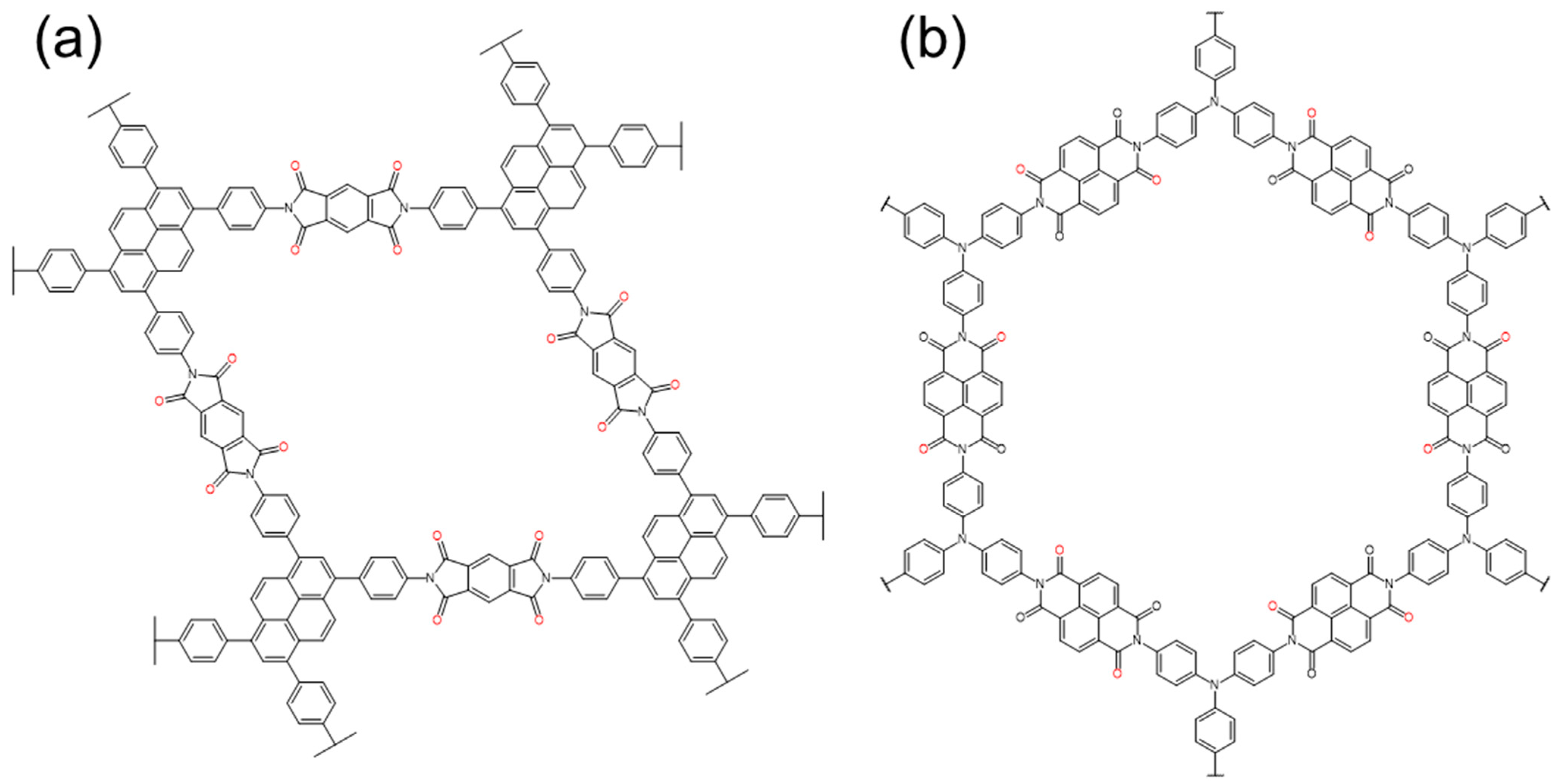
2.2. Imide
2.3. Imine and Azo
2.4. Pyrazine
2.5. Triazine
2.6. Other Active Groups
3. Structural Design of COFs for Cathode Materials
4. Conclusions
Author Contributions
Funding
Conflicts of Interest
References
- Cote, A.P.; Benin, A.I.; Ockwig, N.W.; O’Keeffe, M.; Matzger, A.J.; Yaghi, O.M. Porous, crystalline, covalent organic frameworks. Science 2005, 310, 1166–1170. [Google Scholar] [CrossRef]
- Tao, S.S.; Jiang, D.L. Covalent Organic Frameworks for Energy Conversions: Current Status, Challenges, and Perspectives. CCS Chem. 2021, 3, 2003–2024. [Google Scholar] [CrossRef]
- Wang, H.; Zeng, Z.; Xu, P.; Li, L.; Zeng, G.; Xiao, R.; Tang, Z.; Huang, D.; Tang, L.; Lai, C.; et al. Recent progress in covalent organic framework thin films: Fabrications, applications and perspectives. Chem. Soc. Rev. 2019, 48, 488–516. [Google Scholar] [CrossRef] [PubMed]
- Xu, F.; Jin, S.; Zhong, H.; Wu, D.; Yang, X.; Chen, X.; Wei, H.; Fu, R.; Jiang, D. Electrochemically active, crystalline, mesoporous covalent organic frameworks on carbon nanotubes for synergistic lithium-ion battery energy storage. Sci. Rep.-UK 2015, 5, 8225. [Google Scholar] [CrossRef]
- Haldar, S.; Schneemann, A.; Kaskel, S. Covalent Organic Frameworks as Model Materials for Fundamental and Mechanistic Understanding of Organic Battery Design Principles. J. Am. Chem. Soc. 2023, 145, 13494–13513. [Google Scholar] [CrossRef]
- Wei, S.; Wang, J.; Li, Y.; Fang, Z.; Wang, L.; Xu, Y. Recent progress in COF-based electrode materials for rechargeable metal-ion batteries. Nano Res. 2023, 16, 6753–6770. [Google Scholar] [CrossRef]
- Sun, J.L.; Xu, Y.F.; Lv, Y.Q.; Zhang, Q.C.; Zhou, X.S. Recent Advances in Covalent Organic Framework Electrode Materials for Alkali Metal-Ion Batteries. CCS Chem. 2023, 5, 1259–1276. [Google Scholar] [CrossRef]
- Zhong, M.; Liu, M.; Li, N.; Bu, X.H. Recent advances and perspectives of metal/covalent-organic frameworks in metal-air batteries. J. Energy Chem. 2021, 63, 113–129. [Google Scholar] [CrossRef]
- Sang, P.; Chen, Q.; Wang, D.Y.; Guo, W.; Fu, Y. Organosulfur Materials for Rechargeable Batteries: Structure, Mechanism, and Application. Chem. Rev. 2023, 123, 1262–1326. [Google Scholar] [CrossRef]
- Kong, L.; Liu, M.; Huang, H.; Xu, Y.; Bu, X.H. Metal/Covalent-Organic Framework Based Cathodes for Metal-Ion Batteries. Adv. Energy Mater. 2021, 12, 2100172. [Google Scholar] [CrossRef]
- Amoretti, M.; Amsler, C.; Bonomi, G.; Bouchta, A.; Bowe, P.; Carraro, C.; Cesar, C.L.; Charlton, M.; Collier, M.J.; Doser, M.; et al. Production and detection of cold antihydrogen atoms. Nature 2002, 419, 456–459. [Google Scholar] [CrossRef] [PubMed]
- Yang, D.H.; Yao, Z.Q.; Wu, D.H.; Zhang, Y.H.; Zhou, Z.; Bu, X.H. Structure-modulated crystalline covalent organic frameworks as high-rate cathodes for Li-ion batteries. J. Mater. Chem. A 2016, 4, 18621–18627. [Google Scholar] [CrossRef]
- Vitaku, E.; Gannett, C.N.; Carpenter, K.L.; Shen, L.; Abruna, H.D.; Dichtel, W.R. Phenazine-Based Covalent Organic Framework Cathode Materials with High Energy and Power Densities. J. Am. Chem. Soc. 2020, 142, 16–20. [Google Scholar] [CrossRef]
- Yao, L.; Ma, C.; Sun, L.; Zhang, D.; Chen, Y.; Jin, E.; Song, X.; Liang, Z.; Wang, K.X. Highly Crystalline Polyimide Covalent Organic Framework as Dual-Active-Center Cathode for High-Performance Lithium-Ion Batteries. J. Am. Chem. Soc. 2022, 144, 23534–23542. [Google Scholar] [CrossRef] [PubMed]
- Wang, Z.; Li, Y.; Liu, P.; Qi, Q.; Zhang, F.; Lu, G.; Zhao, X.; Huang, X. Few layer covalent organic frameworks with graphene sheets as cathode materials for lithium-ion batteries. Nanoscale 2019, 11, 5330–5335. [Google Scholar] [CrossRef] [PubMed]
- Shehab, M.K.; Weeraratne, K.S.; Huang, T.; Lao, K.U.; El-Kaderi, H.M. Exceptional Sodium-Ion Storage by an Aza-Covalent Organic Framework for High Energy and Power Density Sodium-Ion Batteries. ACS Appl. Mater. Interfaces 2021, 13, 15083–15091. [Google Scholar] [CrossRef] [PubMed]
- Li, S.W.; Liu, Y.Z.; Dai, L.; Li, S.; Wang, B.; Xie, J.; Li, P.F. A stable covalent organic framework cathode enables ultra-long cycle life for alkali and multivalent metal rechargeable batteries. Energy Storage Mater. 2022, 48, 439–446. [Google Scholar] [CrossRef]
