Synthesis and Properties of a Novel Levulinic Acid-Based Environmental Auxiliary Plasticizer for Poly(vinyl chloride)
Abstract
1. Introduction
2. Materials and Methods
2.1. Materials
2.2. Synthesis of Plasticizer
2.2.1. Synthesis of Tung-Oil-Based Diethanolamine
2.2.2. Synthesis of Ketalized Tung Oil Butyl Levulinate
2.3. Preparation of PVC Films
2.4. Characterizations and Measurements
3. Results and Discussion
3.1. Synthesis and Characterization of Plasticizers
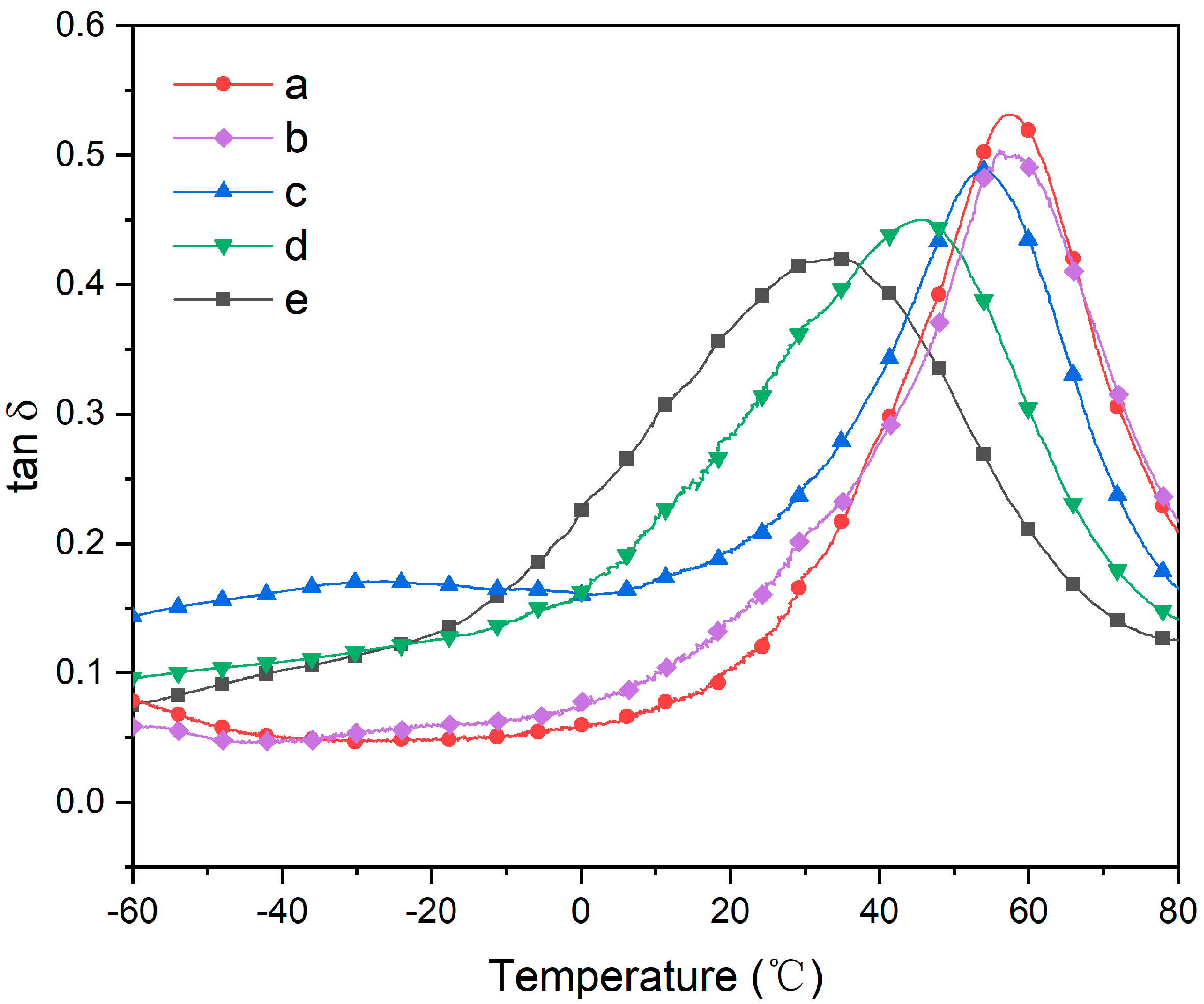
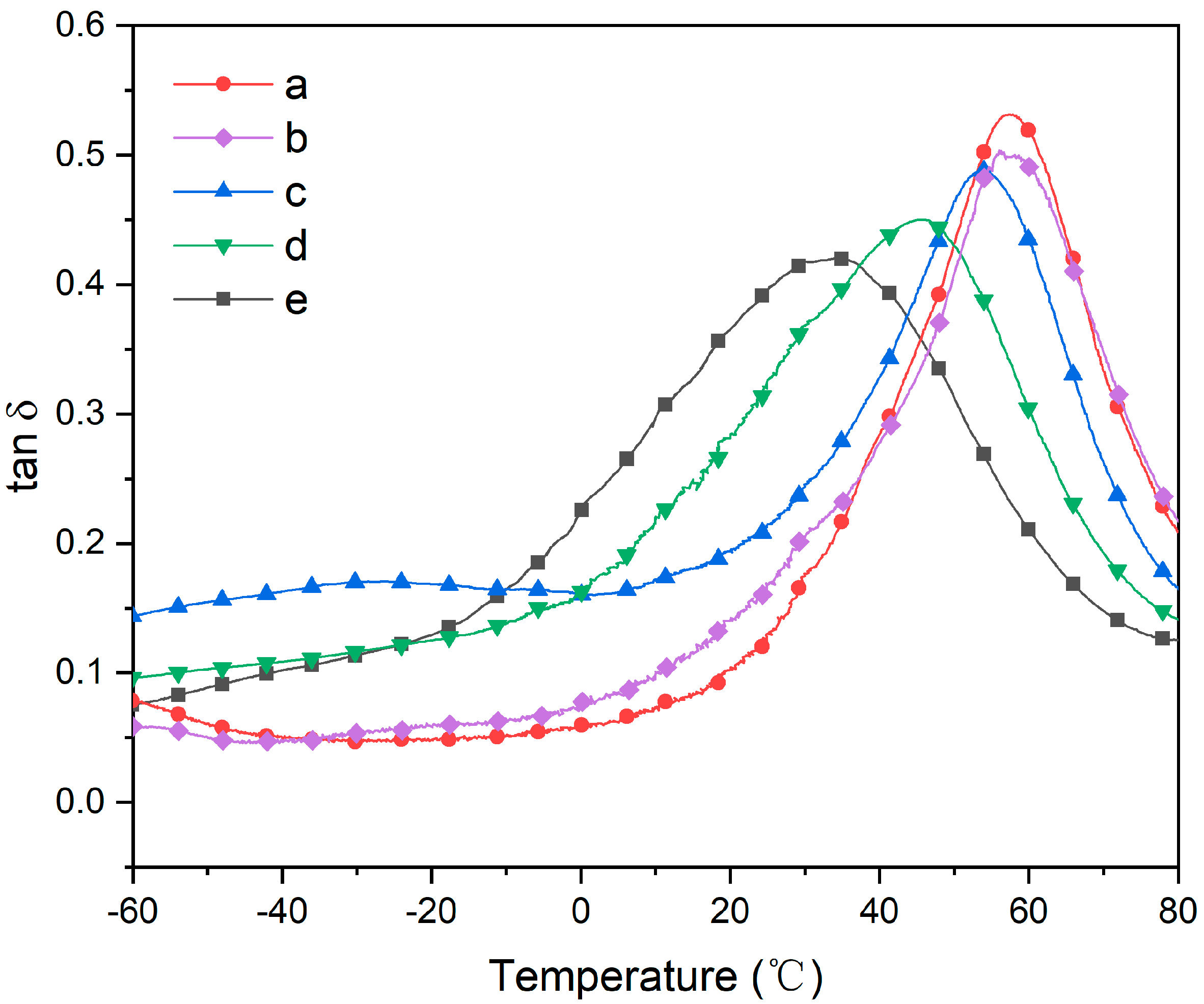
3.2. Dynamic Thermomechanical Analysis of PVC Samples
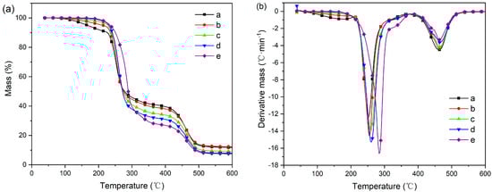
3.3. Thermogravimetric Analysis of PVC Samples
3.4. Tensile Properties of PVC Samples
3.5. Durability Analysis of PVC Samples
4. Conclusions
Author Contributions
Funding
Data Availability Statement
Acknowledgments
Conflicts of Interest
References
- Ali, M.; Lu, Y.; Ahmed, S.; Khanal, S.; Xu, S. Effect of Modified Cardanol as Secondary Plasticizer on Thermal and Mechanical Properties of Soft Polyvinyl Chloride. ACS Omega 2020, 5, 17111–17117. [Google Scholar] [CrossRef] [PubMed]
- Allan Stahl, G. Polymer Chemistry: An Introduction. J. Chem. Educ. 1982, 59, A248. [Google Scholar] [CrossRef]
- Navarro, R.; Perrino, M.; García, C.; Elvira, C.; Gallardo, A.; Reinecke, H. Opening New Gates for the Modification of PVC or Other PVC Derivatives: Synthetic Strategies for the Covalent Binding of Molecules to PVC. Polymers 2016, 8, 152. [Google Scholar] [CrossRef]
- Ciacci, L.; Passarini, F.; Vassura, I. The European PVC Cycle: In-Use Stock and Flows. Resour. Conserv. Recycl. 2016, 123, 108–116. [Google Scholar] [CrossRef]
- Esckilsen, B. Global PVC Markets: Threats and Opportunities. Plast. Addit. Compd. 2008, 10, 28–30. [Google Scholar] [CrossRef]
- Cappucci, L.R. PVC: A Vital and Sustainable Resource. Plast. Addit. Compd. 2009, 11, 22–23. [Google Scholar] [CrossRef]
- Titow, W.V. PVC Plastics: Properties, Processing, and Applications; Elsevier: New York, NY, USA, 1990. [Google Scholar]
