Green Recycling for Polypropylene Components by Material Extrusion
Abstract
1. Introduction
2. Materials and Methods
3. Results and Discussions
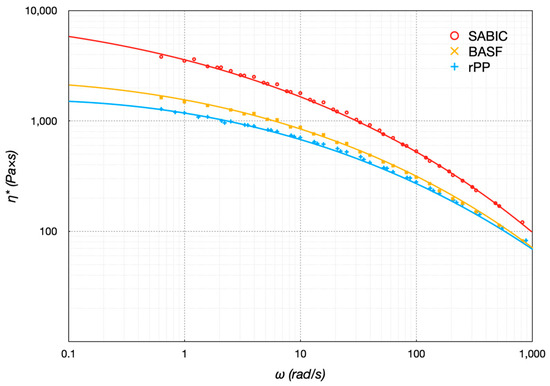
3.1. Material Characterization
3.2. Filament Making
3.3. Three-Dimensional Printing
3.4. Inspection
3.5. Mechanical Testing
4. Conclusions
Author Contributions
Funding
Institutional Review Board Statement
Data Availability Statement
Acknowledgments
Conflicts of Interest
References
- IEA. Global EV Outlook 2024—Moving Towards Increased Affordability; International Energy Agency: Paris, France, 2024; Available online: https://www.iea.org/reports/global-ev-outlook-2024 (accessed on 4 September 2024).
- Kubiczek, J.; Derej, W.; Hadasik, B.; Matuszewska, A. Chemical recycling of plastic waste as a mean to implement the circular economy model in the European Union. J. Clean. Prod. 2023, 406, 136951. [Google Scholar] [CrossRef]
- Lewis, R.; Weldekidan, H.; Rodriguez, A.U.; Mohanty, A.K.; Mielewski, D.F.; Misra, M. Design and engineering of sustainable biocomposites from ocean-recycled polypropylene-based polyolefins reinforced with almond shell and hull. Compos. Part C Open Access 2023, 12, 100373. [Google Scholar] [CrossRef]
- Jung, H.; Shin, G.; Kwak, H.; Hao, L.T.; Jegal, J.; Kim, H.J.; Jeon, H.; Park, J.; Oh, D.X. Review of polymer technologies for improving the recycling and upcycling efficiency of plastic waste. Chemosphere 2023, 320, 138089. [Google Scholar] [CrossRef] [PubMed]
- Bunjes, A.; Arndt, J.-H.; Geertz, G.; Barton, B. Characterization and chemometric modelling of mechanically recycled polypropylene for automotive manufacturing. Polymer 2022, 249, 124823. [Google Scholar] [CrossRef]
- ISO/ASTM 52900; Additive Manufacturing—General Principles—Terminology. ISO: Geneva, Switzerland, 2022.
- Jafferson, J.; Chatterjee, D. A review on polymeric materials in additive manufacturing. Mater. Today Proc. 2021, 46, 1349–1365. [Google Scholar] [CrossRef]
- Jin, M.; Neuber, C.; Schmidt, H.-W. Tailoring polypropylene for extrusion-based additive manufacturing. Addit. Manuf. 2020, 33, 101101. [Google Scholar] [CrossRef]
- Petersmann, S.; Spoerk-Erdely, P.; Feuchter, M.; Wieme, T.; Arbeiter, F.; Spoerk, M. Process-induced morphological features in material extrusion-based additive T manufacturing of polypropylene. Addit. Manuf. 2020, 35, 101384. [Google Scholar] [CrossRef]
- Qu, J.; Huang, Z.; Yang, Z.; Zhang, G.; Yin, X.; Feng, Y.; He, H.; Jin, G.; Wu, T.; He, G.; et al. Industrial-scale polypropylene–polyethylene physical alloying toward recycling. Engineering 2022, 9, 95–100. [Google Scholar] [CrossRef]
- Bertolino, M.; Battegazzore, D.; Arrigo, R.; Frache, A. Designing 3D printable polypropylene: Material and process optimisation through rheology. Addit. Manuf. 2021, 40, 101944. [Google Scholar] [CrossRef]
- Mikula, K.; Skrzypczak, D.; Izydorczyk, G.; Warchoł, J.; Moustakas, K.; Chojnacka, K.; Witek-Krowiak, A. 3D printing filament as a second life of waste plastics—A review. Environ. Sci. Pollut. Res. 2021, 28, 12321–12333. [Google Scholar] [CrossRef]
- Wu, H.; Mehrabi, H.; Karagiannidis, P.; Naveed, N. Additive manufacturing of recycled plastics: Strategies towards a more sustainable future. J. Clean. Prod. 2022, 335, 130236. [Google Scholar] [CrossRef]
- Saikrishnan, S.; Jubinville, D.; Tzoganakis, C.; Mekonnen, T.H. Thermo-mechanical degradation of polypropylene (PP) and low-density polyethylene (LDPE) blends exposed to simulated recycling. Polym. Degrad. Stab. 2020, 182, 109390. [Google Scholar] [CrossRef]
