In Situ Preparation of Silver Nanoparticles/Organophilic-Clay/Polyethylene Glycol Nanocomposites for the Reduction of Organic Pollutants
Abstract
1. Introduction
2. Experimental Section
2.1. Materials and Methods
2.2. Preparation of Nanocomposites of AgNPs@Organophil-Clay
2.3. Reduction of Organic Pollutants in the Presence of Nanocomposites
2.4. Characterization of Materials
3. Results
3.1. Characterization of Nanocomposites
3.1.1. XRD/XRF
3.1.2. FTIR
3.1.3. XPS
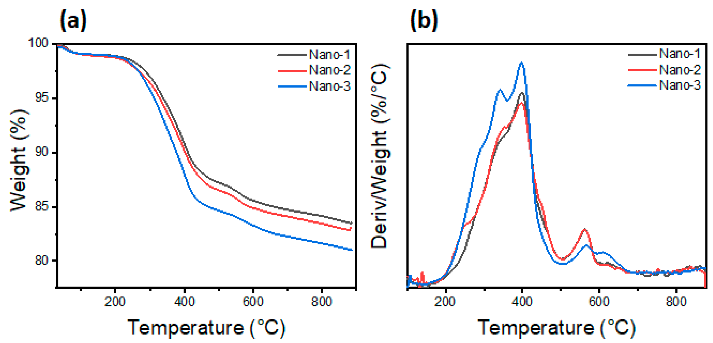
3.1.4. TGA
3.1.5. TEM
3.2. Reduction of Organic Pollutants
3.2.1. Effect of Catalyst Mass
3.2.2. Effect of NaBH4 Concentration
3.2.3. Effect of Catalyst Nature
3.2.4. Catalytic Reduction of MB Dye and 4-NP in a Binary System
3.2.5. Reuse of Nano-3 Catalyst
3.2.6. Reduction Mechanism
4. Conclusions
Supplementary Materials
Author Contributions
Funding
Institutional Review Board Statement
Data Availability Statement
Acknowledgments
Conflicts of Interest
References
- Dutta, S.; Adhikary, S.; Bhattacharya, S.; Roy, D.; Chatterjee, S.; Chakraborty, A.; Banerjee, D.; Ganguly, A.; Nanda, S.; Rajak, P. Contamination of Textile Dyes in Aquatic Environment: Adverse Impacts on Aquatic Ecosystem and Human Health, and Its Management Using Bioremediation. J. Environ. Manag. 2024, 353, 120103. [Google Scholar] [CrossRef]
- Khandelwal, D.; Rana, I.; Mishra, V.; Ranjan, K.R.; Singh, P. Unveiling the Impact of Dyes on Aquatic Ecosystems through Zebrafish—A Comprehensive Review. Environ. Res. 2024, 261, 119684. [Google Scholar] [CrossRef] [PubMed]
- Saini, R.; Choudhary, K. Chapter 32—Toxic Potential of Azo Dyes: A Broader Understanding. In Hazardous Chemicals; Chawla, M., Singh, J., Kaushik, R.D., Eds.; Academic Press: Cambridge, MA, USA, 2025; pp. 469–481. ISBN 978-0-323-95235-4. [Google Scholar]
- Vats, S.; Srivastava, S.; Maurya, N.; Saxena, S.; Mudgil, B.; Yadav, S.; Chandra, R. Chapter 8—Advances in Dye Contamination: Health Hazards, Biodegradation, and Bioremediation. In Biological Approaches to Controlling Pollutants; Kumar, S., Hashmi, M.Z., Eds.; Advances in Pollution Research; Woodhead Publishing: Cambridge, UK, 2022; pp. 139–162. ISBN 978-0-12-824316-9. [Google Scholar]
- Umesh, A.S.; Puttaiahgowda, Y.M.; Thottathil, S. Enhanced Adsorption: Reviewing the Potential of Reinforcing Polymers and Hydrogels with Nanomaterials for Methylene Blue Dye Removal. Surf. Interfaces 2024, 51, 104670. [Google Scholar] [CrossRef]
- Tabish, M.; Tabinda, A.B.; Mazhar, Z.; Yasar, A.; Ansar, J.; Wasif, I. Physical, Chemical and Biological Treatment of Textile Wastewater for Removal of Dyes and Heavy Metals. Desalination Water Treat. 2024, 320, 100842. [Google Scholar] [CrossRef]
- Hu, N.; Zhang, K.; Zhao, Y.; Zhang, Z.; Li, H. Flotation-Based Dye Removal System: Sweet Potato Protein Fabricated from Agro-Industrial Waste as a Collector and Frother. J. Clean. Prod. 2020, 269, 122121. [Google Scholar] [CrossRef]
