Synthesis and Thiol-Ene Photopolymerization of Bio-Based Hybrid Aromatic–Aliphatic Monomers Derived from Limonene, Cysteamine and Hydroxycinnamic Acid Derivatives
Abstract
1. Introduction
2. Materials and Methods
2.1. Reagents
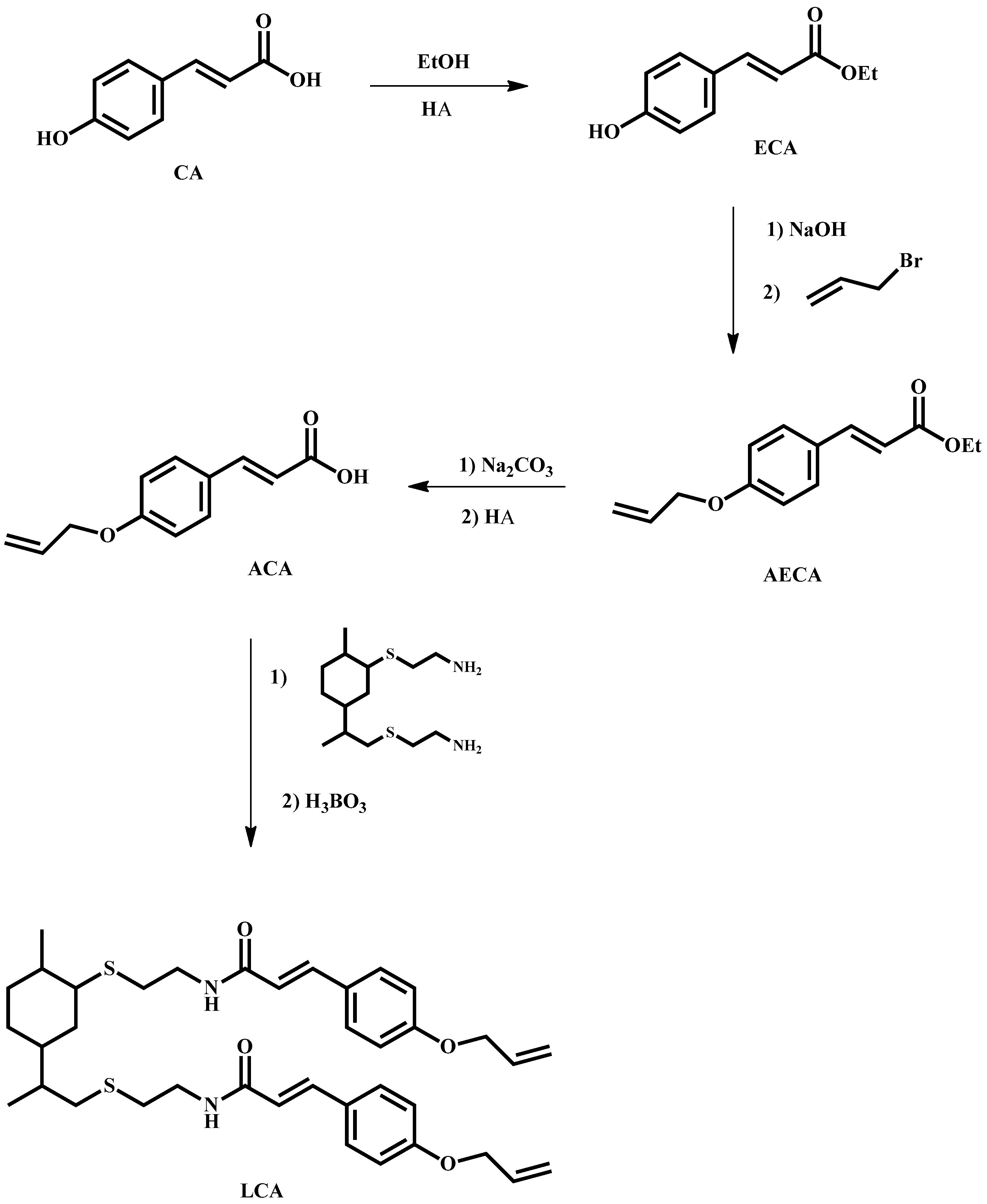
2.2. Synthesis of (E)-3-(4-Allyloxy)phenyl) Acrylic Acid (ACA)
2.3. Synthesis of 2-((2-(3-((2-Aminoethyl)thio)4-methylcyclohexyl)propyl)thio)ethanamine (LC)
2.4. Synthesis of (E)-3-(4-(Allyloxy)phenyl)-N-(2-((2-(3-((2-((E)-3-(4-(allyloxy)phenyl)acrylamido)ethyl)thio)-4-methylcyclohexyl)propyl)thio)ethyl) Acrylamide (LCA)
2.5. Synthesis of (E)-3-(4-(Allyloxy)-3-methoxyphenyl)-N-(2-((2-(3-((2-((E)-3-(4-(allyloxy)-3-methoxyphenyl)acrylamido)ethyl)thio)-4-methylcyclohexyl)propyl)thio)ethyl) Acrylamide (LFA)
2.6. 3-(4-(Allyloxy)phenyl)-N-(2-((2-(3-((2-(3-(4-(allyloxy)phenyl)propanamido)ethyl)thio)-4-methylcyclohexyl)propyl)thio)ethyl) Propanamide (LPA)
2.7. Synthesis of 2,3-Bis(3-Sulfanylpropanoyloxy)propyl 3-sulfanylpropanoate (GTMP)
2.8. Bulk Photopolymerization of Photocurable Formulations
2.9. Characterization of Samples
3. Results
3.1. Synthesis of the Bio-based Monomers
3.2. Photoisomerization and Photocycloaddition of the Enone Double Bonds of the Synthesized Monomers
3.3. Thiol-Ene Photopolymerization
3.4. Tensile Properties of the Prepared Polymers
4. Conclusions
Supplementary Materials
Author Contributions
Funding
Institutional Review Board Statement
Data Availability Statement
Acknowledgments
Conflicts of Interest
References
- Achakulwisut, P.; Erickson, P.; Guivarch, C.; Schaeffer, R.; Brutschin, E.; Pye, S. Global fossil fuel reduction pathways under different climate mitigation strategies and ambitions. Nat. Commun. 2023, 14, 5425. [Google Scholar] [CrossRef] [PubMed]
- Thompson, T. Plastic Pollution: Three problems that a global treaty could solve. Nature 2022, 36447033. [Google Scholar] [CrossRef] [PubMed]
- Rahman, M.R.; Taib, N.-A.A.; Bakri, M.K.B.; Taib, S.N.L. Importance of Sustainable Polymers for Modern Society and Development in Advances in Sustainable Polymer Composites; Rahman, M.R., Ed.; Woodhead Publishing: Cambridge, UK; Elsevier: Amsterdam, The Netherlands, 2021; pp. 1–35. [Google Scholar]
- Wang, Z.; Ganewatta, M.; Tang, C. Sustainable polymers from biomass: Bridging chemistry with materials and processing. Prog. Polym. Sci. 2020, 101, 101197. [Google Scholar] [CrossRef]
- Xie, Y.; Gao, S.; Zhang, D.; Wang, C.; Chu, F. Bio-based polymeric materials synthesized from renewable resources: A mini-review. Resour. Chem. Mater. 2023, 2, 223–230. [Google Scholar] [CrossRef]