- Liu, H. Mechanism of PVC Plasticization and PVC-Plasticizer Interaction. Shanxi Chem. Ind. 2011, 31, 56–58+74. [Google Scholar] [CrossRef]
- Groover, M.P. Fundamentals of Modern Manufacturing: Materials, Processes, and Systems; Wiley: New York, NY, USA, 2010. [Google Scholar]
- Demir, A.P.T.; Ulutan, S. Migration of Phthalate and Non-Phthalate Plasticizers out of Plasticized PVC Films into Air. J. Appl. Polym. Sci. 2013, 128, 1948–1961. [Google Scholar] [CrossRef]
- Bonini, M.; Errani, E.; Zerbinati, G.; Ferri, E.; Girotti, S. Extraction and Gas Chromatographic Evaluation of Plasticizers Content in Food Packaging Films. Microchem. J. 2008, 90, 31–36. [Google Scholar] [CrossRef]
- Kastner, J.; Cooper, D.G.; Mari, M.; Dodd, P.; Yargeau, V. Aqueous Leaching of Di-2-Ethylhexyl Phthalate and “Green” Plasticizers from Poly(Vinyl Chloride). Sci. Total Environ. 2012, 432, 357–364. [Google Scholar] [CrossRef]
- Nagorka, R.; Conrad, A.; Scheller, C.; Süssenbach, B.; Moriske, H.J. Diisononyl 1,2-Cyclohexanedicarboxylic Acid (DINCH) and Di(2-Ethylhexyl) Terephthalate (DEHT) in Indoor Dust Samples: Concentration and Analytical Problems. Int. J. Hyg. Environ. Health 2011, 214, 26–35. [Google Scholar] [CrossRef] [PubMed]
- Bui, T.T.; Giovanoulis, G.; Cousins, A.P.; Magner, J.; Cousins, I.T.; Wit, C.A.D. Human Exposure, Hazard and Risk of Alternative Plasticizers to Phthalate Esters. Sci. Total Environ. 2016, 541, 451–467. [Google Scholar] [CrossRef] [PubMed]
- Bustamante-Montes, L.P.; Hernández-Valero, M.A.; Flores-Pimentel, D.; García-Fábila, M.; Amaya-Chávez, A.; Barr, D.B.; Borja-Aburto, V.H. Prenatal Exposure to Phthalates Is Associated with Decreased Anogenital Distance and Penile Size in Male Newborns. J. Dev. Orig. Health Dis. 2013, 4, 300–306. [Google Scholar] [CrossRef] [PubMed]
- Colón, I.; Caro, D.; Caro, D. Identification of Phthalate Esters in the Serum of Young Puerto Rican Girls with Premature Breast Development. Environ. Health Perspect. 2000, 108, 895–900. [Google Scholar] [CrossRef]
