Applying Resin Radial Injection for Manufacturing Fiber-Reinforced Polymer Composite: Advanced Mathematical Modeling and Simulation
Abstract
1. Introduction
2. Materials and Methods
2.1. The Physical Problem and the Geometry
2.2. The Model
2.3. Geometrical and Thermo-Physical Parameters
3. Results and Discussions
3.1. Validation
3.1.1. Theoretical Case
3.1.2. Experimental Case
3.2. Hydrodynamic Analysis of the Studied Cases
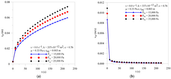
3.2.1. Effect of Process Parameters
3.2.2. Effect of Fibrous Medium Parameters
3.2.3. Effect of Resin Parameters
3.3. Weakness and Robustness of the Proposed Mathematical Model
- The model can be applied to verify the effect of different process parameters, porous media and resin and to assist in understanding the process, which is potentially very important in RTM applications for composite manufacturing;
- It can be applied to validate most robust and advanced mathematical modeling, including 2D simulations, with small computational efforts;
- It can be used to quickly obtain predicted results for ideal and real physical conditions and to provide detailed information about unknown variables that cannot be directly measured by experiments in the RTM process, thus making it possible to optimize the RTM process;
- It allows for easy estimation of porous media permeability with great accuracy, an important parameter for evaluation of reinforcements;
- It includes the effect of resin sorption by fiber, which is frequently not considered in RTM simulation, highlighting the powerful force of the proposed modeling.
- Microscopic effects such as entrapped microvoids, void migration, void compression and micro flow of resin during fiber filling were not considered. Microporosity and permeability of an individual fiber are much lower than the porous media permeability and porosity. In truth, the sink term changes along the preform because it is strongly dependent on the local pressure of the resin outside the fiber.
- The viscosity of both thermoset and thermoplastic resins changes with the temperature, and here, we consider an isothermal process (no curing and crystallization processes during resin impregnation).
- In this work, effect dimension, shape and orientation of the fiber, preform deformation, fiber movement and accommodation, and fiber–fiber contact, both due to resin flow and drag forces were not considered.
- Porous preform was considered isotropic. In a true physical situation, overall permeability and porosity are affected by the fiber network, fiber packing and fiber volume fraction. In this work, variations in resin flow resistance due to actions of these parameters were neglected, and permeability, porosity and packing degree were considered to be constant and uniform.
- Variations in the mold thickness and deformations due to high pressure inside the mold cavity were neglected.
4. Conclusions
Author Contributions
Funding
Institutional Review Board Statement
Informed Consent Statement
Data Availability Statement
Acknowledgments
Conflicts of Interest
References
- Hollaway, L. Handbook of Polymer Composites for Engineers, 1st ed.; Woodhead Publishing Limited: Cambridge, UK, 1994. [Google Scholar]
- Daniel, I.M.; Ishai, O. Engineering Mechanics of Composite Materials, 1st ed.; Oxford University Press: Oxford, UK, 1994. [Google Scholar]