- Li, X.L.; Wang, H.X.; Chen, H.; Zheng, Q.; Zhang, Q.B.; Mao, H.Y.; Liu, Y.W.; Cai, S.L.; Sun, B.; Dun, C.C.; et al. Dynamic Covalent Synthesis of Crystalline Porous Graphitic Frameworks. Chem 2020, 6, 933–944. [Google Scholar] [CrossRef]
- Sun, R.; Hou, S.; Luo, C.; Ji, X.; Wang, L.; Mai, L.; Wang, C. A Covalent Organic Framework for Fast-Charge and Durable Rechargeable Mg Storage. Nano Lett. 2020, 20, 3880–3888. [Google Scholar] [CrossRef]
- Wu, C.G.; Hu, M.J.; Yan, X.R.; Shan, G.C.; Liu, J.Z.; Yang, J. Azo-linked covalent triazine-based framework as organic cathodes for ultrastable capacitor-type lithium-ion batteries. Energy Storage Mater. 2021, 36, 347–354. [Google Scholar] [CrossRef]
- Singh, V.; Kim, J.; Kang, B.; Moon, J.; Kim, S.; Kim, W.Y.; Byon, H.R. Thiazole-Linked Covalent Organic Framework Promoting Fast Two-Electron Transfer for Lithium-Organic Batteries. Adv. Energy Mater. 2021, 11, 2003735. [Google Scholar] [CrossRef]
- Gu, S.; Hao, R.; Chen, J.J.; Chen, X.; Liu, K.; Hussain, I.; Liu, G.Y.; Wang, Z.Q.; Gan, Q.M.; Guo, H.; et al. A star-shaped polyimide covalent organic framework for high-voltage lithium-ion batteries. Mater. Chem. Front. 2022, 6, 2545–2550. [Google Scholar] [CrossRef]
- Wang, S.; Wang, Q.; Shao, P.; Han, Y.; Gao, X.; Ma, L.; Yuan, S.; Ma, X.; Zhou, J.; Feng, X.; et al. Exfoliation of Covalent Organic Frameworks into Few-Layer Redox-Active Nanosheets as Cathode Materials for Lithium-Ion Batteries. J. Am. Chem. Soc. 2017, 139, 4258–4261. [Google Scholar] [CrossRef]
- Peng, H.; Huang, S.; Montes-Garcia, V.; Pakulski, D.; Guo, H.; Richard, F.; Zhuang, X.; Samori, P.; Ciesielski, A. Supramolecular Engineering of Cathode Materials for Aqueous Zinc-ion Energy Storage Devices: Novel Benzothiadiazole Functionalized Two-Dimensional Olefin-Linked COFs. Angew. Chem. Int. Ed. 2023, 62, e202216136. [Google Scholar] [CrossRef] [PubMed]
- Wu, M.M.; Zhao, Y.; Zhao, R.Q.; Zhu, J.; Liu, J.; Zhang, Y.M.; Li, C.X.; Ma, Y.F.; Zhang, H.T.; Chen, Y.S. Chemical Design for Both Molecular and Morphology Optimization toward High-Performance Lithium-Ion Batteries Cathode Material Based on Covalent Organic Framework. Adv. Funct. Mater. 2022, 32, 2107703. [Google Scholar] [CrossRef]
- Wang, H.G.; Wu, Q.; Cheng, L.Q.; Chen, L.; Li, M.F.; Zhu, G.S. Porphyrin- and phthalocyanine-based systems for rechargeable batteries. Energy Storage Mater. 2022, 52, 495–513. [Google Scholar] [CrossRef]
- Lu, Y.; Chen, J. Prospects of organic electrode materials for practical lithium batteries. Nat. Rev. Chem. 2020, 4, 127–142. [Google Scholar] [CrossRef]
- Kotal, M.; Jakhar, S.; Roy, S.; Sharma, H.K. Cathode materials for rechargeable lithium batteries: Recent progress and future prospects. J. Energy Storage 2022, 47, 26. [Google Scholar] [CrossRef]
- Liang, Y.L.; Tao, Z.L.; Chen, J. Organic Electrode Materials for Rechargeable Lithium Batteries. Adv. Energy Mater. 2012, 2, 742–769. [Google Scholar] [CrossRef]
- Xu, J.Y.; Xu, Y.F.; Lai, C.L.; Xia, T.T.; Zhang, B.N.; Zhou, X.S. Challenges and perspectives of covalent organic frameworks for advanced alkali-metal ion batteries. Sci. China Chem. 2021, 64, 1267–1282. [Google Scholar] [CrossRef]
- Bian, G.; Yin, J.; Zhu, J. Recent Advances on Conductive 2D Covalent Organic Frameworks. Small 2021, 17, e2006043. [Google Scholar] [CrossRef] [PubMed]
- Qian, C.; Wang, R.; Yu, F.; Liu, H.; Guo, C.; Sun, K.; Li, J.; Bao, W. Conductive Covalent Organic Frameworks Meet Micro-Electrical Energy Storage: Mechanism, Synthesis and Applications&mdash—A Review. Crystals 2022, 12, 1405. [Google Scholar]
- Wu, M.M.; Zhao, Y.; Sun, B.Q.; Sun, Z.H.; Li, C.X.; Han, Y.; Xu, L.Q.; Ge, Z.; Ren, Y.X.; Zhang, M.T.; et al. A 2D covalent organic framework as a high-performance cathode material for lithium-ion batteries. Nano Energy 2020, 70, 104498. [Google Scholar] [CrossRef]
- Shea, J.J.; Luo, C. Organic Electrode Materials for Metal Ion Batteries. ACS Appl. Mater. Interfaces 2020, 12, 5361–5380. [Google Scholar] [CrossRef] [PubMed]
- Zhao, Q.; Lu, Y.; Chen, J. Advanced Organic Electrode Materials for Rechargeable Sodium-Ion Batteries. Adv. Energy Mater. 2017, 7, 22. [Google Scholar] [CrossRef]