- Ganewatta, M.; Wang, Z.; Tang, C. Chemical Syntheses of bioinspired and biomimetic polymers towards biobased materials. Nat. Rev. Chem. 2021, 5, 753–772. [Google Scholar] [CrossRef]
- Ferguson, L.R.; Zhu, S.-T.; Harris, P.J. Antioxidant and antigenotoxic effects of plant cell wall hydroxycinnamic acids in cultured HT-29 cells. Mol. Nutr. Food Res. 2005, 49, 585–593. [Google Scholar] [CrossRef]
- Naczk, M.; Shahidi, F. Phenolics in cereals, fruits and vegetables. J. Pharm. Biomed. Anal. 2006, 41, 1523–1542. [Google Scholar] [CrossRef]
- Pragasam, S.J.; Venkatesan, V.; Rasool, M. Immunomodulatory and anti-inflammatory effect of p-coumaric acid, a common dietary polyphenol on experimental inflammation in rats. Inflammation 2013, 36, 169–176. [Google Scholar] [CrossRef]
- Bouzaiene, N.N.; Jaziri, S.K.; Kovacic, H.; Chekir-Ghedira, L.; Ghedira, K.; Luis, J. The effects of caffeic, coumaric and ferulic acids on proliferation, superoxide production, adhesion and migration of human tumor cells in vitro. Eur. J. Pharmacol. 2015, 766, 99–105. [Google Scholar] [CrossRef]
- Shailasree, S.; Venkataramana, M.; Niranjana, S.R.; Prakash, H.S. Cytotoxic effect of p-coumaric acid on inducing apoptosis and autophagy. Mol. Neurobiol. 2015, 51, 119–130. [Google Scholar] [CrossRef]
- Amalan, V.; Vijayakumar, N.; Indumathi, D.; Ramakrishnan, A. Antidiabetic and antihyperlipidemic activity of p-coumaric acid in diabetic rats, role of pancreatic GLUT 2: In vivo approach. Biomed. Pharmacother. 2016, 84, 230–236. [Google Scholar] [CrossRef] [PubMed]
- Yoon, S.-A.; Kang, S.-I.; Shin, H.-S.; Kang, S.-W.; Kim, J.-H.; Ko, H.-C.; Kim, S.-J. p-Coumaric acid modulates glucose and lipid metabolism via AMP-activated protein kinase in L6 skeletal muscle cells. Biochem. Biophys. Res. Commun. 2013, 432, 553–557. [Google Scholar] [CrossRef] [PubMed]
- An, S.M.; Lee, S.I.; Choi, S.W.; Moon, S.W.; Boo, Y.C. p-Coumaric acid, a constituent of Sasa quelpaertensis Nakai, inhibits cellular melanogenesis stimulated by α-melanocyte stimulating hormone. Br. J. Dermatol. 2008, 159, 292–299. [Google Scholar] [CrossRef] [PubMed]
- An, S.M.; Koh, J.-S.; Boo, Y.C. p-Coumaric acid not only inhibits human tyrosinase activity in vitro but also melanogenesis in cells exposed to UVB. Phytother. Res. 2010, 24, 1175–1180. [Google Scholar] [CrossRef] [PubMed]
- Zhao, Z.; Moghadasian, M.H. Chemistry, natural sources, dietary intake and pharmacokinetic properties of ferulic acid: A review. Food Chem. 2008, 109, 691–702. [Google Scholar] [CrossRef]
- Srinivasan, M.; Sudheer, A.R.; Menon, V.P. Ferulic Acid: Therapeutic Potential Through Its Antioxidant Property. J. Clin. Biochem. Nutr. 2007, 40, 92–100. [Google Scholar] [CrossRef]
