Click Chemistry for Well-Defined Graft Copolymers
Abstract
1. Introduction
2. Synthetic Procedures for Graft Copolymers
2.1. Grafting-From Method
2.2. Grafting-Onto Method
2.3. Grafting-Through Method
3. Click Chemistry for Synthesis of Graft Copolymers
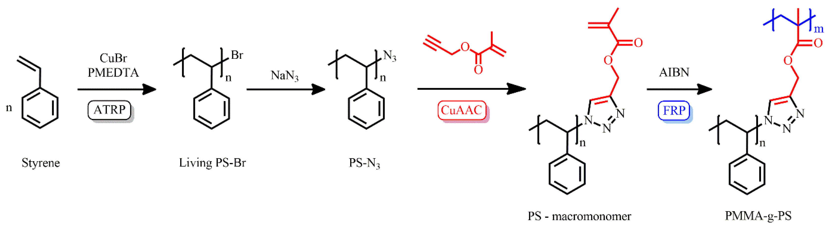
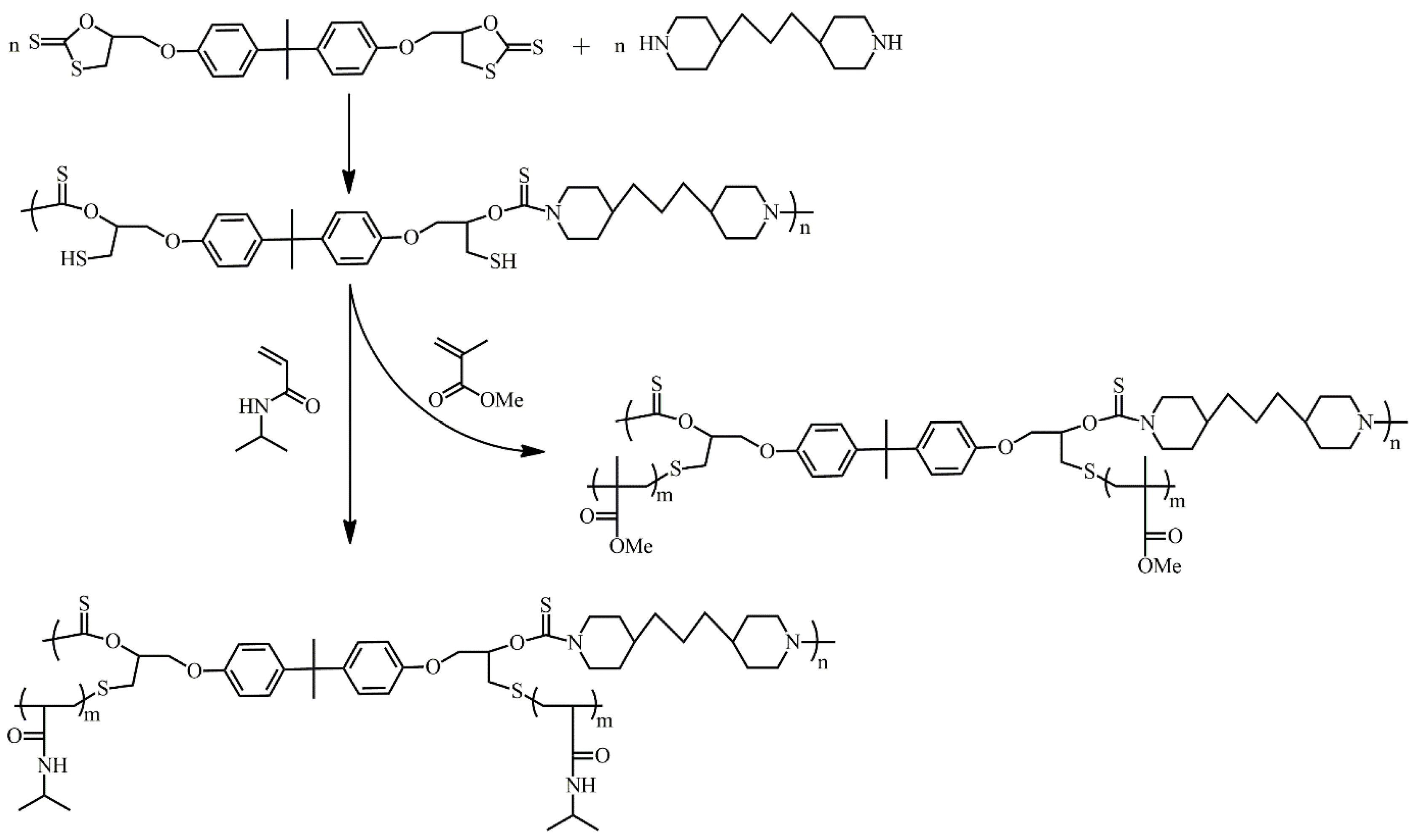
3.1. Cu-Catalyzed Azide-Alkyne Cycloaddition Click Reaction
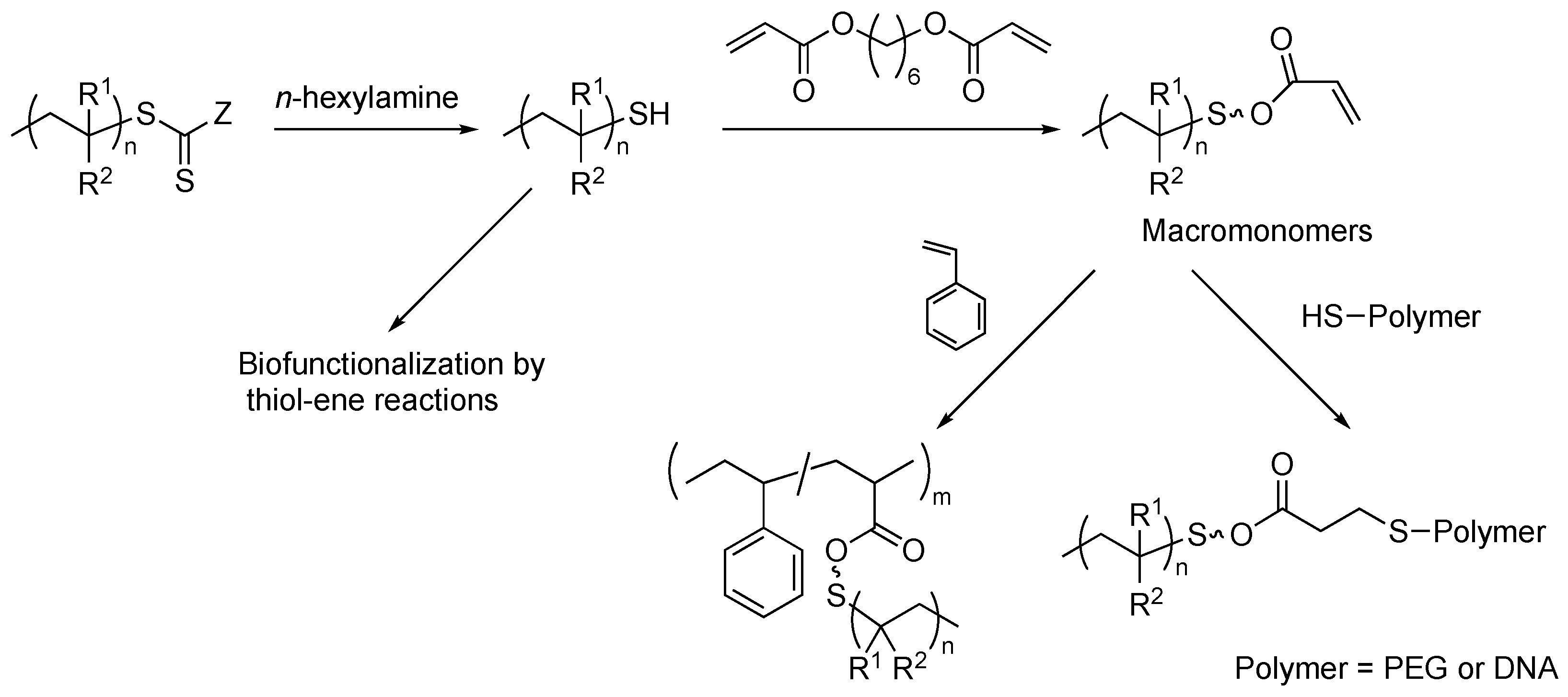
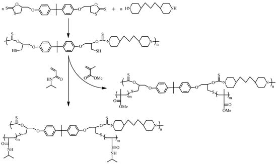
3.2. Thiol-Ene Click Reaction
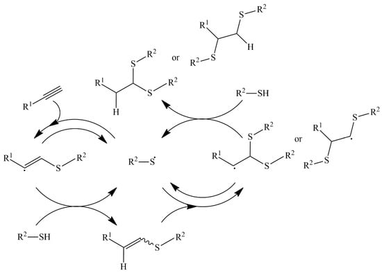
3.3. Thiol-Yne Click Reaction
4. Conclusions
Author Contributions
Funding
Data Availability Statement
Conflicts of Interest
References
- Matyjaszewski, K.; Davis, K.A. (Eds.) Statistical, Gradient, Block and Graft Copolymers by Controlled/Living Radical Polymerizations; Springer: Berlin/Heidelberg, Germany, 2002. [Google Scholar]
- Saldívar-Guerra, E.; Vivaldo-Lima, E. (Eds.) Handbook of Polymer Synthesis, Characterization, and Processing; John Wiley & Sons: Hoboken, NJ, USA, 2013. [Google Scholar]
- Williams, P.A. (Ed.) Handbook of Industrial Water Soluble Polymers; John Wiley & Sons: Hoboken, NJ, USA, 2008. [Google Scholar]
- Liu, Y.; Sun, J.; Zhang, P.; He, Z. Amphiphilic polysaccharide-hydrophobicized graft polymeric micelles for drug delivery nanosystems. Curr. Med. Chem. 2011, 18, 2638–2648. [Google Scholar] [CrossRef] [PubMed]
- Liu, F.; Wang, D.; Zhang, M.; Ma, L.; Yu, C.-Y.; Wei, H. Synthesis of enzyme-responsive theranostic amphiphilic conjugated bottlebrush copolymers for enhanced anticancer drug delivery. Acta Biomater. 2022, 144, 15–31. [Google Scholar] [CrossRef] [PubMed]
- Kalia, S.; Sabaa, M.W. (Eds.) Polysaccharide Based Graft Copolymers; Springer: Berlin/Heidelberg, Germany, 2013. [Google Scholar]
- Zhao, B.; Zhu, L. Mixed polymer brush-grafted particles: A new class of environmentally responsive nanostructured materials. Macromolecules 2009, 42, 9369–9383. [Google Scholar] [CrossRef]
- Zehm, D.; Laschewsky, A.; Gradzielski, M.; Prévost, S.; Liang, H.; Rabe, J.P.; Schweins, R.; Gummel, J. Amphiphilic dual brush block copolymers as “giant surfactants” and their aqueous self-assembly. Langmuir 2010, 26, 3145–3155. [Google Scholar] [CrossRef]