- Vinayagam, V.; Palani, K.N.; Ganesh, S.; Rajesh, S.; Akula, V.V.; Avoodaiappan, R.; Kushwaha, O.S.; Pugazhendhi, A. Recent Developments on Advanced Oxidation Processes for Degradation of Pollutants from Wastewater with Focus on Antibiotics and Organic Dyes. Environ. Res. 2024, 240, 117500. [Google Scholar] [CrossRef]
- Naseem, K.; Farooqi, Z.H.; Begum, R.; Irfan, A. Removal of Congo Red Dye from Aqueous Medium by Its Catalytic Reduction Using Sodium Borohydride in the Presence of Various Inorganic Nano-Catalysts: A Review. J. Clean. Prod. 2018, 187, 296–307. [Google Scholar] [CrossRef]
- Naseem, K.; Abrar, E.; Khalid, A.; Ismail, M.A. Inorganic Nanoparticles as a Potential Catalyst for the Reduction of Rhodamine B Dye: A Critical Review. Inorg. Chem. Commun. 2024, 163, 112367. [Google Scholar] [CrossRef]
- Ta, M.; An, Y.; Yang, H.; Bai, C.; Wang, T.; Zhang, T.; Cai, H.; Zheng, H. Attraction Behavior Induces the Aggregation and Precipitation of Organic Dyes: Improving Efficiency through Co-Treatment Strategy. J. Mol. Liq. 2024, 415, 126331. [Google Scholar] [CrossRef]
- Sahoo, A.K.; Dahiya, A.; Patel, B.K. Chapter 6—Biological Methods for Textile Dyes Removal from Wastewaters. In Development in Wastewater Treatment Research and Processes; Shah, M.P., Rodriguez-Couto, S., Kapoor, R.T., Eds.; Elsevier: Amsterdam, The Netherlands, 2022; pp. 127–151. ISBN 978-0-323-85657-7. [Google Scholar]
- Boukoussa, B.; Cherdouane, K.R.; Zegai, R.; Mokhtar, A.; Hachemaoui, M.; Issam, I.; Iqbal, J.; Patole, S.P.; Zeggai, F.Z.; Hamacha, R.; et al. Preparation of Activated Carbon-Metal Nanoparticle Composite Materials for the Catalytic Reduction of Organic Pollutants. Surf. Interfaces 2024, 44, 103622. [Google Scholar] [CrossRef]
- Habeche, F.; Boukoussa, B.; Issam, I.; Mokhtar, A.; Lu, X.; Iqbal, J.; Benali, F.; Hacini, S.; Hachemaoui, M.; Abboud, M. Synthesis and Application of Metal Nanoparticles-Loaded Mesoporous Silica toward the Reduction of Organic Pollutants in a Simple and Binary System. Inorg. Chem. Commun. 2023, 151, 110572. [Google Scholar] [CrossRef]
- Farooq, M.; Shujah, S.; Tahir, K.; Nazir, S.; Ullah Khan, A.; Almarhoon, Z.M.; Jevtovic, V.; Al-Shehri, H.S.; Tasleem Hussain, S.; Ullah, A. Ultra Efficient 4-Nitrophenol Reduction, Dye Degradation and Cr(VI) Adsorption in the Presence of Phytochemical Synthesized Ag/ZnO Nanocomposite: A View towards Sustainable Chemistry. Inorg. Chem. Commun. 2022, 136, 109189. [Google Scholar] [CrossRef]
- Kamenická, B. Chemical Degradation of Azo Dyes Using Different Reducing Agents: A Review. J. Water Process Eng. 2024, 61, 105350. [Google Scholar] [CrossRef]
- Hachemaoui, M.; Boukoussa, B.; Ismail, I.; Mokhtar, A.; Taha, I.; Iqbal, J.; Hacini, S.; Bengueddach, A.; Hamacha, R. CuNPs-Loaded Amines-Functionalized-SBA-15 as Effective Catalysts for Catalytic Reduction of Cationic and Anionic Dyes. Colloids Surf. A Physicochem. Eng. Asp. 2021, 623, 126729. [Google Scholar] [CrossRef]
- Bandi, R.; Dadigala, R.; Han, S.-Y.; Van Hai, L.; Kwon, G.-J.; Lee, S.-H. Dicarboxylate Cellulose Nanofibrils-Supported Silver Nanoparticles as a Novel, Green, Efficient and Recyclable Catalyst for 4-Nitrophenol and Dyes Reduction. Int. J. Biol. Macromol. 2024, 280, 136023. [Google Scholar] [CrossRef]