- Levy Neto, F.; Pardini, L.C. Structural Composites: Science and Technology; Edgard Blücher: São Paulo, Brazil, 2006. (In Portuguese) [Google Scholar]
- Sgriccia, N.; Hawley, M.C.; Mirsa, M. Characterization of natural fiber surfaces and natural fiber composites. Compos. Part A Appl. Sci. Manuf. 2008, 39, 1632–1637. [Google Scholar] [CrossRef]
- Resende, M.C.; Botelho, E.C. The Use of Structural Composites in the Aerospace Industry. Polimeros 2000, 10, E.4. (In Portuguese) [Google Scholar] [CrossRef]
- Hamidi, Y.K.; Aktas, L.; Altan, M.C. Three-dimensional features of void morphology in resin transfer molded composites. Compos. Sci. Technol. 2005, 65, 1306–1320. [Google Scholar] [CrossRef]
- Oliveira, I.R.; Amico, S.C.; Souza, A.; Barcella, R.; Lima, A.G.B. Resin transfer molding process: A numerical and experimental investigation. Int. J. Multiphysics 2013, 7, 125–136. [Google Scholar] [CrossRef]
- Amorim Junior, W.F. Processing of Thick Composite Plate by Resin Transfer Molding Process. Ph.D. Thesis, Federal University of Rio de Janeiro, Rio de Janeiro, Brazil, April 2007. [Google Scholar]
- Luz, F.F. Comparative Analysis of the Fluid Flow in RTM Experiments Using Commercial Applications. Master’s Thesis, Metallurgical and Materials Engineering, Federal University of Rio Grande do Sul, Porto Alegre, Brazil, 2011. [Google Scholar]
- Rudd, C.D.; Long, A.C.; Kendall, K.N.; Mangin, G.C.E. Liquid Moulding Technologies: Resin Transfer Moulding, Structural Reaction Injection Moulding and Related Processing Techniques, 1st ed.; Woodhead Publishing Limited: Cambridge, UK, 1997. [Google Scholar]
- Mazumdar, S.K. Composites Manufacturing: Materials, Product, and Process Engineering; CRC Press: New York, NY, USA, 2002. [Google Scholar]
- Advani, S.G.; Sozer, E.M. Process Modeling in Composites Manufacturing; CRC Press: New York, NY, USA, 2011. [Google Scholar]
- Delgado, J.M.P.Q.; Lima, A.G.B.; Santos, M.J.N. Transport Phenomena in Liquid Composite Molding Process, 1st ed.; Springer International Publishing: Cham, Switzerland, 2019. [Google Scholar]
- Lee, L.J. Liquid Composite Molding. In Advanced Composites Manufacturing; Gutowski, T.G., Ed.; John Wiley & Sons: New York, NY, USA, 1997. [Google Scholar]
- Advani, S.G.; Hsiao, K. Transport Phenomena in Liquid Composites Molding Processes and Their Roles in Process Control and Optimization. In Handbook of Porous Media; Vafai, K., Ed.; CRC Press: Boca Raton, FL, USA, 2005. [Google Scholar]
- Luz, F.F.; Amico, S.C.; Souza, J.A.; Barbosa, E.S.; Lima, A.G.B. Resin Transfer Molding Process: Fundamentals, Numerical Computation and Experiments. In Numerical Analysis of Heat and Mass Transfer in Porous Media; Delgado, J.M.P.Q., Lima, A.G.B., Silva, M.V., Eds.; Springer: Heidelberg, Germany, 2012. [Google Scholar]
- Okabe, T.; Oya, Y.; Yamamoto, G.; Sato, J.; Matsumiya, T.; Matsuzaki, R.; Yashiro, S.; Obayashi, S. Multi-objective optimization for resin transfer molding process. Compos. Part A Appl. Sci. Manuf. 2017, 92, 1–9. [Google Scholar] [CrossRef]
- Keller, A.; Dransfeld, C.; Masania, K. Flow and heat transfer during compression resin transfer moulding of highly reactive epoxies. Compos. Part B Eng. 2018, 153, 167–175. [Google Scholar] [CrossRef]
- Simacek, P.; Advani, S.G. Resin flow modeling in compliant porous media: An efficient approach for liquid composite molding. Int. J. Mater. Form. 2018, 11, 503–515. [Google Scholar] [CrossRef]