- Matias, Á.A.; Lima, M.S.; Pereira, J.; Pereira, P.; Barros, R.; Coelho, J.F.J.; Serra, A.C. Use of recycled polypropylene/poly(ethylene terephthalate) blends to manufacture water pipes: An industrial scale study. Waste Manag. 2020, 101, 250–258. [Google Scholar] [CrossRef] [PubMed]
- Rodríguez-Liébana, J.; Martín-Lara, M.; Navas-Martos, F.; Peñas-Sanjuan, A.; Godoy, V.; Arjandas, S.; Calero, M. Morpho-structural and thermo-mechanical characterization of recycled polypropylene and polystyrene from mixed post-consumer plastic waste. J. Environ. Chem. Eng. 2022, 10, 108332. [Google Scholar] [CrossRef]
- Di, L.; Yang, Y. Towards closed-loop material flow in additive manufacturing: Recyclability analysis of thermoplastic waste. J. Clean. Prod. 2022, 362, 132427. [Google Scholar] [CrossRef]
- Gijsman, P.; Fiorio, R. Long term thermo-oxidative degradation and stabilization of polypropylene (PP) and the implications for its recyclability. Polym. Degrad. Stab. 2023, 208, 110260. [Google Scholar] [CrossRef]
- Gall, M.; Steinbichler, G.; Lang, R.W. Learnings about design from recycling by using post-consumer polypropylene as a core layer in a co-injection molded sandwich structure product. Mater. Des. 2021, 202, 109576. [Google Scholar] [CrossRef]
- Ho, Q.B.; Kontopoulou, M. Improving the adhesion and properties in the material extrusion of polypropylene by blending with a polyolefin elastomer. Addit. Manuf. 2022, 55, 102818. [Google Scholar] [CrossRef]
- ISO 227-2; Plastics—Determination of Tensile Properties—Part2. ISO: Geneva, Switzerland, 2012.
- Wypych, G. PP polypropylene. In Handbook of Polymers; ChemTec Publishing: Scarborough, ON, Canada, 2012; pp. 479–486. [Google Scholar] [CrossRef]
- Aburatani, R.; Machida, S.; Nakashima, H.; Fujimura, T. Preparation of modified low-melting point polypropylene: Effect of tacticity for modification. Polym. J. 2009, 41, 34–39. [Google Scholar] [CrossRef]
- Bashirgonbadi, A.; Ureel, Y.; Delva, L.; Fiorio, R.; Van Geem, K.M.; Ragaert, K. Accurate determination of polyethylene (PE) and polypropylene (PP) content in polyolefin blends using machine learning-assisted differential scanning calorimetry (DSC) analysis. Polym. Test. 2024, 131, 108353. [Google Scholar] [CrossRef]
- Spekowius, M.; Spina, R.; Hopmann, C. Mesoscale simulation of the solidification process in injection moulded parts. J. Polym. Eng. 2016, 36, 563–573. [Google Scholar] [CrossRef]
- Eagan, J.M.; Xu, J.; Di Girolamo, R.; Thurber, C.M.; Macosko, C.W.; LaPointe, A.M.; Bates, F.S.; Coates, G.W. Combining polyethylene and polypropylene: Enhanced performance with PE/iPP multiblock polymers. Science 2017, 355, 814–816. [Google Scholar] [CrossRef] [PubMed]
- da Costa, H.M.; Ramos, V.D.; Rocha, M.C. Rheological properties of polypropylene during multiple extrusion. Polym. Test. 2005, 24, 86–93. [Google Scholar] [CrossRef]
- Ariff, Z.M.; Ariffin, A.; Jikan, S.S.; Rahim, N.A.A. Rheological Behaviour of Polypropylene Through Extrusion and Capillary Rheometry. In Polypropylene; Dogan, F., Ed.; InTech: Rijeka, Croatia, 2012; ISBN 978-953-51-0636-4. [Google Scholar] [CrossRef]
- Casamento, F.; Padovano, E.; Pappalardo, S.; Frache, A.; Badini, C. Development of polypropylene-based composites through fused filament fabrication: The effect of carbon-based fillers. Compos. Part A Appl. Sci. Manuf. 2023, 164, 107308. [Google Scholar] [CrossRef]
- 3Devo. Recycled PP Report. Available online: https://support.3devo.com/materialreports (accessed on 4 September 2024).