- Taofiq, O.; González-Paramás, A.M.; Barreiro, M.F.; Ferreira, I.C.F.R. Hydroxycinnamic Acids and Their Derivatives: Cosmeceutical Significance, Challenges and Future Perspectives, a Review. Molecules 2017, 22, 281. [Google Scholar] [CrossRef]
- Taira, J.; Toyoshima, R.; Ameku, N.; Iguchi, A.; Tamaki, Y. Vanillin production by biotransformation of phenolic compounds in fungus, Aspergillus luchuensis. AMB Express 2018, 8, 1–8. [Google Scholar] [CrossRef]
- Owen, R.W.; Haubner, R.; Mier, W.; Giacosa, A.; Hull, W.E.; Spiegelhalder, B.; Bartsch, H. Isolation, structure elucidation and antioxidant potential of the major phenolic and flavonoid compounds in brined olive drupes. Food Chem. Toxicol. 2003, 41, 703–717. [Google Scholar] [CrossRef]
- Chesson, A.; Stewart, C.S.; Wallace, R.J. Influence of plant phenolic acids on growth and cellulolytic activity of rumen bacteria. Appl. Environ. Microbiol. 1982, 44, 597–603. [Google Scholar] [CrossRef]
- Booth, A.N.; Masri, M.S.; Robbins, D.J.; Emerson, O.H.; Jones, F.T.; Deeds, F. Urinary phenolic acid metabolities of tyrosine. J. Biol. Chem. 1960, 235, 2649–2652. [Google Scholar] [CrossRef]
- Lyu, Y.; Ishida, H. Natural-sourced benzoxazine resins, homopolymers, blends and composites: A review of their synthesis, manufacturing and applications. Prog. Polym. Sci. 2019, 99, 101168. [Google Scholar] [CrossRef]
- Takada, K. Synthesis of biobased functional materials using photoactive cinnamate derivatives. Polym. J. 2023, 55, 1023–1033. [Google Scholar] [CrossRef]
- Hiraishi, N.; Kaneko, D.; Taira, S.; Wang, S.; Otsuki, M.; Tagami, J. Mussel-mimetic, bioadhesive polymers from plant-derived materials. J. Investig. Clin. Dent. 2013, 4, 1–4. [Google Scholar] [CrossRef] [PubMed]
- Upton, B.M.; Kasko, A.M. Biomass-derived poly(ether-amide)s incorporating hydroxycinnamates. Biomacromolecules 2019, 20, 758–766. [Google Scholar] [CrossRef]
- Hoyle, C.E.; Lee, T.Y.; Roper, T. Thiol-ene chemistry: Chemistry of the past with promise for the future. J. Polym. Sci Part A Polym. Chem. 2004, 42, 5301–5338. [Google Scholar] [CrossRef]
- Lowe, A.B. Thiol-ene “click” reactions and recent applications in polymer and materials synthesis. Polym. Chem. 2010, 1, 17–36. [Google Scholar] [CrossRef]
- Hoyle, C.E.; Bowman, C.N. Thiol-ene Click Chemistry. Angew. Chem. Int. Ed. 2010, 49, 1540–1573. [Google Scholar] [CrossRef]
- Kade, M.J.; Burke, B.J.; Hawker, C.J. The power of thiol-ene chemistry. J. Polym. Sci Part. A Polym. Chem. 2010, 48, 743–750. [Google Scholar] [CrossRef]
- Ge, M.; Miao, J.-T.; Zhang, K.; Wu, Y.; Zheng, L.; Wu, L. Building biobased, degradable, flexible polymer networks from vanillin via thiol–ene “click” photopolymerization. Polym. Chem. 2021, 12, 564–571. [Google Scholar] [CrossRef]