- Yang, Z.; Gong, X.; Hu, Y.; Yue, P.; Lü, B.; Peng, F. Green Synthesis of Lichenan-Decorated Silver Nanoparticles for Catalytic Hydrogenation of Organic Dyes and Bacterial Disinfection. Chem. Eng. J. 2024, 487, 150516. [Google Scholar] [CrossRef]
- Tharmaraj, V.; Anbu Anjugam Vandarkuzhali, S.; Karthikeyan, G.; Pachamuthu, M.P. Efficient and Recyclable AuNPs/Aminoclay Nanocomposite Catalyst for the Reduction of Organic Dyes. Surf. Interfaces 2022, 32, 102052. [Google Scholar] [CrossRef]
- Naseem, K.; Wakeel Manj, Q.; Akram, S.; Shabbir, S.; Noor, A.; Farooqi, Z.H.; Urooge Khan, S.; Ali, M.; Faizan Nazar, M.; Haider, S.; et al. Spectroscopic Monitoring of Polyurethane-Based Nanocomposite as a Potential Catalyst for the Reduction of Dyes. Spectrochim. Acta Part A Mol. Biomol. Spectrosc. 2024, 317, 124450. [Google Scholar] [CrossRef]
- Aggour, Y.A.; Kenawy, E.-R.; Magdy, M.; Elbayoumy, E. Establishing a Productive Heterogeneous Catalyst Based on Silver Nanoparticles Supported on a Crosslinked Vinyl Polymer for the Reduction of Nitrophenol. RSC Adv. 2024, 14, 30127–30139. [Google Scholar] [CrossRef]
- Ahmad, A.; Roy, P.G.; Hassan, A.; Zhou, S.; Azam, M.; Sial, M.A.Z.G.; Irfan, A.; Kanwal, F.; Begum, R.; Farooqi, Z.H. Catalytic Degradation of Various Dyes Using Silver Nanoparticles Fabricated within Chitosan Based Microgels. Int. J. Biol. Macromol. 2024, 283, 137965. [Google Scholar] [CrossRef]
- Kaolin-Supported Silver Nanoparticles as an Effective Catalyst for the Removal of Methylene Blue Dye from Aqueous Solutions|ACS Omega. Available online: https://pubs.acs.org/doi/10.1021/acsomega.2c05265 (accessed on 10 December 2024).
- He, K.; Yan, M.; Huang, Z.; Zeng, G.; Chen, A.; Huang, T.; Peng, M.; Chen, G. Lignosulfonate Functionalized Kaolin-Ag Hybrid Catalyst for Highly Effective Dye Decolorization. Appl. Clay Sci. 2019, 171, 38–47. [Google Scholar] [CrossRef]
- Asmare, Z.G.; Aragaw, B.A.; Atlabachew, M. Facile Synthesis of Natural Kaolin-Based CuO Catalyst: An Efficient Heterogeneous Catalyst for the Catalytic Reduction of 4-Nitrophenol. ACS Omega 2024, 9, 48014–48031. [Google Scholar] [CrossRef]
- Sankar Sana, S.; Haldhar, R.; Parameswaranpillai, J.; Chavali, M.; Kim, S.-C. Silver Nanoparticles-Based Composite for Dye Removal: A Comprehensive Review. Clean. Mater. 2022, 6, 100161. [Google Scholar] [CrossRef]
- He, K.; Yan, M.; Huang, Z.; Zeng, G.; Chen, A.; Huang, T.; Li, H.; Ren, X.; Chen, G. Fabrication of Ploydopamine–Kaolin Supported Ag Nanoparticles as Effective Catalyst for Rapid Dye Decoloration. Chemosphere 2019, 219, 400–408. [Google Scholar] [CrossRef] [PubMed]
- Gan, D.; Wang, Z.; Li, X.; Zhou, J.; Dai, B.; Yang, L.; Xia, S. Green Synthesis of Bimetallic PdAg Alloy Nanoparticles Supported on Polydopamine-Functionalized Kaolin for Catalytic Reduction of 4-Nitrophenol and Organic Dyes. Appl. Clay Sci. 2023, 244, 107091. [Google Scholar] [CrossRef]