- Li, L.H.; Yang, H.H.; Wang, X.; Ma, Y.H.; Ou, W.Z.; Peng, H.; Ma, G.F. An anthraquinone-based covalent organic framework for highly reversible aqueous zinc-ion battery cathodes. J. Mater. Chem. A 2023, 11, 26221–26229. [Google Scholar] [CrossRef]
- Liang, Y.L.; Zhang, P.; Yang, S.Q.; Tao, Z.L.; Chen, J. Fused Heteroaromatic Organic Compounds for High-Power Electrodes of Rechargeable Lithium Batteries. Adv. Energy Mater. 2013, 3, 600–605. [Google Scholar] [CrossRef]
- Wu, S.; Wang, W.; Li, M.; Cao, L.; Lyu, F.; Yang, M.; Wang, Z.; Shi, Y.; Nan, B.; Yu, S.; et al. Highly durable organic electrode for sodium-ion batteries via a stabilized alpha-C radical intermediate. Nat. Commun. 2016, 7, 13318. [Google Scholar] [CrossRef]
- Williams, D.L.; Byrne, J.J.; Driscoll, J.S. A High Energy Density Lithium/Dichloroisocyanuric Acid Battery System. J. Electrochem. Soc. 1969, 116, 2. [Google Scholar] [CrossRef]
- Ma, D.; Zhao, H.; Cao, F.; Zhao, H.; Li, J.; Wang, L.; Liu, K. A carbonyl-rich covalent organic framework as a high-performance cathode material for aqueous rechargeable zinc-ion batteries. Chem. Sci. 2022, 13, 2385–2390. [Google Scholar] [CrossRef]
- Xu, S.; Sun, M.; Wang, Q.; Wang, C. Recent progress in organic electrodes for zinc-ion batteries. J. Semicond. 2020, 41, 091704. [Google Scholar] [CrossRef]
- Minakshi, M. Examining manganese dioxide electrode in KOH electrolyte using TEM technique. J. Electroanal. Chem. 2008, 616, 99–106. [Google Scholar] [CrossRef]
- Xu, X.; Zhang, S.; Xu, K.; Chen, H.; Fan, X.; Huang, N. Janus Dione-Based Conjugated Covalent Organic Frameworks with High Conductivity as Superior Cathode Materials. J. Am. Chem. Soc. 2023, 145, 1022–1030. [Google Scholar] [CrossRef] [PubMed]
- Gu, S.; Wu, S.; Cao, L.; Li, M.; Qin, N.; Zhu, J.; Wang, Z.; Li, Y.; Li, Z.; Chen, J.; et al. Tunable Redox Chemistry and Stability of Radical Intermediates in 2D Covalent Organic Frameworks for High Performance Sodium Ion Batteries. J. Am. Chem. Soc. 2019, 141, 9623–9628. [Google Scholar] [CrossRef] [PubMed]
- Duan, J.; Wang, W.T.; Zou, D.G.; Liu, J.; Li, N.; Weng, J.Y.; Xu, L.P.; Guan, Y.; Zhang, Y.J.; Zhou, P.F. Construction of a Few-Layered COF@CNT Composite as an Ultrahigh Rate Cathode for Low-Cost K-Ion Batteries. ACS Appl. Mater. Interfaces 2022, 14, 31234–31244. [Google Scholar] [CrossRef] [PubMed]
- Liu, Y.; Lu, Y.; Hossain Khan, A.; Wang, G.; Wang, Y.; Morag, A.; Wang, Z.; Chen, G.; Huang, S.; Chandrasekhar, N.; et al. Redox-Bipolar Polyimide Two-Dimensional Covalent Organic Framework Cathodes for Durable Aluminium Batteries. Angew. Chem. Int. Ed. 2023, 62, e202306091. [Google Scholar] [CrossRef]
- Wang, G.; Chandrasekhar, N.; Biswal, B.P.; Becker, D.; Paasch, S.; Brunner, E.; Addicoat, M.; Yu, M.; Berger, R.; Feng, X. A Crystalline, 2D Polyarylimide Cathode for Ultrastable and Ultrafast Li Storage. Adv. Mater. 2019, 31, e1901478. [Google Scholar] [CrossRef]
- Song, Z.; Zhan, H.; Zhou, Y. Polyimides: Promising energy-storage materials. Angew. Chem. Int. Ed. 2010, 49, 8444–8448. [Google Scholar] [CrossRef]
- Cusin, L.; Peng, H.; Ciesielski, A.; Samori, P. Chemical Conversion and Locking of the Imine Linkage: Enhancing the Functionality of Covalent Organic Frameworks. Angew. Chem. Int. Ed. 2021, 60, 14236–14250. [Google Scholar] [CrossRef]
- Luo, D.; Zhang, J.; Zhao, H.; Xu, H.; Dong, X.; Wu, L.; Ding, B.; Dou, H.; Zhang, X. Rational design of covalent organic frameworks with high capacity and stability as a lithium-ion battery cathode. Chem. Commun. 2023, 59, 6853–6856. [Google Scholar] [CrossRef] [PubMed]
- Shehab, M.K.; Weeraratne, K.S.; El-Kadri, O.M.; Yadavalli, V.K.; El-Kaderi, H.M. Templated Synthesis of 2D Polyimide Covalent Organic Framework for Rechargeable Sodium-Ion Batteries. Macromol. Rapid Commun. 2023, 44, e2200782. [Google Scholar] [CrossRef] [PubMed]
- An, Y.K.; Tan, S.S.; Liu, Y.; Zhu, K.; Hu, L.; Rong, Y.G.; An, Q.Y. Designs and applications of multi-functional covalent organic frameworks in rechargeable batteries. Energy Storage Mater. 2021, 41, 354–379. [Google Scholar] [CrossRef]