- Xue, J.; Yang, X.S.; Ke, Y.; Yan, Z.; Dong, X.; Luo, Y.; Zhang, C. Novel eugenol-based allyl-terminated precursors and their bio-based polymer networks through thiol-ene click reaction. Ind. Crops Prod. 2021, 17, 113956. [Google Scholar] [CrossRef]
- Shibata, M.; Kaito, S.; Yuto, Y. Biobased polymer networks by the thiol-ene photopolymerization of allylated-p-coumaric and caffeic acids. Polym. J. 2019, 51, 461–470. [Google Scholar] [CrossRef]
- Ohno, R.; Sugane, K.; Shibata, M. Thermal and mechanical properties of polymer networks prepared by the thiol-ene reaction of a vanillin/acetone condensate and its related compounds. Eur. Polym. J. 2021, 159, 110738. [Google Scholar] [CrossRef]
- Guzman, D.; Serra, A.; Ramis, X.; Fernandez-Francos, X.; Dela, F.S. Fully renewable thermosets based on eugenol prepared by tiol-click chemistry. React. Funct. Polym. 2019, 136, 153–166. [Google Scholar] [CrossRef]
- Aoyagi, S.; Shimasaki; Teramoto, N.; Shibata, M. Bio-based polymer networks by thiol-ene photopolymerization of allylated L-glutamic acids and L-tyrosines. Eur. Polym. J. 2018, 101, 151–158. [Google Scholar] [CrossRef]
- Acosta, O.R.; Sánchez, H.R.S.; Ledezma, P.A.S.; García, V.A.E. Synthesis of a Curing Agent Derived from Limonene and the Study of its Performance to Polymerize a Biobased Epoxy Resin using the Epoxy/Thiol-Ene Photopolymerization Technique. Polymers 2022, 14, 2192. [Google Scholar] [CrossRef]
- Lechuga, I.V.D.; Acosta, O.R.; Yañez, M.R.; Hernández, J.A.I. Quercetin allylation and thiol-ene click photopolymerization to produce biobased polymer thermosets with robust thermo-mechanical properties. Polym. Int. 2024, 73, 864–873. [Google Scholar] [CrossRef]
- Stanoeva, J.P.; Balshikevska, E.; Stefova, M.; Tusevski, O.; Simic, S.G. Comparison of the Effect of Acids in Solvent Mixtures for Extraction of Phenolic Compounds From Aronia melanocarpa. Nat. Prod. Comm. 2020, 15, 1–10. [Google Scholar]
- Surendran, G.; McAteer, M.; Zanchelli, P.; Dhimitruka, I. Assessment of Hydroxycinnamic Acids Potential for Use as Multifunctional Active Ingredients in Sunscreens, Via a Comparative UV Spectroscopy Analysis. J. Chem Pharm. Res. 2019, 11, 37–44. [Google Scholar]
- Wang, H.-B.; Zhai, B.-C.; Tang, W.-J.; Yu, J.Y.; Song, Q.-H. Photosensitized Z-E isomerization of cinnamate by covalently linked 2-(3’, 4’-dimethoxybenzoyl)benzyl moiety via triplet-triplet energy transfer. Chem. Phys. 2007, 333, 229–235. [Google Scholar] [CrossRef]
- Shindo, Y.; Horie, K.; Mita, I. Photoisomerization of ethyl cinnamate in dilute solutions. J. Photochem. 1984, 26, 175–192. [Google Scholar] [CrossRef]