- Piché, C.D.; Sauvageau, D.; Vanlian, M.; Erythropel, H.C.; Robaire, B.; Leask, R.L. Effects of Di-(2-Ethylhexyl) Phthalate and Four of Its Metabolites on Steroidogenesis in MA-10 Cells. Ecotoxicol. Environ. Saf. 2012, 79, 108–115. [Google Scholar] [CrossRef]
- Flaherty, E. Consumer Product Safety Improvement Act of 2008. Loyola Consum. Law Rev. 2008, 21, 372. [Google Scholar]
- Canada, E.; Canada, H. Priority Substances List Assessment Report: Bis (2-Ethylhexyl) Phthalate; Canada Communication Group: Ottawa, ON, Canada, 1994. [Google Scholar]
- Directive 2005/84/EC of the European Parliament and of the Council of 14 December 2005. Available online: https://eur-lex.europa.eu/legal-content/EN/TXT/?uri=celex%3A32005L0084 (accessed on 25 December 2023).
- Li, W.; Qin, J.; Wang, S.; Han, D.; Xiao, M.; Meng, Y. Macrodiols Derived from CO2-Based Polycarbonate as an Environmentally Friendly and Sustainable PVC Plasticizer: Effect of Hydrogen-Bond Formation. ACS Sustain. Chem. Eng. 2018, 6, 8476–8484. [Google Scholar] [CrossRef]
- Erythropel, H.C.; Marie, M.; Cooper, D.G. Designing Green Plasticizers: Influence of Molecular Geometry on Biodegradation and Plasticization Properties. Chemosphere 2012, 86, 759–766. [Google Scholar] [CrossRef]
- Han, Y.; Zhang, C.; Yang, Y.; Weng, Y.; Ma, P.; Xu, P. Epoxidized Isosorbide-Based Esters with Long Alkyl Chains as Efficient and Enhanced Thermal Stability and Migration Resistance PVC Plasticizers. Polym. Test. 2023, 123, 108048. [Google Scholar] [CrossRef]
- Rodrigues, F.M.S.; Tavares, I.; Aroso, R.T.; Dias, L.D.; Domingos, C.V.; De Faria, C.M.G.; Piccirillo, G.; Maria, T.M.R.; Carrilho, R.M.B.; Bagnato, V.S.; et al. Photoantibacterial Poly(Vinyl)Chloride Films Applying Curcumin Derivatives as Bio-Based Plasticizers and Photosensitizers. Molecules 2023, 28, 2209. [Google Scholar] [CrossRef]