- Li, Y.; Zou, J.; Das, B.P.; Tsianou, M.; Cheng, C. Well-defined amphiphilic double-brush copolymers and their performance as emulsion surfactants. Macromolecules 2012, 45, 4623–4629. [Google Scholar] [CrossRef]
- Gupta, S.; Singh, P.; Moghadas, B.; Grim, B.J.; Kodibagkar, V.D.; Green, M.D. Synthesis of PEG and quaternary ammonium grafted silicone copolymers as nanoemulsifiers. ACS Appl. Polym. Mater. 2020, 2, 1856–1864. [Google Scholar] [CrossRef]
- Durkin, T.J.; Barua, B.; Savagatrup, S. Modification of amphiphilic block copolymers for responsive and biologically active surfactants in complex droplets. Giant 2022, 13, 100134. [Google Scholar] [CrossRef]
- Poisson, J.; Hudson, Z.M. Luminescent surface-tethered polymer brush materials. Chem. Eur. J. 2022, 28, e202200552. [Google Scholar] [CrossRef]
- Thompson, K.A.; Mayder, D.M.; Tonge, C.M.; Sauvé, E.R.; Lefeaux, H.R.; Hudson, Z.M. A grafting-from strategy for the synthesis of bottlebrush nanofibers from organic semiconductors. Can. J. Chem. 2022, 101, 118–125. [Google Scholar] [CrossRef]
- Polgar, A.M.; Poisson, J.; Christopherson, C.J.; Hudson, Z.M. Enhancement of red thermally assisted fluorescence in bottlebrush block copolymers. Macromolecules 2021, 54, 7880–7889. [Google Scholar] [CrossRef]
- Wang, W.; Wang, W.; Li, H.; Lu, X.; Chen, J.; Kang, N.-G.; Zhang, Q.; Mays, J. Synthesis and characterization of graft copolymers poly(isoprene-g-styrene) of high molecular weight by a combination of anionic polymerization and emulsion polymerization. Ind. Eng. Chem. Res. 2015, 54, 1292–1300. [Google Scholar] [CrossRef]
- Wang, S.; Cheng, Z.; Zhu, J.; Zhang, Z.; Zhu, X. Synthesis of amphiphilic and thermosensitive graft copolymers with fluorescence P (St-co-(p-CMS))-g-PNIPAAM by combination of NMP and RAFT methods. J. Polym. Sci. Part A Polym. Chem. 2007, 45, 5318–5328. [Google Scholar] [CrossRef]
- Zehm, D.; Laschewsky, A.; Liang, H.; Rabe, J.P. Straightforward access to amphiphilic dual bottle brushes by combining RAFT, ATRP, and NMP polymerization in one sequence. Macromolecules 2011, 44, 9635–9641. [Google Scholar] [CrossRef]