- Parrino, F.; Di Paola, A.; Laddo, V.; Pibiri, I.; Bellardita, M.; Palmisano, L. Photochemical and photocatalytic isomerization of trans-caffeic acid and cyclization of cis-caffeic acid to esculetin. Appl. Catal. B Environ. 2016, 182, 344–355. [Google Scholar] [CrossRef]
- Promkatkaew, M.; Suramitr, S.; Karpkird, T.; Wanichwecharungruang, S.; Ehara, M.; Hannongbua, S. Photophysical properties and photochemistry of substituted cinnamates and cinnamic acid for UV blocking: Effect of hydroxy, nitro, and fluorosubstitutions at ortho, metha and para positions. Photochem. Photobiol. Sci. 2014, 13, 583–594. [Google Scholar] [CrossRef] [PubMed]
- Fukuyama, T.; Kasakado, T.; Hyodo, M.; Ryu, I. Improved efficiency of photo-induced synthetic reactions enabled by advanced photo flow technologies. Photochem. Photobiol. Sci. 2022, 21, 761–775. [Google Scholar] [CrossRef] [PubMed]
- Wei, H.; Zhu, H.; Li, Q.; Zheng, X. The origin of [2+2] photocycloaddition reaction in the solid state driving ACQ-to-AIE transformation. J. Mater. Chem. C 2024, 12, 2613–2622. [Google Scholar] [CrossRef]
- Manjupriya, R.; Chellapandi, T.; Madhumitha, G.; Roopan, S.M. Recent advances in intramolecular [2+2] photocycloaddition for the synthesis of indoline-based scaffolds. Chem. Heterocycl. Compd. 2023, 59, 106–108. [Google Scholar] [CrossRef]
- Junkers, T. [2+2] Photo-cycloadditions for polymer modification and surface decoration. Eur. Polym. J. 2014, 62, 273–280. [Google Scholar] [CrossRef]
- Hou, S.Y.; Yan, B.C.; Sun, H.D.; Puno, P.T. Recent advances in the application of [2+2] cycloaddition in the chemical synthesis of cyclobutane-containing natural products. Nat. Prod. Bioprospect. 2024, 14, 37. [Google Scholar] [CrossRef]
- Schelkle, K.M.; Bender, M.; Beck, S.; Jeltsch, K.F.; Stolz, S.; Zimmermann, J.; Weitz, R.T.; Pucci, A.; Müllen, K.; Hamburger, M.; et al. Photo-Cross-Linkable Polymeric Optoelectronics Based on the [2+2] Cycloaddition Reaction of Cinnamic Acid. Macromol. 2016, 49, 1518–1522. [Google Scholar] [CrossRef]
- Wang, L.; Qiao, S.B.; Chen, Y.T.; Ma, X.; Wei, W.M.; Zhang, J.; Du, L.; Zhao, Q.H. [2+2] cycloaddition and its photomechanical effects on 1D coordination polymers with reversible amide bonds and coordination site regulation. Chem. Sci. 2024, 15, 3971–3979. [Google Scholar] [CrossRef]
- Kort, R.; Vonk, H.; Xu, X.; Hoff, W.D.; Crielaard, W.; Hellingwerf, K.J. Evidence for trans-cis isomerization of the p-coumaric acid chromophore as the photochemical basis of the photocycle of photoactive yellow protein. FEBS Lett. 1996, 382, 73–78. [Google Scholar] [CrossRef] [PubMed]