- Mighani, H. Schiff Base polymers: Synthesis and characterization. J. Polym. Res. 2020, 27, 168. [Google Scholar] [CrossRef]
- Hong, J.; Lee, M.; Lee, B.; Seo, D.H.; Park, C.B.; Kang, K. Biologically inspired pteridine redox centres for rechargeable batteries. Nat. Commun. 2014, 5, 5335. [Google Scholar] [CrossRef] [PubMed]
- López-Herraiz, M.; Castillo-Martínez, E.; Carretero-González, J.; Carrasco, J.; Rojo, T.; Armand, M. Oligomeric-Schiff bases as negative electrodes for sodium ion batteries: Unveiling the nature of their active redox centers. Energy Environ. Sci. 2015, 8, 3233–3241. [Google Scholar] [CrossRef]
- Chen, Y.Q.; Manzhos, S. Lithium and sodium storage on tetracyanoethylene (TCNE) and TCNE-(doped)-graphene complexes: A computational study. Mater. Chem. Phys. 2015, 156, 180–187. [Google Scholar] [CrossRef]
- Chen, Y.; Manzhos, S. A comparative computational study of lithium and sodium insertion into van der Waals and covalent tetracyanoethylene (TCNE)-based crystals as promising materials for organic lithium and sodium ion batteries. Phys. Chem. Chem. Phys. 2016, 18, 8874–8880. [Google Scholar] [CrossRef]
- Lei, Z.; Yang, Q.; Xu, Y.; Guo, S.; Sun, W.; Liu, H.; Lv, L.P.; Zhang, Y.; Wang, Y. Boosting lithium storage in covalent organic framework via activation of 14-electron redox chemistry. Nat. Commun. 2018, 9, 576. [Google Scholar] [CrossRef]
- Wu, Z.Z.; Liu, Q.R.; Yang, P.; Chen, H.; Zhang, Q.C.; Li, S.; Tang, Y.B.; Zhang, S.Q. Molecular and Morphological Engineering of Organic Electrode Materials for Electrochemical Energy Storage. Electrochem. Energy Rev. 2022, 5, 26. [Google Scholar] [CrossRef]
- Peng, C.X.; Ning, G.H.; Su, J.; Zhong, G.M.; Tang, W.; Tian, B.B.; Su, C.L.; Yu, D.Y.; Zu, L.H.; Yang, J.H.; et al. Reversible multi-electron redox chemistry of π-conjugated N-containing heteroaromatic molecule-based organic cathodes. Nat. Energy 2017, 2, 17074. [Google Scholar] [CrossRef]
- Xu, S.; Wang, G.; Biswal, B.P.; Addicoat, M.; Paasch, S.; Sheng, W.; Zhuang, X.; Brunner, E.; Heine, T.; Berger, R.; et al. A Nitrogen-Rich 2D sp(2) -Carbon-Linked Conjugated Polymer Framework as a High-Performance Cathode for Lithium-Ion Batteries. Angew. Chem. Int. Ed. 2019, 58, 849–853. [Google Scholar] [CrossRef] [PubMed]
- Wang, W.; Kale, V.S.; Cao, Z.; Lei, Y.; Kandambeth, S.; Zou, G.; Zhu, Y.; Abouhamad, E.; Shekhah, O.; Cavallo, L.; et al. Molecular Engineering of Covalent Organic Framework Cathodes for Enhanced Zinc-Ion Batteries. Adv. Mater. 2021, 33, e2103617. [Google Scholar] [CrossRef]
- Yang, X.; Gong, L.; Liu, X.; Zhang, P.; Li, B.; Qi, D.; Wang, K.; He, F.; Jiang, J. Mesoporous Polyimide-Linked Covalent Organic Framework with Multiple Redox-Active Sites for High-Performance Cathodic Li Storage. Angew. Chem. Int. Ed. 2022, 61, e202207043. [Google Scholar] [CrossRef]
- Huang, H.; Wang, K.Y. Conductive metal-covalent organic frameworks as novel catalytic platforms for reduction of nitrate to ammonia. Green. Chem. 2023, 25, 9167–9174. [Google Scholar] [CrossRef]
- Liu, X.; Jin, Y.; Wang, H.; Yang, X.; Zhang, P.; Wang, K.; Jiang, J. In Situ Growth of Covalent Organic Framework Nanosheets on Graphene as the Cathode for Long-Life High-Capacity Lithium-Ion Batteries. Adv. Mater. 2022, 34, e2203605. [Google Scholar] [CrossRef]
- Chu, J.; Cheng, L.; Chen, L.; Wang, H.-g.; Cui, F.; Zhu, G. Integrating multiple redox-active sites and universal electrode-active features into covalent triazine frameworks for organic alkali metal-ion batteries. Chem. Eng. J. 2023, 451, 139016. [Google Scholar] [CrossRef]
- Wang, Y.Y.; Wang, X.L.; Tang, J.; Tang, W.H. A quinoxalinophenazinedione covalent triazine framework for boosted high-performance aqueous zinc-ion batteries. J. Mater. Chem. A 2022, 10, 13868–13875. [Google Scholar] [CrossRef]
- Wang, T.; Gaugler, J.A., 2nd; Li, M.; Thapaliya, B.P.; Fan, J.; Qiu, L.; Moitra, D.; Kobayashi, T.; Popovs, I.; Yang, Z.; et al. Construction of Fluorine- and Piperazine-Engineered Covalent Triazine Frameworks Towards Enhanced Dual-Ion Positive Electrode Performance. ChemSusChem 2023, 16, e202201219. [Google Scholar] [CrossRef]
- Kim, J.; Kim, Y.; Yoo, J.; Kwon, G.; Ko, Y.; Kang, K. Organic batteries for a greener rechargeable world. Nat. Rev. Mater. 2023, 8, 54–70. [Google Scholar] [CrossRef]