- Han, S.H.; Cho, E.J.; Lee, H.C.; Jeong, K.; Kim, S.S. Study on high-speed RTM to reduce the impregnation time of carbon/epoxy composites. Compos. Struct. 2015, 119, 50–58. [Google Scholar] [CrossRef]
- Wegh, N.; Bachschuster, S.; Gaudlitz, D.; Klein, M. Three-dimensional simulation of the impregnation stage of the RTM process considering the local structure of the fiber layup. WIT Trans. Eng. Sci. 2015, 89, 487–499. [Google Scholar] [CrossRef]
- Parnas, R.S.; Phelan, F.R. The effect of heterogeneous porous media on mold filling in resin transfer molding. Sampe Quart. 1991, 22, 53–60. [Google Scholar]
- Sadiq, T.A.K.; Advani, S.G.; Parnas, R.S. Experimental investigation of transverse flow through aligned cylinders. Int. J. Multiph. Flow 1995, 21, 755. [Google Scholar] [CrossRef]
- Binetruy, C.; Hilaire, B.; Pabiot, J. The interactions between flows occurring inside and outside fabric tows during RTM. Compos. Sci. Technol. 1997, 57, 587–596. [Google Scholar] [CrossRef]
- Lekakou, C.; Bader, M.G. Mathematical modelling of macro- and micro-infiltration in resin transfer moulding (RTM). Compos. Part A Appl. Sci. Manuf. 1998, 29, 29–37. [Google Scholar] [CrossRef]
- Binetruy, C.; Hilaire, B. Tow impregnation model and void formation mechanisms during RTM. J. Compos. Mater. 1998, 32, 223–245. [Google Scholar] [CrossRef]
- Pillai, K.M.; Advani, S.G. A model for unsaturated flow in woven fiber preforms during mold filling in resin transfer molding. J. Compos. Mater. 1998, 32, 1753–1783. [Google Scholar] [CrossRef]
- Slade, J.; Pillai, K.M.; Advani, S.G. Investigation of unsaturated flow in woven, braided and stitched fiber mats during mold-filling in resin transfer molding. Polym. Compos. 2001, 22, 491–505. [Google Scholar] [CrossRef]
- Ngo, N.D.; Tamma, K.K. Microscale permeability predictions of porous fibrous media. Int. J. Heat Mass Transfer 2001, 44, 3135–3145. [Google Scholar] [CrossRef]
- Pillai, K.M. Governing equations for unsaturated flow through woven fiber mats. Part 1. Isothermal flows. Compos. Part A Appl. Sci. Manuf. 2002, 33, 1007–1019. [Google Scholar] [CrossRef]
- Takano, N.; Zako, M.; Okazaki, T.; Terada, K. Microstructure-based evaluation of the influence of woven architecture on permeability by asymptotic homogenization theory. Compos. Sci. Technol. 2002, 62, 1347–1356. [Google Scholar] [CrossRef]
- Grujicic, M.; Chittajallu, K.M.; Walsh, S. Effect of shear, compaction and nesting on permeability of the orthogonal plain-weave fabric preforms. Mater. Chem. Phys. 2004, 86, 358–369. [Google Scholar] [CrossRef]
- Tan, H.; Pillai, K.M. Multiscale modeling of unsaturated flow in dual-scale fiber preforms of liquid composite molding I: Isothermal flows. Compos. Part A Appl. Sci. Manuf. 2012, 43, 1–13. [Google Scholar] [CrossRef]
- Parseval, Y.D.; Pillai, K.M.; Advani, S.G. A Simple model for the variation of permeability due to partial saturation in dual scale porous media. Transp. Porous Media 1997, 27, 243–264. [Google Scholar] [CrossRef]
- Valdes-Parada, F.J.; Ochoa-Tapia, J.A.; Alvarez-Ramirez, J. On the effective viscosity for the Darcy–Brinkman equation. Phys. A Stat. Mech. Its Appl. 2007, 385, 69–79. [Google Scholar] [CrossRef]
- Wang, Y.; Grove, S.M. Modelling microscopic flow in woven fabric reinforcements and its application in dual-scale resin infusion modelling. Compos. Part A Appl. Sci. Manuf. 2008, 39, 843–855. [Google Scholar] [CrossRef]