- Duan, X.; Chen, H.; Liu, H.; Chen, M.; Chen, S.; Gao, J. A Citric Acid/Cysteine Based Bioadditive for Plasticization and Enhancing UV Shielding of Poly(Vinyl Chloride). Polym. Int. 2022, 71, 227–231. [Google Scholar] [CrossRef]
- Chen, J.; Li, X.; Wang, Y.; Li, K.; Huang, J.; Jiang, J.; Nie, X. Synthesis and Application of a Novel Environmental Plasticizer Based on Cardanol for Poly(Vinyl Chloride). J. Taiwan Inst. Chem. Eng. 2016, 65, 488–497. [Google Scholar] [CrossRef]
- Jia, P.Y.; Zhang, L.H.; Zhou, Y.H. Green Plasticizers Derived from Soybean Oil for Poly(Vinyl Chloride) as a Renewable Resource Material. Korean J. Chem. Eng. 2016, 33, 1080–1087. [Google Scholar] [CrossRef]
- Jia, P.; Hu, L.; Feng, G.; Bo, C.; Zhang, M.; Zhou, Y. PVC Materials without Migration Obtained by Chemical Modification of Azide-Functionalized PVC and Triethyl Citrate Plasticizer. Mater. Chem. Phys. 2017, 190, 25–30. [Google Scholar] [CrossRef]
- Ljungberg, N.; Wesslén, B. Tributyl Citrate Oligomers as Plasticizers for Poly (Lactic Acid): Thermo-Mechanical Film Properties and Aging. Polymer 2003, 44, 7679–7688. [Google Scholar] [CrossRef]
- Mhaske, S.; Satavalekar, S.D.; Savvashe, P. Triester-Amide Based on Thiophene and Ricinoleic Acid as an Innovative Primary Plasticizer for Poly(Vinyl Chloride). RSC Adv. 2016, 6, 115101–115112. [Google Scholar] [CrossRef]
- Sinisi, A.; Degli Esposti, M.; Toselli, M.; Morselli, D.; Fabbri, P. Biobased Ketal−Diester Additives Derived from Levulinic Acid. ACS Sustain. Chem. Eng. 2019, 7, 13920–13931. [Google Scholar] [CrossRef]
- Yang, X.; Li, S.; Xia, J.; Song, J.; Li, M. Novel Renewable Resource-Based UV-Curable Copolymers Derived from Myrcene and Tung Oil: Preparation, Characterization and Properties. Ind. Crops Prod. 2015, 63, 17–25. [Google Scholar] [CrossRef]
- Bernhard, Y.; Pagies, L.; Pellegrini, S.; Bousquet, T.; Favrelle, A.; Pelinski, L.; Gerbaux, P.; Zinck, P. Synthesis of Levulinic Acid Based Poly(Amine-Co-Ester)s. R. Soc. Chem. 2019, 21, 123–128. [Google Scholar] [CrossRef]
