Improving Thermo-Sealing of Poly(3-hydroxybutyrate-co-3-hydroxyvalerate) by Blending with Polycaprolactone
Abstract
1. Introduction
2. Materials and Methods
2.1. Materials
2.2. Obtaining Films
2.3. Characterisation of the Film Properties
2.3.1. Thermal Analysis
2.3.2. Microstructure
2.3.3. Barrier and Tensile Properties
2.3.4. Optical Properties
2.3.5. Fourier Transform Infrared (FTIR) Spectroscopy
2.3.6. Determination of the Sealing Strength
2.3.7. Statistical Analysis
3. Results and Discussion
3.1. Morphology and Structure of Films
3.2. Thermal Behaviour
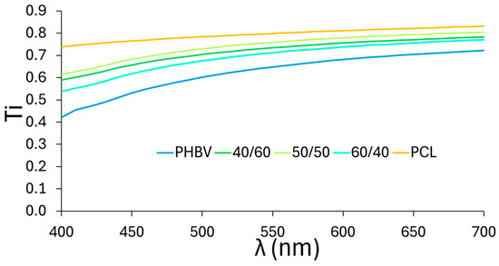
3.3. Mechanical, Barrier, and Optical Properties
3.4. Heat Sealing of the Films
4. Conclusions
Author Contributions
Funding
Institutional Review Board Statement
Informed Consent Statement
Data Availability Statement
Conflicts of Interest
References
- White, A.; Lockyer, S. Removing Plastic Packaging from Fresh Produce—What’s the Impact? Nutr. Bull. 2020, 45, 35–50. [Google Scholar] [CrossRef]
- Wang, J.; Peng, J.; Tan, Z.; Gao, Y.; Zhan, Z.; Chen, Q.; Cai, L. Microplastics in the Surface Sediments from the Beijiang River Littoral Zone: Composition, Abundance, Surface Textures and Interaction with Heavy Metals. Chemosphere 2017, 171, 248–258. [Google Scholar] [CrossRef] [PubMed]
- Barboza, L.G.A.; Gimenez, B.C.G. Microplastics in the Marine Environment: Current Trends and Future Perspectives. Mar. Pollut. Bull. 2015, 97, 5–12. [Google Scholar] [CrossRef] [PubMed]
- Walther, B.A.; Kusui, T.; Yen, N.; Hu, C.-S.; Lee, H. Plastic Pollution in East Asia: Macroplastics and Microplastics in the Aquatic Environment and Mitigation Efforts by Various Actors. In Plastics in the Aquatic Environment-Part I: Current Status and Challenges; Springer: Cham, Switzerland, 2020; pp. 353–403. [Google Scholar]
- Andrady, A.L. Microplastics in the Marine Environment. Mar. Pollut. Bull. 2011, 62, 1596–1605. [Google Scholar] [CrossRef]
- Velis, C.A.; Cook, E. Mismanagement of Plastic Waste through Open Burning with Emphasis on the Global South: A Systematic Review of Risks to Occupational and Public Health. Environ. Sci. Technol. 2021, 55, 7186–7207. [Google Scholar] [CrossRef]
- Simoneit, B.R.T.; Medeiros, P.M.; Didyk, B.M. Combustion Products of Plastics as Indicators for Refuse Burning in the Atmosphere. Environ. Sci. Technol. 2005, 39, 6961–6970. [Google Scholar] [CrossRef]
- Bonnenfant, C.; Gontard, N.; Aouf, C. PHBV-Based Polymers as Food Packaging: Physical-Chemical and Structural Stability under Reuse Conditions. Polymer 2023, 270, 125784. [Google Scholar] [CrossRef]
- Kamrit, P.; Seadan, M.; Suttiruengwong, S. Barrier and Seal Properties of Reactive Blending of Poly (Butylene Succinate) Based Blends. Suan Sunandha Sci. Technol. J. 2022, 9, 22–30. [Google Scholar] [CrossRef]
- Plastics Europe AISBL. Plastics—The Fast Facts 2023. Available online: https://plasticseurope.org/knowledge-hub/plastics-the-fast-facts-2023/ (accessed on 19 November 2024).