- Barsbay, M.; Güven, O. A short review of radiation-induced raft-mediated graft copolymerization: A powerful combination for modifying the surface properties of polymers in a controlled manner. Rad. Phys. Chem. 2009, 78, 1054–1059. [Google Scholar] [CrossRef]
- Shahrokhinia, A.; Biswas, P.; Reuther, J.F. Orthogonal synthesis and modification of polymer materials. J. Polym. Sci. 2021, 59, 1748–1786. [Google Scholar] [CrossRef]
- Vebr, A.; Dallegre, M.; Autissier, L.; Drappier, C.; Le Jeune, K.; Gigmes, D.; Kermagoret, A. Nitroxide mediated radical polymerization for the preparation of poly(vinyl chloride) grafted poly(acrylate) copolymers. Polym. Chem. 2022, 13, 3275–3283. [Google Scholar] [CrossRef]
- Matyjaszewski, K.; Davis, T.P. (Eds.) Handbook of Radical Polymerization; John Wiley & Sons: Hoboken, NJ, USA, 2002. [Google Scholar]
- Geng, Z.; Shin, J.J.; Xi, Y.; Hawker, C.J. Click chemistry strategies for the accelerated synthesis of functional macromolecules. J. Polym. Sci. 2021, 59, 963–1042. [Google Scholar] [CrossRef]
- Arslan, M.; Tasdelen, M.A. Click chemistry in macromolecular design: Complex architectures from functional polymers. Chem. Afr. 2019, 2, 195–214. [Google Scholar] [CrossRef]
- Akeroyd, N.; Klumperman, B. The combination of living radical polymerization and click chemistry for the synthesis of advanced macromolecular architectures. Eur. Polym. J. 2011, 47, 1207–1231. [Google Scholar] [CrossRef]
- Kolb, H.C.; Finn, M.; Sharpless, K.B. Click chemistry: Diverse chemical function from a few good reactions. Angew. Chem. Int. Ed. 2001, 40, 2004–2021. [Google Scholar] [CrossRef]
- Jiang, X.; Hao, X.; Jing, L.; Wu, G.; Kang, D.; Liu, X.; Zhan, P. Recent applications of click chemistry in drug discovery. Expert Opin. Drug Discov. 2019, 14, 779–789. [Google Scholar] [CrossRef] [PubMed]
- Brown, T.; Nordén, B. Nobel Prize 2022 to Sharpless, Meldal, Bertozzi Click chemistry–molecular lego. Q. Rev. Biophys. 2022, 5, e13. [Google Scholar] [CrossRef] [PubMed]
- Worch, J.C.; Dove, A.P. Click step-growth polymerization and E/Z stereochemistry using nucleophilic thiol–yne/–ene reactions: Applying old concepts for practical sustainable (bio)materials. Acc. Chem. Res. 2022, 55, 2355–2369. [Google Scholar] [CrossRef] [PubMed]