- Reiter, M.; Miron, V.M.; Lämmermann, S.; Freudenthaler, P.J.; Jerabek, M.; Major, Z. Comparing the mechanical properties of additively manufactured post-consumer polypropylene to injection molded specimens. Mater. Today Proc. 2022, 70, 55–60. [Google Scholar] [CrossRef]
- Milovanović, A.; Golubović, Z.; Kirin, S.; Babinský, T.; Šulák, I.; Milošević, M.; Sedmak, A. Manufacturing parameter influence on FDM polypropylene tensile properties. J. Mech. Sci. Technol. 2023, 37, 5541–5547. [Google Scholar] [CrossRef]











| Material | Primary Tmelt (°C) | Secondary Tmelt (°C) | ΔHmelt (J/g) | Tcry (°C) | ΔHcry (J/g) | Xc (%) |
|---|---|---|---|---|---|---|
| SABIC | - | 170.2 | 92.98 | 113.3 | 96.87 | 44.48 |
| BASF | - | 131.8 | 95.66 | 88.8 | 73.11 | 45.77 |
| rPP | 128.6 | 168.9 | 85.44 | 116.8 | 98.43 | 40.88 |
| Range (cm−1) | Group | Class | Intensity |
|---|---|---|---|
| 665–730 | C=C bend | alkane | strong |
| 1330–1420 | O-H bend | alcohol | medium |
| 1390–1365, 1465–1440 | CH3 bend | alkane | medium |
| 2840–3000 | C-H stretch | alkane | medium |
| Parameter | H4 (°C) | H3 (°C) | H2 (°C) | H1 (°C) | Screw Speed (RPM) | Fan Speed (%) |
|---|---|---|---|---|---|---|
| Initial values | 170 | 175 | 175 | 170 | 5 | 20 |
| Final values | 190 | 195 | 195 | 190 | 5 | 100 |
| Material | Young Modulus (GPa) | Yield Stress (MPa) | Yield Strain (-) | Plateau Stress (MPa) | Maximum Strain (-) |
|---|---|---|---|---|---|
| SABIC | 1234 ± 49 | 30.07 ± 2.05 | 0.32 ± 0.02 | 22.5 ± 0.4 | 1.68 ± 0.13 |
| BASF | 1180 ± 20 | 19.88 ± 0.73 | 0.31 ± 0.02 | 15.4 ± 0.2 | - |
| rPP | 1180 ± 35 | 22.71 ± 1.22 | 0.33 ± 0.01 | 16.4 ± 0.3 | 3.49 ± 0.07 |
Disclaimer/Publisher’s Note: The statements, opinions and data contained in all publications are solely those of the individual author(s) and contributor(s) and not of MDPI and/or the editor(s). MDPI and/or the editor(s) disclaim responsibility for any injury to people or property resulting from any ideas, methods, instructions or products referred to in the content. |
© 2024 by the authors. Licensee MDPI, Basel, Switzerland. This article is an open access article distributed under the terms and conditions of the Creative Commons Attribution (CC BY) license (https://creativecommons.org/licenses/by/4.0/).
Share and Cite
Spina, R.; Gurrado, N. Green Recycling for Polypropylene Components by Material Extrusion. Polymers 2024, 16, 3502. https://doi.org/10.3390/polym16243502
Spina R, Gurrado N. Green Recycling for Polypropylene Components by Material Extrusion. Polymers. 2024; 16(24):3502. https://doi.org/10.3390/polym16243502
Chicago/Turabian StyleSpina, Roberto, and Nicola Gurrado. 2024. "Green Recycling for Polypropylene Components by Material Extrusion" Polymers 16, no. 24: 3502. https://doi.org/10.3390/polym16243502
APA StyleSpina, R., & Gurrado, N. (2024). Green Recycling for Polypropylene Components by Material Extrusion. Polymers, 16(24), 3502. https://doi.org/10.3390/polym16243502