- Danylec, B.; Iskander, M. 1H NMR Measurement of the Trans–Cis Photoisomerization of Cinnamic Acid Derivatives. J. Chem. Ed. 2002, 79, 1000–1001. [Google Scholar] [CrossRef]
- Park, S.; Kim, H.; Bang, M.; Um, B.H.; Cha, J.W. A study on the photoisomerization of phenylpropanoids and the differences in their radical scavenging activity using in situ NMR spectroscopy and on-line radical scavenging activity analysis. Appl. Biol. Chem. 2024, 67, 69. [Google Scholar] [CrossRef]
- Poplata, S.; Tröster, A.; Zou, Y.-Q.; Bach, T. Recent Advances in the synthesis of cyclobutanes by olefin [2+2] Photocycloaddition Reactions. Chem. Rev. 2016, 116, 9748–9815. [Google Scholar] [CrossRef] [PubMed]
- Pattabiraman, M.; Kaanumalle, L.S.; Natarajan, A.; Ramamurty, V. Regioselective Photodimerization of Cinnamic Acids in water: Templation with Cucurbiturils. Langmuir 2006, 22, 7605–7609. [Google Scholar] [CrossRef]
- Pezzana, L.; Melilli, G.; Delliere, P.; Moraru, D.; Guigo, N.; Sbirrazzuoli, N.; Sangermano, M. Thiol-Ene biobased networks: Furan allyl derivatives for green coating applications. Prog. Org. Coat. 2022, 173, 107203. [Google Scholar] [CrossRef]
- Pezzana, L.; Sangermano, M. Fully biobased UV-cured thiol-ene coatings. Prog. Org. Coat. 2021, 157, 106295. [Google Scholar] [CrossRef]
- Larsen, D.B.; Sønderbæk-Jørgensen, R.; Duus, J.Ø.; Daugaard, A.E. Investigation of curing rates of bio-based thiol-ene films from diallyl 2,5-furandicaboxylate. Eur. Polym. J. 2018, 102, 1–8. [Google Scholar] [CrossRef]
- Ullrich, M.; Weinelt, F.; Winnacker, M. Biobased Polyamides: Academic and Industrial Aspects for Their Development and Applications. In Synthetic Biodegradable and Biobased Polymers; Künkel, A., Battagliarin, G., Winnacker, M., Rieger, B., Coates, G., Eds.; Advances in Polymer Science; Springer: Amsterdam, The Netherlands, 2022; Volume 293. [Google Scholar]
- Backfolk, K.; Holmes, R.; Ihalainen, P.; Sirvio, P.; Triantafillopoulos, N.; Peltonen, J. Determination of glass transition temperatures of latex films: Comparison of various methods. Polym. Test. 2007, 26, 1031–1040. [Google Scholar] [CrossRef]
- Gracia-Fernandez, C.A.; Gomez-Barreiro, S.; Lopez-Beceiro, J.; Tarrio Saavedra, J.; Naya, S.; Artiaga, R. Comparative study of the dynamic glass transition temperature by DMA and TMDSC. Polym. Test. 2010, 29, 1002–1006. [Google Scholar] [CrossRef]











| Formulation | LCA | LFA | LPA | GTMP | DMPA | |||||
|---|---|---|---|---|---|---|---|---|---|---|
| g | mol | g | mol | g | mol | g | mol | g | mol | |
| LCA:GTMP 1.5:1.0 | 0.20 | 3 × 10−4 | ------ | ------ | ----- | ------ | 0.07 | 2 × 10−4 | 3 × 10−4 | 2 × 10−6 |
| LCA:GTMP 1.0:1.33 | 0.20 | 3 × 10−4 | ------ | ------ | ----- | ------ | 0.14 | 4 × 10−4 | 8 × 10−4 | 3 × 10−6 |