- Bozell, J.J.; Moens, L.; Elliott, D.; Wang, Y.; Neuenscwander, G.; Fitzpatrick, S.; Bilski, R.; Jarnefeld, J. Production of Levulinic Acid and Use as a Platform Chemical for Derived Products. Resour. Conserv. Recycl. 2000, 28, 227–239. [Google Scholar] [CrossRef]
- Isikgor, F.H.; Becer, C.R. Lignocellulosic Biomass: A Sustainable Platform for the Production of Bio-Based Chemicals and Polymers. Polym. Chem. 2015, 6, 4497–4559. [Google Scholar] [CrossRef]
- Zhu, H.; Yang, J.; Wu, M.; Wu, Q.; Liu, J.; Zhang, J. Effect of Ketal Group in Castor Oil Acid-based Plasticizer on the Properties of Poly(Vinyl Chloride). J. Appl. Polym. Sci. 2021, 138, 51274. [Google Scholar] [CrossRef]
- Xiao, L.; Li, W.; Liu, Z.; Zhang, K.; Li, S.; Wang, Y.; Chen, J.; Huang, J.; Nie, X. Tung Oil-Derived Epoxy Vitrimers with High Mechanical Strength, Toughness, and Excellent Recyclability. ACS Sustain. Chem. Eng. 2022, 10, 9829–9840. [Google Scholar] [CrossRef]
- Socrates, G. Infrared and Raman Characteristic Group Frequencies: Tables and Charts; John Wiley & Sons: Hoboken, NJ, USA, 2001. [Google Scholar]
- Godwin, A.D. Plasticizers. In Applied Plastics Engineering Handbook; Elsevier: Amsterdam, The Netherlands, 2011; pp. 487–501. ISBN 978-1-4377-3514-7. [Google Scholar]
- Jia, P.; Hu, L.; Shang, Q.; Wang, R.; Zhang, M.; Zhou, Y. Self-Plasticization of PVC Materials via Chemical Modification of Mannich Base of Cardanol Butyl Ether. ACS Sustain. Chem. Eng. 2017, 5, 6665–6673. [Google Scholar] [CrossRef]
- Yu, J.; Sun, L.; Ma, C.; Qiao, Y.; Yao, H. Thermal Degradation of PVC: A Review. Waste Manag. 2016, 48, 300–314. [Google Scholar] [CrossRef]







| Sample | PVC (g) | KTBL (g) | DOP (g) |
|---|---|---|---|
| PVC-a | 10 | 4 | 0 |
| PVC-b | 10 | 3 | 1 |
| PVC-c | 10 | 2 | 2 |
| PVC-d | 10 | 1 | 3 |
| PVC-e | 10 | 0 | 4 |
| Sample | Tg (°C) | T50 (°C) | Tp1 (°C) | Tp2 (°C) | Char Yield (%) |
|---|---|---|---|---|---|
| PVC-a | 56.55 | 277.8 | 252.3 | 463.2 | 11.22 |
| PVC-b | 54.95 | 274.5 | 255.2 | 462.8 | 11.87 |