- Vivek, A.; Dhamodharan, R. Grafting of methacrylates and styrene on to polystyrene backbone via a “grafting from” ATRP process at ambient temperature. J. Polym. Sci. Part A Polym. Chem. 2007, 45, 3818–3832. [Google Scholar] [CrossRef]
- Candau, F.; Afchar-Taromi, F.; Rempp, P. Synthesis and characterization of polystyrene-poly(ethylene oxide) graft copolymers. Polymer 1977, 18, 1253–1257. [Google Scholar] [CrossRef]
- Matyjaszewski, K.; Beers, K.L.; Kern, A.; Gaynor, S.G. Hydrogels by atom transfer radical polymerization. I. Poly(N-vinylpyrrolidinone-g-styrene) via the macromonomer method. J. Polym. Sci. Part A Polym. Chem. 1998, 36, 823–830. [Google Scholar] [CrossRef]
- Fierens, S.K.; D’hooge, D.R.; van Steenberge, P.H.; Reyniers, M.-F.; Marin, G.B. MAMA-SG1 initiated nitroxide mediated polymerization of styrene: From Arrhenius parameters to model-based design. Chem. Eng. J. 2015, 278, 407–420. [Google Scholar] [CrossRef]
- Gao, H.; Matyjaszewski, K. Synthesis of molecular brushes by “grafting onto” method: Combination of ATRP and click reactions. J. Am. Chem. Soc. 2007, 129, 6633–6639. [Google Scholar] [CrossRef]
- Gan, W.; Shi, Y.; Jing, B.; Cao, X.; Zhu, Y.; Gao, H. Produce molecular brushes with ultrahigh grafting density using accelerated CuAAC grafting-onto strategy. Macromolecules 2017, 50, 215–222. [Google Scholar] [CrossRef]
- Obhi, N.K.; Peda, D.M.; Kynaston, E.L.; Seferos, D.S. Exploring the graft-to synthesis of all-conjugated comb copolymers using azide−alkyne click chemistry. Macromolecules 2018, 51, 2969–2978. [Google Scholar] [CrossRef]
- Vogt, A.P.; Sumerlin, B.S. An efficient route to macromonomers via ATRP and click chemistry. Macromolecules 2006, 39, 5286–5292. [Google Scholar] [CrossRef]
- Schiefer, D.; Hanselmann, R.; Sommer, M. All-conjugated P3HT donor PCDTBT acceptor graft copolymers synthesised via a grafting through approach. Polym. Chem. 2017, 8, 4368–4377. [Google Scholar] [CrossRef]
- Ochiai, B.; Kato, Y.; Endo, T. One-pot synthesis of graft copolymer by combination of free radical polymerization and polyaddition. Macromolecules 2009, 42, 8001–8002. [Google Scholar] [CrossRef]