- Shahriari, M.; Ali Hosseini Sedigh, M.; Shahriari, M.; Stenzel, M.; Mahdi Zangeneh, M.; Zangeneh, A.; Mahdavi, B.; Asadnia, M.; Gholami, J.; Karmakar, B.; et al. Palladium Nanoparticles Decorated Chitosan-Pectin Modified Kaolin: It’s Catalytic Activity for Suzuki-Miyaura Coupling Reaction, Reduction of the 4-Nitrophenol, and Treatment of Lung Cancer. Inorg. Chem. Commun. 2022, 141, 109523. [Google Scholar] [CrossRef]
- Sardi, A.; Bounaceur, B.; Mokhtar, A.; Boukoussa, B.; Abbes, M.T.; Chaibi, W.; Nacer, A.; Khadidja, K.B.; Issam, I.; Iqbal, J.; et al. Kinetics and Thermodynamic Studies for Removal of Trypan Blue and Methylene Blue from Water Using Nano Clay Filled Composite of HTAB and PEG and Its Antibacterial Activity. J. Polym. Environ. 2023, 31, 5065–5088. [Google Scholar] [CrossRef]
- Cherifi, Z.; Boukoussa, B.; Zaoui, A.; Belbachir, M.; Meghabar, R. Structural, Morphological and Thermal Properties of Nanocomposites Poly(GMA)/Clay Prepared by Ultrasound and in-Situ Polymerization. Ultrason. Sonochem. 2018, 48, 188–198. [Google Scholar] [CrossRef]
- Lucas, N.; Nagpure, A.S.; Gurrala, L.; Gogoi, P.; Chilukuri, S. Efficacy of Clay Catalysts for the Dehydration of Fructose to 5-Hydroxymethyl Furfural in Biphasic Medium. J. Porous Mater. 2020, 27, 1691–1700. [Google Scholar] [CrossRef]
- Liu, J.; Qiao, S.Z.; Hu, Q.H.; Lu, G.Q. Magnetic Nanocomposites with Mesoporous Structures: Synthesis and Applications. Small 2011, 7, 425–443. [Google Scholar] [CrossRef] [PubMed]
- Mishra, S.; Shimpi, N.G.; Sen, T. The Effect of PEG Encapsulated Silver Nanoparticles on the Thermal and Electrical Property of Sonochemically Synthesized Polyaniline/Silver Nanocomposite. J. Polym. Res. 2012, 20, 49. [Google Scholar] [CrossRef]
- Bao, Y.; Li, H.; He, J.; Song, K.; Yu, H.; Tian, C.; Guo, J.; Zhou, X.; Liu, S. Polyethylene Glycol Modified Graphene Oxide-Silver Nanoparticles Nanocomposite as a Novel Antibacterial Material with High Stability and Activity. Colloids Surf. B Biointerfaces 2023, 229, 113435. [Google Scholar] [CrossRef] [PubMed]
- Rahme, K.; Chen, L.; Hobbs, R.G.; Morris, M.A.; O’Driscoll, C.; Holmes, J.D. PEGylated Gold Nanoparticles: Polymer Quantification as a Function of PEG Lengths and Nanoparticle Dimensions. RSC Adv. 2013, 3, 6085–6094. [Google Scholar] [CrossRef]
- Seidi, A.; Benhamou, M.; Khalil, D.; Aalaoul, M.; Bennani, M.N. Elaboration and Characterization of a Natural Bentonite-Poly(Ethylene Glycol) Composite: Development of an Exact Theoretical Study in Function of the Polymer-Density. Chem. Phys. Impact 2024, 9, 100673. [Google Scholar] [CrossRef]
- Kumpulainen, S.; Kiviranta, L. Mineralogical and Chemical Characterization of Various Bentonite and Smectite-Rich Clay Materials. Part A: Comparison and Development of Mineralogical Characterization Methods Part B: Mineralogical and Chemical Characterization of Clay Materials; POSIVA: Eurajoki, Finland, 2010. [Google Scholar]
- Zaitan, H.; Bianchi, D.; Achak, O.; Chafik, T. A Comparative Study of the Adsorption and Desorption of o-Xylene onto Bentonite Clay and Alumina. J. Hazard. Mater. 2008, 153, 852–859. [Google Scholar] [CrossRef] [PubMed]