| PVC-c | 53.76 | 272.1 | 259.3 | 464.6 | 8.90 |
| PVC-d | 46.00 | 271.5 | 260.6 | 465.2 | 7.62 |
| PVC-e | 34.91 | 288.9 | 285.9 | 464.1 | 7.25 |
| Sample | Percent Elongation (%) | Tensile Strength (MPa) |
|---|---|---|
| PVC-a | 384.93 ± 17.25 | 19.32 ± 0.14 |
| PVC-b | 379.25 ± 17.00 | 21.78 ± 1.18 |
| PVC-c | 410.92 ± 16.36 | 23.16 ± 1.46 |
| PVC-d | 403.72 ± 10.64 | 25.35 ± 2.36 |
| PVC-e | 377.47 ± 12.43 | 23.03 ± 1.03 |
Disclaimer/Publisher’s Note: The statements, opinions and data contained in all publications are solely those of the individual author(s) and contributor(s) and not of MDPI and/or the editor(s). MDPI and/or the editor(s) disclaim responsibility for any injury to people or property resulting from any ideas, methods, instructions or products referred to in the content. |
© 2024 by the authors. Licensee MDPI, Basel, Switzerland. This article is an open access article distributed under the terms and conditions of the Creative Commons Attribution (CC BY) license (https://creativecommons.org/licenses/by/4.0/).
Share and Cite
You, Z.; Yu, M.; Fu, R.; Nie, X.; Chen, J. Synthesis and Properties of a Novel Levulinic Acid-Based Environmental Auxiliary Plasticizer for Poly(vinyl chloride). Polymers 2024, 16, 361. https://doi.org/10.3390/polym16030361
You Z, Yu M, Fu R, Nie X, Chen J. Synthesis and Properties of a Novel Levulinic Acid-Based Environmental Auxiliary Plasticizer for Poly(vinyl chloride). Polymers. 2024; 16(3):361. https://doi.org/10.3390/polym16030361
Chicago/Turabian StyleYou, Zeyu, Min Yu, Renli Fu, Xiaoan Nie, and Jie Chen. 2024. "Synthesis and Properties of a Novel Levulinic Acid-Based Environmental Auxiliary Plasticizer for Poly(vinyl chloride)" Polymers 16, no. 3: 361. https://doi.org/10.3390/polym16030361
APA StyleYou, Z., Yu, M., Fu, R., Nie, X., & Chen, J. (2024). Synthesis and Properties of a Novel Levulinic Acid-Based Environmental Auxiliary Plasticizer for Poly(vinyl chloride). Polymers, 16(3), 361. https://doi.org/10.3390/polym16030361