- European Bioplastics. Bioplastics Market Development Update 2023. Available online: https://www.european-bioplastics.org/market/ (accessed on 19 November 2024).
- Dokl, M.; Copot, A.; Krajnc, D.; Fan, Y.V.; Vujanović, A.; Aviso, K.B.; Tan, R.R.; Kravanja, Z.; Čuček, L. Global Projections of Plastic Use, End-of-Life Fate and Potential Changes in Consumption, Reduction, Recycling and Replacement with Bioplastics to 2050. Sustain. Prod. Consum. 2024, 51, 498–518. [Google Scholar] [CrossRef]
- Narayanan, M.; Loganathan, S.; Valapa, R.B.; Thomas, S.; Varghese, T.O. UV Protective Poly(Lactic Acid)/Rosin Films for Sustainable Packaging. Int. J. Biol. Macromol. 2017, 99, 37–45. [Google Scholar] [CrossRef]
- Wu, F.; Misra, M.; Mohanty, A.K. Challenges and New Opportunities on Barrier Performance of Biodegradable Polymers for Sustainable Packaging. Prog. Polym. Sci. 2021, 117, 101395. [Google Scholar] [CrossRef]
- Lee, S.Y. Bacterial Polyhydroxyalkanoates. Biotechnol. Bioeng. 1996, 49, 1–14. [Google Scholar] [CrossRef]
- Kaur, L.; Khajuria, R.; Parihar, L.; Dimpal Singh, G. Polyhydroxyalkanoates: Biosynthesis to Commercial Production—A Review. J. Microbiol. Biotechnol. Food. Sci. 2017, 6, 1098–1106. [Google Scholar] [CrossRef]
- Kalia, V.C.; Singh Patel, S.K.; Shanmugam, R.; Lee, J.-K. Polyhydroxyalkanoates: Trends and Advances toward Biotechnological Applications. Bioresour. Technol. 2021, 326, 124737. [Google Scholar] [CrossRef] [PubMed]
- Sabapathy, P.C.; Devaraj, S.; Meixner, K.; Anburajan, P.; Kathirvel, P.; Ravikumar, Y.; Zabed, H.M.; Qi, X. Recent Developments in Polyhydroxyalkanoates (PHAs) Production—A Review. Bioresour. Technol. 2020, 306, 123132. [Google Scholar] [CrossRef] [PubMed]
- Zhong, Y.; Godwin, P.; Jin, Y.; Xiao, H. Biodegradable Polymers and Green-Based Antimicrobial Packaging Materials: A Mini-Review. Adv. Ind. Eng. Polym. Res. 2020, 3, 27–35. [Google Scholar] [CrossRef]
- Atarés, L.; Chiralt, A.; González-Martínez, C.; Vargas, M. Production of Polyhydroxyalkanoates for Biodegradable Food Packaging Applications Using Haloferax Mediterranei and Agrifood Wastes. Foods 2024, 13, 950. [Google Scholar] [CrossRef]
- Moll, E.; González-Martínez, C.; Chiralt, A. Release and Antibacterial Action of Phenolic Acids Incorporated into PHBV Films. Food Packag. Shelf Life 2023, 38, 101112. [Google Scholar] [CrossRef]
- Wang, Y.; Chen, R.; Cai, J.; Liu, Z.; Zheng, Y.; Wang, H.; Li, Q.; He, N. Biosynthesis and Thermal Properties of PHBV Produced from Levulinic Acid by Ralstonia Eutropha. PLoS ONE 2013, 8, e60318. [Google Scholar] [CrossRef]
- Modi, S.; Koelling, K.; Vodovotz, Y. Assessment of PHB with Varying Hydroxyvalerate Content for Potential Packaging Applications. Eur. Polym. J. 2011, 47, 179–186. [Google Scholar] [CrossRef]
- Koller, M.; Maršálek, L.; de Sousa Dias, M.M.; Braunegg, G. Producing Microbial Polyhydroxyalkanoate (PHA) Biopolyesters in a Sustainable Manner. New Biotechnol. 2017, 37, 24–38. [Google Scholar] [CrossRef] [PubMed]