| LFA:GTMP 1.5:1.0 | ----- | ------ | 0.20 | 3 × 10−4 | ----- | ------ | 0.06 | 2 × 10−4 | 3 × 10−4 | 2 × 10−6 |
| LFA:GTMP 1.0:1.33 | ----- | ------ | 0.20 | 3 × 10−4 | ----- | ------ | 0.13 | 4 × 10−4 | 8 × 10−4 | 3 × 10−6 |
| LPA:GTMP 1.5:1.0 | ----- | ------ | ------ | ------ | 0.20 | 3 × 10−4 | 0.07 | 2 × 10−4 | 5 × 10−4 | 2 × 10−6 |
| Sample | G′glassy (MPa) | Tg (DMA) (°C) | G′rubbery (MPa) | r mol/m3 | Tg (DSC) (°C) | Gel (%) | T5% (°C) |
|---|---|---|---|---|---|---|---|
| LCA:GTMP 1.5:1 | 920 | 84 | 6.34 | 624 | 62 | 99 | 308 |
| LCA:GTMP 1:1.33 | 1344 | 61 | 12.40 | 1294 | 45 | 99 | 308 |
| LFA:GTMP 1.5:1 | 860 | 85 | 4.61 | 663 | 62 | 99 | 295 |
| LFA:GTMP 1:1.33 | 1037 | 74 | 7.85 | 792 | 57 | 99 | 290 |
| LPA:GTMP 1.5:1 | 414 | 39 | 2 | 221 | 22 | 90 | 297 |
Disclaimer/Publisher’s Note: The statements, opinions and data contained in all publications are solely those of the individual author(s) and contributor(s) and not of MDPI and/or the editor(s). MDPI and/or the editor(s) disclaim responsibility for any injury to people or property resulting from any ideas, methods, instructions or products referred to in the content. |
© 2024 by the authors. Licensee MDPI, Basel, Switzerland. This article is an open access article distributed under the terms and conditions of the Creative Commons Attribution (CC BY) license (https://creativecommons.org/licenses/by/4.0/).
Share and Cite
Acosta Ortiz, R.; Robles Olivares, J.L.; Yañez Macias, R. Synthesis and Thiol-Ene Photopolymerization of Bio-Based Hybrid Aromatic–Aliphatic Monomers Derived from Limonene, Cysteamine and Hydroxycinnamic Acid Derivatives. Polymers 2024, 16, 3295. https://doi.org/10.3390/polym16233295
Acosta Ortiz R, Robles Olivares JL, Yañez Macias R. Synthesis and Thiol-Ene Photopolymerization of Bio-Based Hybrid Aromatic–Aliphatic Monomers Derived from Limonene, Cysteamine and Hydroxycinnamic Acid Derivatives. Polymers. 2024; 16(23):3295. https://doi.org/10.3390/polym16233295
Chicago/Turabian StyleAcosta Ortiz, Ricardo, Jorge Luis Robles Olivares, and Roberto Yañez Macias. 2024. "Synthesis and Thiol-Ene Photopolymerization of Bio-Based Hybrid Aromatic–Aliphatic Monomers Derived from Limonene, Cysteamine and Hydroxycinnamic Acid Derivatives" Polymers 16, no. 23: 3295. https://doi.org/10.3390/polym16233295
APA StyleAcosta Ortiz, R., Robles Olivares, J. L., & Yañez Macias, R. (2024). Synthesis and Thiol-Ene Photopolymerization of Bio-Based Hybrid Aromatic–Aliphatic Monomers Derived from Limonene, Cysteamine and Hydroxycinnamic Acid Derivatives. Polymers, 16(23), 3295. https://doi.org/10.3390/polym16233295