- Rohan, E.; Turjanicová, J.; Lukeš, V. A Darcy-Brinkman model of flow in double porous media—Two-level homogenization and computational modelling. Comput. Struct. 2018, 207, 95–110. [Google Scholar] [CrossRef]
- Karageorghis, A.; Lesnic, D.; Marin, L. The method of fundamental solutions for Brinkman flows. Part I. Exterior domains J. Eng. Math. 2021, 127, 19. [Google Scholar] [CrossRef]
- Alotaibi, H.; Jabbari, M.; Soutis, C. A Numerical analysis of resin flow in woven fabrics: Effect of local tow curvature on dual-scale permeability. Materials 2021, 14, 405. [Google Scholar] [CrossRef]
- Ehlers, W. Darcy, Forchheimer, Brinkman and Richards: Classical hydromechanical equations and their significance in the light of the TPM. Arch. Appl. Mech. 2022, 92, 619–639. [Google Scholar] [CrossRef]
- Muskat, M. The Flow of Homogeneous Fluids Through Porous Media; International Human Resources Development Corporation: Boston, MA, USA, 1982. [Google Scholar]
- Bodaghi, M.; Lomov, S.; Simacek, P.; Correia, N.; Advani, S. On the variability of permeability induced by reinforcement distortions and dual scale flow in liquid composite moulding: A review. Compos. Part A Appl. Sci. Manuf. 2019, 120, 188–210. [Google Scholar] [CrossRef]
- Gascón, L.; García, J.; LeBel, F.; Ruiz, E.; Trochu, F. A two-phase flow model to simulate mold filling and saturation in Resin Transfer Molding. Int. J. Mater. Form. 2016, 9, 229–239. [Google Scholar] [CrossRef]
- Parnas, R.S.; Howard, J.G.; Luce, T.L.; Advani, S.G. Permeability characterization. Part 1: A proposed standard reference fabric for permeability. Polym. Compos. 1995, 16, 429–445. [Google Scholar] [CrossRef]
- Zhong, W.; Xing, M.; Chen, S. A statistic model of mold filling through fibrous structures. J. Compos. Mater. 2004, 38, 1545–1557. [Google Scholar] [CrossRef]













| Case | Parameter | |||||||||
|---|---|---|---|---|---|---|---|---|---|---|
| Mold | Fibrous Medium | Resin | Process | |||||||
| W (m) | L (m) | h (m) | ɛ (−) | k (×10−12 m2) | s (×10−4 s−1) | μ (Pa.s) | Pinj (Pa) | rinj (m) | Pff (Pa) | |
| 01 | 0.15 | 0.32 | 0.0036 | 0.76 | 337.0000 | 0 | 0.33 | 15,000 | 0.003 | 0.0 |
| 02 | 0.15 | 0.32 | 0.0036 | 0.76 | 337.0000 | 0 | 0.33 | 20,000 | 0.003 | 0.0 |
| 03 | 0.15 | 0.32 | 0.0036 | 0.76 | 337.0000 | 0 | 0.33 | 25,000 | 0.003 | 0.0 |
| 04 | 0.15 | 0.32 | 0.0036 | 0.76 | 337.0000 | 0 | 0.33 | 20,000 | 0.002 | 0.0 |
| 05 | 0.15 | 0.32 | 0.0036 | 0.76 | 337.0000 | 0 | 0.33 | 20,000 | 0.001 | 0.0 |
| 06 | 0.15 | 0.32 | 0.0036 | 0.76 | 3.3700 | 0 | 0.33 | 20,000 | 0.003 | 0.0 |
| 07 | 0.15 | 0.32 | 0.0036 | 0.76 | 0.0337 | 0 | 0.33 | 20,000 | 0.003 | 0.0 |
| 08 | 0.15 | 0.32 | 0.0036 | 0.76 | 337.0000 | 5 | 0.33 | 20,000 | 0.003 | 0.0 |
| 09 | 0.15 | 0.32 | 0.0036 | 0.76 | 337.0000 | 10 | 0.33 | 20,000 | 0.003 | 0.0 |
| 10 | 0.15 | 0.32 | 0.0036 | 0.66 | 337.0000 | 0 | 0.33 | 20,000 | 0.003 | 0.0 |
| 11 | 0.15 | 0.32 | 0.0036 | 0.56 | 337.0000 | 0 | 0.33 | 20,000 | 0.003 | 0.0 |
| 12 | 0.15 | 0.32 | 0.0036 | 0.76 | 337.0000 | 0 | 0.43 | 20,000 | 0.003 | 0.0 |
| 13 | 0.15 | 0.32 | 0.0036 | 0.76 | 337.0000 | 0 | 0.53 | 20,000 | 0.003 | 0.0 |
| Pe (mbar) | te (s) | a1 (mbar s−0.25) | a2 (mbar) | a3 (s−1) | a4 (−) | a5 (s−1) |
|---|---|---|---|---|---|---|
| 1888.35 | 281 | 45.20 | 0.18 | −3099.14 | −6960.16 | −352.70 |