- Policastro, G.; Luongo, V.; Fabbricino, M. Biohydrogen and Poly-β-Hydroxybutyrate Production by Winery Wastewater Photofermentation: Effect of Substrate Concentration and Nitrogen Source. J. Environ. Manag. 2020, 271, 111006. [Google Scholar] [CrossRef] [PubMed]
- Policastro, G.; Panico, A.; Fabbricino, M. Improving Biological Production of Poly(3-Hydroxybutyrate-Co-3-Hydroxyvalerate) (PHBV) Co-Polymer: A Critical Review. Rev. Environ. Sci. Biotechnol. 2021, 20, 479–513. [Google Scholar] [CrossRef]
- Shang, L.; Yim, S.C.; Park, H.G.; Chang, H.N. Sequential Feeding of Glucose and Valerate in a Fed-Batch Culture of Ralstonia Eutropha for Production of Poly(Hydroxybutyrate-Co-Hydroxyvalerate) with High 3-Hydroxyvalerate Fraction. Biotechnol. Prog. 2008, 20, 140–144. [Google Scholar] [CrossRef] [PubMed]
- Feijoo, P.; Mohanty, A.K.; Rodriguez-Uribe, A.; Gámez-Pérez, J.; Cabedo, L.; Misra, M. Biodegradable Blends from Bacterial Biopolyester PHBV and Bio-Based PBSA: Study of the Effect of Chain Extender on the Thermal, Mechanical and Morphological Properties. Int. J. Biol. Macromol. 2023, 225, 1291–1305. [Google Scholar] [CrossRef]
- Feijoo, P.; Samaniego-Aguilar, K.; Sánchez-Safont, E.; Torres-Giner, S.; Lagaron, J.M.; Gamez-Perez, J.; Cabedo, L. Development and Characterization of Fully Renewable and Biodegradable Polyhydroxyalkanoate Blends with Improved Thermoformability. Polymers 2022, 14, 2527. [Google Scholar] [CrossRef]
- Lajewski, S.; Mauch, A.; Geiger, K.; Bonten, C. Rheological Characterization and Modeling of Thermally Unstable Poly(3-Hydroxybutyrate-Co-3-Hydroxyvalerate) (PHBV). Polymers 2021, 13, 2294. [Google Scholar] [CrossRef]
- Garcia-Garcia, D.; Ferri, J.M.; Boronat, T.; Lopez-Martinez, J.; Balart, R. Processing and Characterization of Binary Poly(Hydroxybutyrate) (PHB) and Poly(Caprolactone) (PCL) Blends with Improved Impact Properties. Polym. Bull. 2016, 73, 3333–3350. [Google Scholar] [CrossRef]
- Zytner, P.; Wu, F.; Misra, M.; Mohanty, A.K. Toughening of Biodegradable Poly(3-Hydroxybutyrate-Co-3-Hydroxyvalerate)/Poly(ε-Caprolactone) Blends by In Situ Reactive Compatibilization. ACS Omega 2020, 5, 14900–14910. [Google Scholar] [CrossRef]
- González-Ausejo, J.; Sanchez-Safont, E.; Lagaron, J.M.; Olsson, R.T.; Gamez-Perez, J.; Cabedo, L. Assessing the Thermoformability of Poly(3-Hydroxybutyrate-Co-3-Hydroxyvalerate)/Poly(Acid Lactic) Blends Compatibilized with Diisocyanates. Polym. Test. 2017, 62, 235–245. [Google Scholar] [CrossRef]
- Szegda, D.; Duangphet, S.; Song, J.; Tarverdi, K. Extrusion Foaming of PHBV. J. Cell. Plast. 2014, 50, 145–162. [Google Scholar] [CrossRef]
- Zembouai, I.; Kaci, M.; Bruzaud, S.; Benhamida, A.; Corre, Y.-M.; Grohens, Y. A Study of Morphological, Thermal, Rheological and Barrier Properties of Poly(3-Hydroxybutyrate-Co-3-Hydroxyvalerate)/Polylactide Blends Prepared by Melt Mixing. Polym. Test. 2013, 32, 842–851. [Google Scholar] [CrossRef]
- Al Hosni, A.S.; Pittman, J.K.; Robson, G.D. Microbial Degradation of Four Biodegradable Polymers in Soil and Compost Demonstrating Polycaprolactone as an Ideal Compostable Plastic. Waste Manag. 2019, 97, 105–114. [Google Scholar] [CrossRef]