- Guo, W.; Yin, Y.X.; Xin, S.; Guo, Y.G.; Wan, L.J. Superior radical polymer cathode material with a two-electron process redox reaction promoted by graphene. Energy Environ. Sci. 2012, 5, 5221–5225. [Google Scholar] [CrossRef]
- Shi, J.; Tang, W.; Xiong, B.; Gao, F.; Lu, Q. Molecular design and post-synthetic vulcanization on two-dimensional covalent organic framework@rGO hybrids towards high-performance sodium-ion battery cathode. Chem. Eng. J. 2023, 453, 10. [Google Scholar] [CrossRef]
- Zhang, Y.; Guo, X.; Yang, Q.; Shao, Y.; Du, Y.; Qi, J.; Zhao, M.; Shang, Z.; Hao, Y.; Tang, Y.; et al. Chemical and spatial dual-confinement engineering for stable Na-S batteries with approximately 100% capacity retention. Proc. Natl. Acad. Sci. USA 2023, 120, e2314408120. [Google Scholar] [CrossRef]
- Zhang, L.; Zhang, X.; Han, D.; Zhai, L.; Mi, L. Recent Progress in Design Principles of Covalent Organic Frameworks for Rechargeable Metal-Ion Batteries. Small Methods 2023, 7, 2300687. [Google Scholar] [CrossRef] [PubMed]
- Zhang, W.; Chen, L.; Dai, S.; Zhao, C.; Ma, C.; Wei, L.; Zhu, M.; Chong, S.Y.; Yang, H.; Liu, L.; et al. Reconstructed covalent organic frameworks. Nature 2022, 604, 72–79. [Google Scholar] [CrossRef] [PubMed]
- Ghafari, A.; Yeklangi, A.G.; Sima, F.A.; Akbari, S. Industrial-scale synthesis and application of covalent organic frameworks in lithium battery technology. J. Appl. Electrochem. 2024, 54, 215–243. [Google Scholar] [CrossRef]
- Zhuang, Z.; Shi, H.; Kang, J.; Liu, D. An overview on covalent organic frameworks: Synthetic reactions and miscellaneous applications. Mater. Today Chem. 2021, 22, 100573. [Google Scholar] [CrossRef]
- Abuzeid, H.R.; El-Mahdy, A.F.M.; Kuo, S.-W. Covalent organic frameworks: Design principles, synthetic strategies, and diverse applications. Giant 2021, 6, 100054. [Google Scholar] [CrossRef]
- Geng, K.; He, T.; Liu, R.; Dalapati, S.; Tan, K.T.; Li, Z.; Tao, S.; Gong, Y.; Jiang, Q.; Jiang, D. Covalent Organic Frameworks: Design, Synthesis, and Functions. Chem. Rev. 2020, 120, 8814–8933. [Google Scholar] [CrossRef]
- Xiao, L.; Qi, L.; Sun, J.; Husile, A.; Zhang, S.; Wang, Z.; Guan, J. Structural regulation of covalent organic frameworks for advanced electrocatalysis. Nano Energy 2024, 120, 109155. [Google Scholar] [CrossRef]
- Ahmed, I.; Jhung, S.H. Covalent organic framework-based materials: Synthesis, modification, and application in environmental remediation. Coord. Chem. Rev. 2021, 441, 213989. [Google Scholar] [CrossRef]
- Naberezhnyi, D.; Park, S.; Li, W.; Westphal, M.; Feng, X.; Dong, R.; Dementyev, P. Mass Transfer in Boronate Ester 2D COF Single Crystals. Small 2021, 17, 2104392. [Google Scholar] [CrossRef]
- Shanavaz, H.; Kannanugu, N.; Kasai, D.; Kumar, K.Y.; Raghu, M.S.; Prashanth, M.K.; Khan, M.A.; Jeon, B.-H.; Linul, E. Covalent organic frameworks as promising materials: Review on synthetic strategies, topology and application towards supercapacitors. J. Energy Storage 2023, 71, 108006. [Google Scholar] [CrossRef]
- Xiong, S.; Wang, Y.; Wang, X.; Chu, J.; Zhang, R.; Gong, M.; Wu, B.; Li, Z. Schiff base type conjugated organic framework nanofibers: Solvothermal synthesis and electrochromic properties. Sol. Energy Mater. Sol. Cells 2020, 209, 110438. [Google Scholar] [CrossRef]
- Segura, J.L.; Mancheño, M.J.; Zamora, F. Covalent organic frameworks based on Schiff-base chemistry: Synthesis, properties and potential applications. Chem. Soc. Rev. 2016, 45, 5635–5671. [Google Scholar] [CrossRef] [PubMed]
- Sun, J.; Xu, Y.; Li, A.; Tian, R.; Fei, Y.; Chen, B.; Zhou, X. Schiff-Base Covalent Organic Framework/Carbon Nanotubes Composite for Advanced Potassium-Ion Batteries. ACS Appl. Nano Mater. 2022, 5, 15592–15599. [Google Scholar] [CrossRef]
- Wang, Y.; Kang, C.; Zhang, Z.; Usadi, A.K.; Calabro, D.C.; Baugh, L.S.; Yuan, Y.D.; Zhao, D. Evaluation of Schiff-Base Covalent Organic Frameworks for CO2 Capture: Structure–Performance Relationships, Stability, and Performance under Wet Conditions. ACS Sustain. Chem. Eng. 2022, 10, 332–341. [Google Scholar] [CrossRef]