- Ochiai, B.; Tsuda, K. Selective capture of Pd2+ by graft copolymer bearing LCST graft chain and metal adsorbing stem chain. J. Polym. Sci. Part A Polym. Chem. 2019, 57, 2383–2386. [Google Scholar] [CrossRef]
- Yu, Y.; Ma, Y.; Yin, J.; Zhang, C.; Feng, G.; Zhang, Y.; Meng, J. Tuning the micro-phase separation of the PES-g-PEG comb-like copolymer membrane for efficient CO2 separation. Sep. Purif. Technol. 2021, 265, 118465. [Google Scholar] [CrossRef]
- Kwon, D.-S.; Gong, S.H.; Yun, S.; Jeong, D.; Je, J.; Kim, H.J.; Kim, S.-O.; Kim, H.-S.; Shim, J. Regulating Na electrodeposition by sodiophilic grafting onto porosity-gradient gel polymer electrolytes for dendrite-free sodium metal batteries. ACS Appl. Mater. Interfaces 2022, 14, 47650–47658. [Google Scholar] [CrossRef]
- Moad, G.; Rizzardo, E.; Thang, S.H. End-functional polymers, thiocarbonylthio group removal/transformation and reversible addition–fragmentation–chain transfer (RAFT) polymerization. Polym. Int. 2011, 60, 9–25. [Google Scholar] [CrossRef]
- Altinbasak, I.; Arslan, M.; Sanyal, R.; Sanyal, A. Pyridyl disulfide-based thiol–disulfide exchange reaction: Shaping the design of redox-responsive polymeric materials. Polym. Chem. 2020, 11, 7603–7624. [Google Scholar] [CrossRef]
- Lowe, A.B. Thiol-ene “click” reactions and recent applications in polymer and materials synthesis. Polym. Chem. 2010, 1, 17–36. [Google Scholar] [CrossRef]
- Xu, J.; He, J.; Fan, D.; Wang, X.; Yang, Y. Aminolysis of polymers with thiocarbonylthio termini prepared by RAFT polymerization: The difference between polystyrene and polymethacrylates. Macromolecules 2006, 39, 8616–8624. [Google Scholar] [CrossRef]
- Boyer, C.; Granville, A.; Davis, T.P.; Bulmus, V.J. Modification of RAFT-polymers via thiol-ene reactions: A general route to functional polymers and new architectures. J. Polym. Sci. Part A Polym. Chem. 2009, 47, 3773–3794. [Google Scholar] [CrossRef]
- Curole, B.J.; Broussard, W.J.; Nadeem, A.; Grayson, S.M. Dithiol-yne polymerization: Comb polymers with poly(ethylene glycol) side chains. ACS Polym. Au 2023, 3, 70–81. [Google Scholar] [CrossRef]