- Ortega-Toro, R.; Contreras, J.; Talens, P.; Chiralt, A. Physical and Structural Properties and Thermal Behaviour of Starch-Poly(ɛ-Caprolactone) Blend Films for Food Packaging. Food Packag. Shelf Life 2015, 5, 10–20. [Google Scholar] [CrossRef]
- Herrera-Kao, W.A.; Loría-Bastarrachea, M.I.; Pérez-Padilla, Y.; Cauich-Rodríguez, J.V.; Vázquez-Torres, H.; Cervantes-Uc, J.M. Thermal Degradation of Poly(Caprolactone), Poly(Lactic Acid), and Poly(Hydroxybutyrate) Studied by TGA/FTIR and Other Analytical Techniques. Polym. Bull. 2018, 75, 4191–4205. [Google Scholar] [CrossRef]
- Mofokeng, J.P.; Luyt, A.S. Morphology and Thermal Degradation Studies of Melt-Mixed Poly(Hydroxybutyrate-Co-Valerate) (PHBV)/Poly(ε-Caprolactone) (PCL) Biodegradable Polymer Blend Nanocomposites with TiO2 as Filler. J. Mater. Sci. 2015, 50, 3812–3824. [Google Scholar] [CrossRef]
- Chun, Y.S.; Kim, W.N. Thermal Properties of Poly(Hydroxybutyrate-Co-Hydroxyvalerate) and Poly(ϵ-Caprolactone) Blends. Polymer 2000, 41, 2305–2308. [Google Scholar] [CrossRef]
- Katsumata, K.; Saito, T.; Yu, F.; Nakamura, N.; Inoue, Y. The Toughening Effect of a Small Amount of Poly(ɛ-Caprolactone) on the Mechanical Properties of the Poly(3-Hydroxybutyrate-Co-3-Hydroxyhexanoate)/PCL Blend. Polym. J. 2011, 43, 484–492. [Google Scholar] [CrossRef]
- Nishida, M.; Yasuda, K.; Nishida, M. Correlative Analysis between Morphology and Mechanical Properties of Poly-3-Hydroxybutyrate (PHB) Blended with Polycarprolactone (PCL) Using Solid-State NMR. Polym. Test. 2020, 91, 106780. [Google Scholar] [CrossRef]
- American Society for Testing Materials. Annual Book of ASTM Standards E 96/E 96M-05: Standard Test Methods for Water Vapor Transmission of Materials; American Society for Testing Materials: West Conshohocken, PA, USA, 2009. [Google Scholar]
- American Society for Testing Materials. D3985-05: Standard Test Method for Oxygen Gas Transmission Rate Through Plastic Film and Sheeting Using a Coulometric Sensor; Annual Book of ASTM Standards; American Society for Testing Materials: West Conshohocken, PA, USA, 2010; pp. 1–7. [Google Scholar] [CrossRef]
- American Society for Testing Materials. D882: Standard Test Method for Tensile Properties of Thin Plastic Sheeting; Annual Book of ASTM Standards; American Society for Testing Materials: West Conshohocken, PA, USA, 2002; Volume 14. [Google Scholar]
- Hutchings, J.B. Food and Colour Appearance, Chapman and Hall Food Science Book, 2nd ed.; Aspen Publication: Gaithersburg, MD, USA, 1999. [Google Scholar]
- Moll, E.; Chiralt, A. Polyhydroxybutyrate-Co-Hydroxyvalerate (PHBV) with Phenolic Acids for Active Food Packaging. Polymers 2023, 15, 4222. [Google Scholar] [CrossRef]
- ASTM F88/F88M-23; Standard Test Method for Seal Strength of Flexible Barrier Materials 1. American Society for Testing Materials: West Conshohocken, PA, USA, 2023; Volume 15. [CrossRef]
- Liu, H.; Gao, Z.; Hu, X.; Wang, Z.; Su, T.; Yang, L.; Yan, S. Blending Modification of PHBV/PCL and Its Biodegradation by Pseudomonas Mendocina. J. Polym. Environ. 2017, 25, 156–164. [Google Scholar] [CrossRef]