- Zhang, L.; Bu, R.; Liu, X.-Y.; Mu, P.-F.; Gao, E.-Q. Schiff-base molecules and COFs as metal-free catalysts or silver supports for carboxylation of alkynes with CO2. Green. Chem. 2021, 23, 7620–7629. [Google Scholar] [CrossRef]
- Yang, H.-C.; Chen, Y.-Y.; Suen, S.-Y.; Lee, R.-H. Triazine-based covalent organic framework/carbon nanotube fiber nanocomposites for high-performance supercapacitor electrodes. Polymer 2023, 273, 125853. [Google Scholar] [CrossRef]
- Chen, H.; Gardner, A.M.; Lin, G.; Zhao, W.; Wang, X.; Bahri, M.; Browning, N.D.; Xu, X.; Li, X. Triazine-Based Covalent Organic Framework for Photocatalytic Water Oxidation: The Role of Bipyridine Ligand and Cobalt Coordination. J. Phys. Chem. C 2023, 127, 14137–14145. [Google Scholar] [CrossRef]
- Wang, H.; Yang, C.; Chen, F.; Zheng, G.; Han, Q. A Crystalline Partially Fluorinated Triazine Covalent Organic Framework for Efficient Photosynthesis of Hydrogen Peroxide. Angew. Chem. Int. Ed. 2022, 61, e202202328. [Google Scholar] [CrossRef]
- Yang, Y.; Niu, H.; Xu, L.; Zhang, H.; Cai, Y. Triazine functionalized fully conjugated covalent organic framework for efficient photocatalysis. Appl. Catal. B Environ. 2020, 269, 118799. [Google Scholar] [CrossRef]
- Kuhn, P.; Antonietti, M.; Thomas, A. Porous, Covalent Triazine-Based Frameworks Prepared by Ionothermal Synthesis. Angew. Chem. Int. Ed. 2008, 47, 3450–3453. [Google Scholar] [CrossRef]
- Shi, R.; Liu, L.; Lu, Y.; Wang, C.; Li, Y.; Li, L.; Yan, Z.; Chen, J. Nitrogen-rich covalent organic frameworks with multiple carbonyls for high-performance sodium batteries. Nat. Commun. 2020, 11, 178. [Google Scholar] [CrossRef] [PubMed]
- Yan, X.; Wang, F.; Su, X.; Ren, J.; Qi, M.; Bao, P.; Chen, W.; Peng, C.; Chen, L. A Redox-Active Covalent Organic Framework with Highly Accessible Aniline-Fused Quinonoid Units Affords Efficient Proton Charge Storage. Adv. Mater. 2023, 35, e2305037. [Google Scholar] [CrossRef] [PubMed]
- Xu, Y.; Cai, P.; Chen, K.; Chen, Q.; Wen, Z.; Chen, L. Hybrid Acid/alkali All Covalent Organic Frameworks Battery. Angew. Chem. Int. Ed. 2023, 62, e202215584. [Google Scholar] [CrossRef]
- Wang, M.; Wang, G.; Naisa, C.; Fu, Y.; Gali, S.M.; Paasch, S.; Wang, M.; Wittkaemper, H.; Papp, C.; Brunner, E.; et al. Poly(benzimidazobenzophenanthroline)-Ladder-Type Two-Dimensional Conjugated Covalent Organic Framework for Fast Proton Storage. Angew. Chem. Int. Ed. 2023, 62, e202310937. [Google Scholar] [CrossRef]
- Ren, G.; Cai, F.; Wang, S.; Luo, Z.; Yuan, Z. Iodine doping induced activation of covalent organic framework cathodes for Li-ion batteries. RSC Adv. 2023, 13, 18983–18990. [Google Scholar] [CrossRef]
- Zheng, S.; Shi, D.; Yan, D.; Wang, Q.; Sun, T.; Ma, T.; Li, L.; He, D.; Tao, Z.; Chen, J. Orthoquinone-Based Covalent Organic Frameworks with Ordered Channel Structures for Ultrahigh Performance Aqueous Zinc-Organic Batteries. Angew. Chem. Int. Ed. 2022, 61, e202117511. [Google Scholar] [CrossRef]
- Yao, C.J.; Wu, Z.Z.; Xie, J.; Yu, F.; Guo, W.; Xu, Z.C.J.; Li, D.S.; Zhang, S.Q.; Zhang, Q.C. Two-Dimensional (2D) Covalent Organic Framework as Efficient Cathode for Binder-free Lithium-Ion Battery. ChemSusChem 2020, 13, 2457–2463. [Google Scholar] [CrossRef]
- Kushwaha, R.; Jain, C.; Shekhar, P.; Rase, D.; Illathvalappil, R.; Mekan, D.; Camellus, A.; Vinod, C.P.; Vaidhyanathan, R. Made to Measure Squaramide COF Cathode for Zinc Dual-Ion Battery with Enriched Storage via Redox Electrolyte. Adv. Energy Mater. 2023, 13, 13. [Google Scholar] [CrossRef]
- Khayum, M.A.; Ghosh, M.; Vijayakumar, V.; Halder, A.; Nurhuda, M.; Kumar, S.; Addicoat, M.; Kurungot, S.; Banerjee, R. Zinc ion interactions in a two-dimensional covalent organic framework based aqueous zinc ion battery. Chem. Sci. 2019, 10, 8889–8894. [Google Scholar] [CrossRef]
- Luo, Z.; Liu, L.; Ning, J.; Lei, K.; Lu, Y.; Li, F.; Chen, J. A Microporous Covalent-Organic Framework with Abundant Accessible Carbonyl Groups for Lithium-Ion Batteries. Angew. Chem. Int. Ed. 2018, 57, 9443–9446. [Google Scholar] [CrossRef]
- Gui, H.D.; Xu, F. Covalent organic framework cathodes for rechargeable Mg batteries. Mater. Lett. 2023, 346, 134549. [Google Scholar] [CrossRef]