| tborder (s) | Parameter | |||||
|---|---|---|---|---|---|---|
| Experimental (A) [9] | Simulated (B) [This Work] | Error (%) = (A − B)/A × 100 | Permeability (m2) [9] | s (s−1) [9] | Permeability (m2) [This Work] | s (s−1) [This Work] |
| 560.00 | 560.50 | 0.09 | 2.00 × 10−11 | 0.0 | 1.48 × 10−11 | 1.0 × 10−7 |
| Case | Parameter | |||||||
|---|---|---|---|---|---|---|---|---|
| t = 230 s | Fibrous Medium | Resin | Process | |||||
| rff (m) | ɛ (−) | k (×10−12 m2) | s (×10−4 s−1) | μ (Pa.s) | Pinj (Pa) | rinj (m) | Pff (Pa) | |
| 01 | 0.06078 | 0.76 | 337.0000 | 0 | 0.33 | 15,000 | 0.003 | 0.0 |
| 02 | 0.06856 | 0.76 | 337.0000 | 0 | 0.33 | 20,000 | 0.003 | 0.0 |
| 03 | 0.07532 | 0.76 | 337.0000 | 0 | 0.33 | 25,000 | 0.003 | 0.0 |
| 04 | 0.06448 | 0.76 | 337.0000 | 0 | 0.33 | 20,000 | 0.002 | 0.0 |
| 05 | 0.05881 | 0.76 | 337.0000 | 0 | 0.33 | 20,000 | 0.001 | 0.0 |
| 06 | 0.01174 | 0.76 | 3.3700 | 0 | 0.33 | 20,000 | 0.003 | 0.0 |
| 07 | 0.00406 | 0.76 | 0.0337 | 0 | 0.33 | 20,000 | 0.003 | 0.0 |
| 08 | 0.06644 | 0.76 | 337.0000 | 5 | 0.33 | 20,000 | 0.003 | 0.0 |
| 09 | 0.06444 | 0.76 | 337.0000 | 10 | 0.33 | 20,000 | 0.003 | 0.0 |
| 10 | 0.07275 | 0.66 | 337.0000 | 0 | 0.33 | 20,000 | 0.003 | 0.0 |
| 11 | 0.07798 | 0.56 | 337.0000 | 0 | 0.33 | 20,000 | 0.003 | 0.0 |
| 12 | 0.06136 | 0.76 | 337.0000 | 0 | 0.43 | 20,000 | 0.003 | 0.0 |
| 13 | 0.05625 | 0.76 | 337.0000 | 0 | 0.53 | 20,000 | 0.003 | 0.0 |
Disclaimer/Publisher’s Note: The statements, opinions and data contained in all publications are solely those of the individual author(s) and contributor(s) and not of MDPI and/or the editor(s). MDPI and/or the editor(s) disclaim responsibility for any injury to people or property resulting from any ideas, methods, instructions or products referred to in the content. |
© 2024 by the authors. Licensee MDPI, Basel, Switzerland. This article is an open access article distributed under the terms and conditions of the Creative Commons Attribution (CC BY) license (https://creativecommons.org/licenses/by/4.0/).
Share and Cite
Oliveira, J.S.; Carvalho, L.H.; Delgado, J.M.P.Q.; Lima, A.G.B.; Pereira, A.S.; Franco, C.M.R.; Chaves, F.S. Applying Resin Radial Injection for Manufacturing Fiber-Reinforced Polymer Composite: Advanced Mathematical Modeling and Simulation. Polymers 2024, 16, 3525. https://doi.org/10.3390/polym16243525
Oliveira JS, Carvalho LH, Delgado JMPQ, Lima AGB, Pereira AS, Franco CMR, Chaves FS. Applying Resin Radial Injection for Manufacturing Fiber-Reinforced Polymer Composite: Advanced Mathematical Modeling and Simulation. Polymers. 2024; 16(24):3525. https://doi.org/10.3390/polym16243525
Chicago/Turabian StyleOliveira, Joel S., Laura H. Carvalho, João M. P. Q. Delgado, Antonio G. B. Lima, Antonildo S. Pereira, Célia M. R. Franco, and Francisco S. Chaves. 2024. "Applying Resin Radial Injection for Manufacturing Fiber-Reinforced Polymer Composite: Advanced Mathematical Modeling and Simulation" Polymers 16, no. 24: 3525. https://doi.org/10.3390/polym16243525
APA StyleOliveira, J. S., Carvalho, L. H., Delgado, J. M. P. Q., Lima, A. G. B., Pereira, A. S., Franco, C. M. R., & Chaves, F. S. (2024). Applying Resin Radial Injection for Manufacturing Fiber-Reinforced Polymer Composite: Advanced Mathematical Modeling and Simulation. Polymers, 16(24), 3525. https://doi.org/10.3390/polym16243525