- He, L.; Liu, B.; Xipeng, G.; Xie, G.; Liao, S.; Quan, D.; Cai, D.; Lu, J.; Ramakrishna, S. Microstructure and Properties of Nano-Fibrous PCL-b-PLLA Scaffolds for Cartilage Tissue Engineering. Eur. Cell Mater. 2009, 18, 63–74. [Google Scholar] [CrossRef] [PubMed]
- Elzein, T.; Nasser-Eddine, M.; Delaite, C.; Bistac, S.; Dumas, P. FTIR Study of Polycaprolactone Chain Organization at Interfaces. J. Colloid Interface Sci. 2004, 273, 381–387. [Google Scholar] [CrossRef] [PubMed]
- Singh, S.; Mohanty, A.K.; Sugie, T.; Takai, Y.; Hamada, H. Renewable Resource Based Biocomposites from Natural Fiber and Polyhydroxybutyrate-Co-Valerate (PHBV) Bioplastic. Compos. Part A Appl. Sci. Manuf. 2008, 39, 875–886. [Google Scholar] [CrossRef]
- Gonçalves, S.P.C.; Martins-Franchetti, S.M.; Chinaglia, D.L. Biodegradation of the Films of PP, PHBV and Its Blend in Soil. J. Polym. Environ. 2009, 17, 280–285. [Google Scholar] [CrossRef]
- Biscaia, S.I.; Viana, T.F.; Almeida, H.A.; Bártolo, P.J. Production and Characterisation of PCL/ES Scaffolds for Bone Tissue Engineering. Mater. Today Proc. 2015, 2, 208–216. [Google Scholar] [CrossRef]
- Kaniuk, Ł.; Ferraris, S.; Spriano, S.; Luxbacher, T.; Krysiak, Z.; Berniak, K.; Zaszczynska, A.; Marzec, M.M.; Bernasik, A.; Sajkiewicz, P.; et al. Time-Dependent Effects on Physicochemical and Surface Properties of PHBV Fibers and Films in Relation to Their Interactions with Fibroblasts. Appl. Surf. Sci. 2021, 545, 148983. [Google Scholar] [CrossRef]
- Elzubair, A.; Elias, C.N.; Suarez, J.C.M.; Lopes, H.P.; Vieira, M.V.B. The Physical Characterization of a Thermoplastic Polymer for Endodontic Obturation. J. Dent. 2006, 34, 784–789. [Google Scholar] [CrossRef]
- Miguel, O.; Egiburu, J.L.; Iruin, J.J. Blends of Bacterial Poly(3-Hydroxybutyrate) with Synthetic Poly(3-Hydroxybutyrate) and Poly(Epichlorohydrin): Transport Properties of Carbon Dioxide and Water Vapour. Polymer 2001, 42, 953–962. [Google Scholar] [CrossRef]
- Tampau, A.; González-Martínez, C.; Chiralt, A. Release Kinetics and Antimicrobial Properties of Carvacrol Encapsulated in Electrospun Poly-(ε-Caprolactone) Nanofibres. Application in Starch Multilayer Films. Food Hydrocoll. 2018, 79, 158–169. [Google Scholar] [CrossRef]
- Hinuber, C.; Haussler, L.; Vogel, R.; Brunig, H.; Heinrich, G.; Werner, C. Hollow Fibers Made from a Poly(3-Hydroxybutyrate)/Poly-ε-Caprolactone Blend. Express Polym. Lett. 2011, 5, 643–652. [Google Scholar] [CrossRef]
- Erceg, T.; Rackov, S.; Terek, P.; Pilić, B. Preparation and Characterization of PHBV/PCL-Diol Blend Films. Polymers 2023, 15, 4694. [Google Scholar] [CrossRef] [PubMed]
- Furushima, Y.; Schick, C.; Toda, A. Crystallization, Recrystallization, and Melting of Polymer Crystals on Heating and Cooling Examined with Fast Scanning Calorimetry. Polym. Cryst. 2018, 1, e10005. [Google Scholar] [CrossRef]
- Gunaratne, L.M.W.K.; Shanks, R.A. Multiple Melting Behaviour of Poly(3-Hydroxybutyrate-Co-Hydroxyvalerate) Using Step-Scan DSC. Eur. Polym. J. 2005, 41, 2980–2988. [Google Scholar] [CrossRef]