- Jhulki, S.; Feriante, C.H.; Mysyk, R.; Evans, A.M.; Magasinski, A.; Raman, A.S.; Turcheniuk, K.; Barlow, S.; Dichtel, W.R.; Yushin, G.; et al. A Naphthalene Diimide Covalent Organic Framework: Comparison of Cathode Performance in Lithium-Ion Batteries with Amorphous Cross-linked and Linear Analogues, and Its Use in Aqueous Lithium-Ion Batteries. Acs Appl. Energ. Mater. 2021, 4, 350–356. [Google Scholar] [CrossRef]
- Zhou, E.B.; Zhang, X.; Zhu, L.; Yuan, D.Q.; Wang, Y.B. A Solar Responsive Battery Based on Charge Separation and Redox Coupled Covalent Organic Framework. Adv. Funct. Mater. 2023, 33, 2213667. [Google Scholar] [CrossRef]
- Zhang, Y.; Wei, C.; Wu, M.-X.; Wang, Y.; Jiang, H.; Zhou, G.; Tang, X.; Liu, X. A high-performance COF-based aqueous zinc-bromine battery. Chem. Eng. J. 2023, 451, 10. [Google Scholar] [CrossRef]
- Bai, L.Y.; Gao, Q.; Zhao, Y.L. Two fully conjugated covalent organic frameworks as anode materials for lithium ion batteries. J. Mater. Chem. A 2016, 4, 14106–14110. [Google Scholar] [CrossRef]
- Jia, C.; Duan, A.; Liu, C.; Wang, W.Z.; Gan, S.X.; Qi, Q.Y.; Li, Y.; Huang, X.; Zhao, X. One-Dimensional Covalent Organic Framework as High-Performance Cathode Materials for Lithium-Ion Batteries. Small 2023, 19, e2300518. [Google Scholar] [CrossRef] [PubMed]
- Wang, X.J.; Dong, H.; Lakraychi, A.E.; Zhang, Y.; Yang, X.; Zheng, H.Z.; Han, X.P.; Shan, X.N.; He, C.X.; Yao, Y. Electrochemical swelling induced high material utilization of porous polymers in magnesium electrolytes. Mater. Today 2022, 55, 29–36. [Google Scholar] [CrossRef]
- Lv, S.Y.; He, Q.M.; Zhang, Y.; Guo, J.Y.; Peng, X.L.; Du, Y.; Yang, H.S. High performance cathode materials for lithium-ion batteries based on a phenothiazine-based covalent triazine framework. New J. Chem. 2023, 47, 10911–10915. [Google Scholar] [CrossRef]









| Monomers | Name | Active Group | Specific Capacity (mAh·g−1) | Voltage Range (V) | Battery * | Specific Surface Area (m2·g−1) | Reference | |
|---|---|---|---|---|---|---|---|---|
| 1 | N4 + C22 | TQBQ-COF | Pyrazine, Quinones | 452 (0.02 A g−1) | 1.0–3.6 | SIB | 46 | [93] |
| 2 | N2 + C26 | TPAD-COF | Quinones, Imide | 126 (0.2 A g−1) | 0.0–0.9 | APB | 1080 | [94] |
| 3 | N2 + C2 | Tp-PTO-COF | Quinones | 301 (0.2 A g−1) | 0.4–1.5 | ZIB | 601 | [40] |
| 4 | N2 + C2 | 4KT-Tp COF | Quinones | 185 (0.5 A g−1) | 0.0–0.9 | ARB | 492 | [95] |
| 5 | N6 + C7 | TFPPer-ICTO-COF | Ketones | 303 (0.1 A g−1) | 0.05–3.0 | LIBs | 829 | [43] |
| 6 | N3 + C7 | TFPPy-ICTO-COF | Ketones | 338 (0.1 A g−1) | 0.05–3.0 | LIBs | 1039 | [43] |
| 7 | N7 + C11 | 2DBBL-TP | Ketones | 68 (1 A g−1) | 0.3–1.0 | ZIB | 355 | [96] |
| 8 | N1 + C11 | S@TAPT-COFs | Ketones, Thioketone | 109 (0.1 A g−1) | 1.5–3.2 | SIB | 102 | [71] |
| 9 | N11 + C16 | DAPH-TFP | Ketones | 81 (0.5 C) | 1.4–3.5 | LIB | 1155 | [13] |
| 10 | N11 + C4 | DAAQ-TFP | Quinones | 53 (0.5 C) | 1.4–3.6 | LIB | 1140 | [13] |
| 11 | N11 + C4 | COF-I | Quinones, Ketones | 140 (0.2 A g−1) | 2.5–3.2 | LIB | 1056 | [97] |
| 12 | N10 + C2 | BT-PTO COF | Quinones | 225 (0.1 A g−1) | 0.4–1.5 | ZMB | 32 | [98] |
| 13 | C13 | PPTODB | Quinones | 198 (0.02 A g−1) | 1.5–3.5 | LIB | - | [99] |
| 14 | N2 + C4 | DAAQ-ECOF | Quinones | 145 (0.02 A g−1) | 1.5–4 | LIB | 216 | [23] |
| 15 | N2 + C25 | DABQ-TFP-COF | Quinones | 210 (0.02 A g−1) | 1.5–4 | LIB | - | [23] |
| 16 | N9 + C10 | TEMPO-COF | Quinones, Nitroxyl Radical | 115 (0.032 A g−1) | 2.0–4.2 | LIB | - | [23] |
| 17 | N2 + C4 | TfDa-COF | Quinones | 96 (0.1 A g−1) | 0.2–1.5 | ZIB | 514 | [36] |
| 18 | N2 + C18 | IISERP-COF22 | Ketones | 690 (1.5 A g−1) | 0.2–1.6 | ZIB | 320 | [100] |
| 19 | N11 + C25 | HqTp COF | Ketones | 276 (0.125 A g−1) | 0.2–1.8 | ZIB | 113 | [101] |
| 20 | N11 + C4 | DAAQ-COF | Quinones | 157 (0.1 A g−1) | 0.8–2.8 | KIB | 644 | [45] |
| 21 | N5 + C6 | TP-TA COF | Imine, Nitrogen Radical | 207 (0.2 A g−1) | 1.2–4.3 | LIB | - | [25] |
| 22 | N12 + C4 | HATN-AQ-COF | Pyrazine, Quinones, Imide | 319 (0.179 A g−1) | 1.2–3.9 | LIB | 725 | [63] |
| 23 | N5 + C3 | TPDA-PMDA | Imine, Nitrogen radical | 233 (0.5 A g−1) | 1.2–4.3 | LIB | 2669 | [14] |
| 24 | C3 + C22 | PIBN-G | Quinones, Imide | 271 (0.1 C) | 1.5–3.5 | LIB | - | [102] |