- Al Samad, A.; Bakkour, Y.; Fanny, C.; El Omar, F.; Coudane, J.; Nottelet, B.J. From nanospheres to micelles: Simple control of PCL-g-PEG copolymers’ amphiphilicity through thiol–yne photografting. Polym. Chem. 2015, 6, 5093–5102. [Google Scholar] [CrossRef]
- Sprafke, J.K.; Spruell, J.M.; Mattson, K.M.; Montarnal, D.; McGrath, A.J.; Pötzsch, R.; Miyajima, D.; Hu, J.; Latimer, A.A.; Voit, B.I. Revisiting thiol-yne chemistry: Selective and efficient monoaddition for block and graft copolymer formation. J. Polym. Sci. Part A Polym. Chem. 2015, 53, 319–326. [Google Scholar] [CrossRef]
- Zanon, M.; Montalvillo-Jiménez, L.; Bosch, P.; Cue-López, R.; Martínez-Campos, E.; Sangermano, M.; Chiappone, A. Photocurable thiol–yne alginate hydrogels for regenerative medicine purposes. Polymers 2022, 14, 4709. [Google Scholar] [CrossRef]
- Atanase, L.I.; Debrieres, J.; Riess, G. Micellization of synthetic and polysaccharides-based graft copolymers in aqueous media. Progr. Polym. Sci. 2017, 73, 32–60. [Google Scholar] [CrossRef]




















Disclaimer/Publisher’s Note: The statements, opinions and data contained in all publications are solely those of the individual author(s) and contributor(s) and not of MDPI and/or the editor(s). MDPI and/or the editor(s) disclaim responsibility for any injury to people or property resulting from any ideas, methods, instructions or products referred to in the content. |
© 2024 by the authors. Licensee MDPI, Basel, Switzerland. This article is an open access article distributed under the terms and conditions of the Creative Commons Attribution (CC BY) license (https://creativecommons.org/licenses/by/4.0/).
Share and Cite
Ali, M.F.; Ochiai, B. Click Chemistry for Well-Defined Graft Copolymers. Polymers 2024, 16, 3275. https://doi.org/10.3390/polym16233275
Ali MF, Ochiai B. Click Chemistry for Well-Defined Graft Copolymers. Polymers. 2024; 16(23):3275. https://doi.org/10.3390/polym16233275
Chicago/Turabian StyleAli, Muhammad Faizan, and Bungo Ochiai. 2024. "Click Chemistry for Well-Defined Graft Copolymers" Polymers 16, no. 23: 3275. https://doi.org/10.3390/polym16233275
APA StyleAli, M. F., & Ochiai, B. (2024). Click Chemistry for Well-Defined Graft Copolymers. Polymers, 16(23), 3275. https://doi.org/10.3390/polym16233275