- Zhu, S.; Chen, J.; Li, H.; Cao, Y. Structure and Conformation of Poly(Ethylene Glycol) in Confined Space of Montmorillonite. Appl. Surf. Sci. 2013, 264, 500–506. [Google Scholar] [CrossRef]
- Liang, L.; Hou, T.; Ouyang, Q.; Xie, L.; Zhong, S.; Li, P.; Li, S.; Li, C. Antimicrobial Sodium Alginate Dressing Immobilized with Polydopamine-Silver Composite Nanospheres. Compos. Part B Eng. 2020, 188, 107877. [Google Scholar] [CrossRef]
- Corro, G.; Vidal, E.; Cebada, S.; Pal, U.; Bañuelos, F.; Vargas, D.; Guilleminot, E. Electronic State of Silver in Ag/SiO2 and Ag/ZnO Catalysts and Its Effect on Diesel Particulate Matter Oxidation: An XPS Study. Appl. Catal. B Environ. 2017, 216, 1–10. [Google Scholar] [CrossRef]
- Jian, W.; Ma, Y.; Wu, H.; Zhu, X.; Wang, J.; Xiong, H.; Lin, L.; Wu, L. Fabrication of Highly Stable Silver Nanoparticles Using Polysaccharide-Protein Complexes from Abalone Viscera and Antibacterial Activity Evaluation. Int. J. Biol. Macromol. 2019, 128, 839–847. [Google Scholar] [CrossRef]
- Yu, C.; Tang, J.; Liu, F.; Chen, Y. Green Synthesized Nanosilver-Biochar Photocatalyst for Persulfate Activation under Visible-Light Illumination. Chemosphere 2021, 284, 131237. [Google Scholar] [CrossRef]
- Yahyai, W.A.S.A.; Isai, A.A.S.A.; Alotibi, M.F.; G, B.R.; Al-Abri, M.; Pejjai, B.; Devunuri, N.; Kumar, N.S.; Al-Fatesh, A.S.; Osman, A.I.; et al. Green Synthesis of Mesona Blumes Gum Capped Silver Nanoparticles and Their Antioxidant, Antibacterial and Catalytic Studies. Mater. Adv. 2023, 4, 5273–5281. [Google Scholar] [CrossRef]
- Benali, F.; Boukoussa, B.; Issam, I.; Mokhtar, A.; Iqbal, J.; Hachemaoui, M.; Habeche, F.; Cherifi, Z.; Hacini, S.; Patole, S.P.; et al. Assessment of AgNPs@Cu@Alginate Composite for Efficient Water Treatment: Effect of the Content of Cu(II) Crosslinking Agent. J. Polym. Environ. 2023, 31, 4170–4183. [Google Scholar] [CrossRef]
- Junejo, Y.; Sirajuddin; Baykal, A.; Safdar, M.; Balouch, A. A Novel Green Synthesis and Characterization of Ag NPs with Its Ultra-Rapid Catalytic Reduction of Methyl Green Dye. Appl. Surf. Sci. 2014, 290, 499–503. [Google Scholar] [CrossRef]
- Sirajuddin; Bangwar, A.M.; Nafady, A.; Haq, M.A.U.; Shah, M.R.; Mujeeb-ur-Rehman; Sherazi, S.T.H.; Soomro, R.A.; Mahesar, S.A.; Agheem, M.H. Ultra-Rapid Catalytic Reduction of Methyl Green Dye Using Tetra Methyl Ammonium Bromide Derived Cobalt Nanoparticles. Inorg. Chem. Commun. 2024, 159, 111821. [Google Scholar] [CrossRef]
- Mously, D.A.E.; Mahmoud, A.M.; Gomaa, M.M.; Yamani, H.Z. Rapid Catalytic Reduction of Environmentally Toxic Azo Dye Pollutant by Prussian Blue Analogue Nanocatalyst. RSC Adv. 2024, 14, 15232–15239. [Google Scholar] [CrossRef]
- Askari, S.; Mehdi Khodaei, M.; Benassi, E. Nitrogen-Rich Covalent Organic Polymer-Hybridized CuFe2O4-Based Magnetic Nanoparticles for Efficient Iodine Adsorption and Cr(VI) Reduction. Inorg. Chem. Commun. 2024, 169, 113136. [Google Scholar] [CrossRef]
- Patnaik, S.; Das, K.K.; Mohanty, A.; Parida, K. Enhanced Photo Catalytic Reduction of Cr (VI) over Polymer-Sensitized g-C3N4/ZnFe2O4 and Its Synergism with Phenol Oxidation under Visible Light Irradiation. Catal. Today 2018, 315, 52–66. [Google Scholar] [CrossRef]