| 25 | N2 + C5 | Tp-DANT-COF | Imide | 93 (0.2 A g−1) | 1.5–4.0 | LIB | 511 | [12] |
| 26 | N10 + C5 | Tb-DANT-COF | Imide | 144 (0.05 A g−1) | 1.5–4.0 | LIB | 376 | [12] |
| 27 | N1 + C11 | 2D-PAI | Imide | 104 (0.1 A g−1) | 1.5–3.5 | LIB | 768 | [47] |
| 28 | N9 + C3 | PI-COF-2 | Imide | 124 (0.014 A g−1) | 1.5–3.6 | LIB | 173 | [15] |
| 29 | N1 + C3 | COF-B | Imide | 57 (0.05 A g−1) | 0.25–2.75 | RMB | - | [103] |
| 30 | N1 + C11 | COF-N | Imide | 120 (0.05 A g−1) | 0.25–0.75 | RMB | - | [103] |
| 31 | N1 + C3 | PI-ECOF-1 | Imide | 142 (0.014 A g−1) | 1.5–3.5 | LIB | 223 | [15] |
| 32 | N4 + C5 | NTCDI-COF | Imide | 210 (0.1 A g−1) | 1.5–3.5 | LIB | 19 | [50] |
| 33 | N13 + C3 | PICOF-1 | Imide | 230 (0.023 A g−1) | 0.0–3.0 | SIB | 924 | [51] |
| 34 | N8 + C27 | TAPB-NDI COF | Imide | 59 (0.05 C) | 1.5–3.5 | LIB | 490 | [104] |
| 35 | N1 + C1 | TA-PT COF | Imide | 97 (0.1 A g−1) | 0.1–1.5 | ZIB | 102 | [105] |
| 36 | N11 + C21 | exCOF | Azo, Quinones | 220 (0.5 A g−1) | 1.5–1.65 | ZIB | - | [106] |
| 37 | N10 + C21 + S8 | AZO-1 | Azo, Imine | 120 (1 C) | 1.2–2.5 | LIB | 649 | [21] |
| 38 | N10 + C21 | AZO-2 | Azo, Imine | 63 (1 C) | 1.2–2.5 | LIB | 656 | [21] |
| 39 | N2 + C21 | AZO-3 | Azo, Imine, Quinones | 48 (1 C) | 1.0–3.0 | LIB | 1096 | [21] |
| 40 | N10 + C15 | N2-COF | Imine | 735 (1 A g−1) | 0.01–3.0 | LIB | 1496 | [107] |
| 41 | N13 + C20 | BFPPQ-COF | Imine, Quinones | 87.5 (0.2 C) | 1.7–3.3 | LIB | 296 | [108] |
| 42 | N4 + C8 | PGF-1 | Pyrazine, Quinones | 842 (0.1 A g−1) | 1.0–3.6 | LIB | 101 | [18] |
| 43 | N4 + C8 | HA-COF | Pyrazine | 195 (1.0 A g−1) | 0.2–1.6 | ZIB | 34 | [62] |
| 44 | N15 | PSHATN | Pyrazine | 196 (0.019 A g−1) | 0.5–2.8 | RMB | 268 | [109] |
| 45 | N4 + C8 | Aza-COF | Pyrazine | 550 (0.06 A g−1) | 0.01–3.0 | SIB | 240 | [16] |
| 46 | N14 + C14 | 2D CCP-HATN | Pyrazine | 117 (0.1 A g−1) | 1.2–3.9 | LIB | 317 | [61] |
| 47 | N4 + C22 | HAQ-COF | Pyrazine, Quinones | 344 (0.1 A g−1) | 0.2–1.6 | ZIB | 53 | [62] |
| 48 | N4 + C22 | BQ1-COF | Pyrazine, Quinones | 502 (0.038 A g−1) | 1.2–3.5 | LIB | 94.73 | [33] |
| 49 | C28 | CTF-TTPQ | Triazine, Pyrazine, Quinones | 404 (0.3 A g−1) | 0.1–1.4 | ZIB | 27 | [67] |
| 50 | C30 | CTF-A/B/C | Triazine | 279 (0.1 A g−1) | 1.0–4.5 | LIB | 2515 | [68] |
| 51 | C29 | CTF | Triazine | 130 (0.13 A g−1) | 0.75–2.5 | RMB | 428 | [19] |
| 52 | C19 | MPT-CTF | Triazine | 297 (0.4 A g−1) | 1.5–4.2 | LIB | 29 | [110] |
| 53 | N8 + N10 | N3-COF | Triazine, Imine | 731 (1 A g−1) | 0.01–3.0 | LIB | 1142 | [107] |
| 54 | N8 | Azo-CTF | Triazine, Azo | 205.6 (0.1 A g−1) | 1.2–3.0 | LIB | 317.4 | [20] |
Disclaimer/Publisher’s Note: The statements, opinions and data contained in all publications are solely those of the individual author(s) and contributor(s) and not of MDPI and/or the editor(s). MDPI and/or the editor(s) disclaim responsibility for any injury to people or property resulting from any ideas, methods, instructions or products referred to in the content. |
© 2024 by the authors. Licensee MDPI, Basel, Switzerland. This article is an open access article distributed under the terms and conditions of the Creative Commons Attribution (CC BY) license (https://creativecommons.org/licenses/by/4.0/).
Share and Cite
Wang, C.; Tian, Y.; Chen, W.; Lin, X.; Zou, J.; Fu, D.; Yu, X.; Qiu, R.; Qiu, J.; Zeng, S. Recent Progress in Covalent Organic Frameworks for Cathode Materials. Polymers 2024, 16, 687. https://doi.org/10.3390/polym16050687
Wang C, Tian Y, Chen W, Lin X, Zou J, Fu D, Yu X, Qiu R, Qiu J, Zeng S. Recent Progress in Covalent Organic Frameworks for Cathode Materials. Polymers. 2024; 16(5):687. https://doi.org/10.3390/polym16050687
Chicago/Turabian StyleWang, Chi, Yuchao Tian, Wuhong Chen, Xiaochun Lin, Jizhao Zou, Dongju Fu, Xiao Yu, Ruling Qiu, Junwei Qiu, and Shaozhong Zeng. 2024. "Recent Progress in Covalent Organic Frameworks for Cathode Materials" Polymers 16, no. 5: 687. https://doi.org/10.3390/polym16050687
APA StyleWang, C., Tian, Y., Chen, W., Lin, X., Zou, J., Fu, D., Yu, X., Qiu, R., Qiu, J., & Zeng, S. (2024). Recent Progress in Covalent Organic Frameworks for Cathode Materials. Polymers, 16(5), 687. https://doi.org/10.3390/polym16050687