- Jokar, M.; Bidhendi, G.N.; Naeimi, H. Catalytic Chemical Reduction of Cr(VI) from Contaminated Waters by the Production of Hydrogen Radical on the Cellulose Sulfate Microfibers Coated with Palladium Nanocatalyst. Desalination Water Treat. 2022, 248, 124–133. [Google Scholar] [CrossRef]
- Al-Soihi, A.S.; Bajafar, W.; Abdel-Fadeel, M.A.; Alsulami, Q.A.; Saleh, T.S.; Mostafa, M.M.M. Titania-Carbon Amalgamated Nickel and Copper Layered Double Hydroxide for Dye Removal and Catalytic Reduction of p-Nitrophenol. J. Water Process Eng. 2024, 61, 105361. [Google Scholar] [CrossRef]
- Din, M.I.; Khalid, R.; Hussain, Z.; Gul, S.; Mujahid, A. Synthesis and Characterization of Cobalt Doped Zinc Oxide Nanoparticles and Their Application for Catalytic Reduction of Methylene Blue Dye. Desalination Water Treat. 2024, 317, 100002. [Google Scholar] [CrossRef]
- Chishti, A.N.; Ma, Z.; Liu, Y.; Chen, M.; Gautam, J.; Guo, F.; Ni, L.; Diao, G. Synthesis of Highly Efficient and Magnetically Separable Fe3O4@C-TiO2-Ag Catalyst for the Reduction of Organic Dyes and 4-Nitrophenol. Colloids Surf. A Physicochem. Eng. Asp. 2021, 631, 127694. [Google Scholar] [CrossRef]
- Ahmad, I.; Alothaid, H.; Habibullah, M.M.; Wani, T.H.; Ikram, S. Deciphering the Catalytic Activity of Nickel Anchored on Fe3O4@SiO2@3-CPMS@L as a Magnetically Recoverable Nanocatalyst for the Efficacious Reduction of 4-Nitrophenol, Nitrobenzene, and Methyl Orange. J. Environ. Manag. 2024, 367, 121795. [Google Scholar] [CrossRef] [PubMed]
- Bhatia, P.; Nath, M. Ag Nanoparticles Anchored on NiO Octahedrons (Ag/NiO Composite): An Efficient Catalyst for Reduction of Nitro Substituted Phenols and Colouring Dyes. Chemosphere 2022, 290, 133188. [Google Scholar] [CrossRef] [PubMed]
- Khan, F.U.; Asimullah; Khan, S.B.; Kamal, T.; Asiri, A.M.; Khan, I.U.; Akhtar, K. Novel Combination of Zero-Valent Cu and Ag Nanoparticles @ Cellulose Acetate Nanocomposite for the Reduction of 4-Nitro Phenol. Int. J. Biol. Macromol. 2017, 102, 868–877. [Google Scholar] [CrossRef] [PubMed]
- Chishti, A.N.; Ni, L.; Guo, F.; Lin, X.; Liu, Y.; Wu, H.; Chen, M.; Diao, G.W. Magnetite-Silica Core-Shell Nanocomposites Decorated with Silver Nanoparticles for Enhanced Catalytic Reduction of 4-Nitrophenol and Degradation of Methylene Blue Dye in the Water. J. Environ. Chem. Eng. 2021, 9, 104948. [Google Scholar] [CrossRef]
- Su, J.; Zhang, P.; Han, X.; Sui, C.; El-kott, A.F.; Alshehri, A.S.; AlShehri, M.A.; Morsy, K.; Negm, S. Decorated of Silver Nanoparticles Overguar Gum-Encapsulated Fe3O4 NPs for the Catalytic Reduction of 4-Nitrophenol Followed by Study of Anti-Endometrial Cancer Potential. J. Organomet. Chem. 2024, 1015, 123225. [Google Scholar] [CrossRef]
- Das, R.; Sypu, V.S.; Paumo, H.K.; Bhaumik, M.; Maharaj, V.; Maity, A. Silver Decorated Magnetic Nanocomposite (Fe3O4@PPy-MAA/Ag) as Highly Active Catalyst towards Reduction of 4-Nitrophenol and Toxic Organic Dyes. Appl. Catal. B Environ. 2019, 244, 546–558. [Google Scholar] [CrossRef]
- Nautiyal, A.; Shukla, S.R. Silver Nanoparticles Catalyzed Reductive Decolorization of Spent Dye Bath Containing Acid Dye and Its Reuse in Dyeing. J. Water Process Eng. 2018, 22, 276–285. [Google Scholar] [CrossRef]
- Kohantorabi, M.; Gholami, M.R. Kinetic Analysis of the Reduction of 4-Nitrophenol Catalyzed by CeO2 Nanorods-Supported CuNi Nanoparticles. Ind. Eng. Chem. Res. 2017, 56, 1159–1167. [Google Scholar] [CrossRef]
- Nasrollahzadeh, M.; Nezafat, Z.; Gorab, M.G.; Sajjadi, M. Recent Progresses in Graphene-Based (Photo)Catalysts for Reduction of Nitro Compounds. Mol. Catal. 2020, 484, 110758. [Google Scholar] [CrossRef]
- Cui, X.; Zheng, Y.; Tian, M.; Dong, Z. Palladium Nanoparticles Supported on SiO2@Fe3O4@m-MnO2 Mesoporous Microspheres as a Highly Efficient and Recyclable Catalyst for Hydrodechlorination of 2,4-Dichlorophenol and Reduction of Nitroaromatic Compounds and Organic Dyes. Mol. Catal. 2017, 433, 202–211. [Google Scholar] [CrossRef]










Disclaimer/Publisher’s Note: The statements, opinions and data contained in all publications are solely those of the individual author(s) and contributor(s) and not of MDPI and/or the editor(s). MDPI and/or the editor(s) disclaim responsibility for any injury to people or property resulting from any ideas, methods, instructions or products referred to in the content. |
© 2024 by the authors. Licensee MDPI, Basel, Switzerland. This article is an open access article distributed under the terms and conditions of the Creative Commons Attribution (CC BY) license (https://creativecommons.org/licenses/by/4.0/).
Share and Cite
Sardi, A.; Boukoussa, B.; Benmaati, A.; Chinoune, K.; Mokhtar, A.; Hachemaoui, M.; Abdelkrim, S.; Ismail, I.; Iqbal, J.; Patole, S.P.; et al. In Situ Preparation of Silver Nanoparticles/Organophilic-Clay/Polyethylene Glycol Nanocomposites for the Reduction of Organic Pollutants. Polymers 2024, 16, 3608. https://doi.org/10.3390/polym16243608
Sardi A, Boukoussa B, Benmaati A, Chinoune K, Mokhtar A, Hachemaoui M, Abdelkrim S, Ismail I, Iqbal J, Patole SP, et al. In Situ Preparation of Silver Nanoparticles/Organophilic-Clay/Polyethylene Glycol Nanocomposites for the Reduction of Organic Pollutants. Polymers. 2024; 16(24):3608. https://doi.org/10.3390/polym16243608
Chicago/Turabian StyleSardi, Amina, Bouhadjar Boukoussa, Aouicha Benmaati, Kheira Chinoune, Adel Mokhtar, Mohammed Hachemaoui, Soumia Abdelkrim, Issam Ismail, Jibran Iqbal, Shashikant P. Patole, and et al. 2024. "In Situ Preparation of Silver Nanoparticles/Organophilic-Clay/Polyethylene Glycol Nanocomposites for the Reduction of Organic Pollutants" Polymers 16, no. 24: 3608. https://doi.org/10.3390/polym16243608
APA StyleSardi, A., Boukoussa, B., Benmaati, A., Chinoune, K., Mokhtar, A., Hachemaoui, M., Abdelkrim, S., Ismail, I., Iqbal, J., Patole, S. P., Viscusi, G., & Abboud, M. (2024). In Situ Preparation of Silver Nanoparticles/Organophilic-Clay/Polyethylene Glycol Nanocomposites for the Reduction of Organic Pollutants. Polymers, 16(24), 3608. https://doi.org/10.3390/polym16243608