- Tubio, C.R.; Valle, X.; Carvalho, E.; Moreira, J.; Costa, P.; Correia, D.M.; Lanceros-Mendez, S. Poly(3-Hydroxybutyrate-Co-3-Hydroxyvalerate) Blends with Poly(Caprolactone) and Poly(Lactic Acid): A Comparative Study. Polymers 2023, 15, 4566. [Google Scholar] [CrossRef]
- Zhuravlev, E.; Schmelzer, J.W.P.; Wunderlich, B.; Schick, C. Kinetics of Nucleation and Crystallization in Poly(ɛ-Caprolactone) (PCL). Polymer 2011, 52, 1983–1997. [Google Scholar] [CrossRef]
- Cavalcante, M.P.; Toledo, A.L.M.M.; Rodrigues, E.J.R.; Neto, R.P.C.; Tavares, M.I.B. Correlation between Traditional Techniques and TD-NMR to Determine the Morphology of PHB/PCL Blends. Polym. Test. 2017, 58, 159–165. [Google Scholar] [CrossRef]
- Crétois, R.; Follain, N.; Dargent, E.; Soulestin, J.; Bourbigot, S.; Marais, S.; Lebrun, L. Microstructure and Barrier Properties of PHBV/Organoclays Bionanocomposites. J. Memb. Sci. 2014, 467, 56–66. [Google Scholar] [CrossRef]
- Sanchez-Garcia, M.D.; Gimenez, E.; Lagaron, J.M. Morphology and Barrier Properties of Nanobiocomposites of Poly(3-hydroxybutyrate) and Layered Silicates. J. Appl. Polym. Sci. 2008, 108, 2787–2801. [Google Scholar] [CrossRef]
- Ortega-Toro, R.; Morey, I.; Talens, P.; Chiralt, A. Active Bilayer Films of Thermoplastic Starch and Polycaprolactone Obtained by Compression Molding. Carbohydr. Polym. 2015, 127, 282–290. [Google Scholar] [CrossRef]
- Sanchez-Garcia, M.D.; Gimenez, E.; Lagaron, J.M. Morphology and Barrier Properties of Solvent Cast Composites of Thermoplastic Biopolymers and Purified Cellulose Fibers. Carbohydr. Polym. 2008, 71, 235–244. [Google Scholar] [CrossRef]
- Intawiwat, N.; Myhre, E.; Øysæd, H.; Jamtvedt, S.H.; Pettersen, M.K. Packaging Materials with Tailor Made Light Transmission Properties for Food Protection. Polym. Eng. Sci. 2012, 52, 2015–2024. [Google Scholar] [CrossRef]
- Bamps, B.; Buntinx, M.; Peeters, R. Seal Materials in Flexible Plastic Food Packaging: A Review. Packag. Technol. Sci. 2023, 36, 507–532. [Google Scholar] [CrossRef]
- Bamps, B.; Guimaraes, R.M.M.; Duijsters, G.; Hermans, D.; Vanminsel, J.; Vervoort, E.; Buntinx, M.; Peeters, R. Characterizing Mechanical, Heat Seal, and Gas Barrier Performance of Biodegradable Films to Determine Food Packaging Applications. Polymers 2022, 14, 2569. [Google Scholar] [CrossRef] [PubMed]
- La Fuente Arias, C.I.; González-Martínez, C.; Chiralt, A. Lamination of Starch/Polyesters by Thermocompression for Food Packaging Purposes. Sustain. Food Technol. 2023, 1, 296–305. [Google Scholar] [CrossRef]
- Borisova, I.; Stoilova, O.; Manolova, N.; Rashkov, I. Modulating the Mechanical Properties of Electrospun PHB/PCL Materials by Using Different Types of Collectors and Heat Sealing. Polymers 2020, 12, 693. [Google Scholar] [CrossRef]
- Najarzadeh, Z.; Tabasi, R.Y.; Ajji, A. Sealability and Seal Characteristics of PE/EVA and PLA/PCL Blends. Int. Polym. Process. 2014, 29, 95–102. [Google Scholar] [CrossRef]







| 1st Heating | ||||||
| Formulation | Tm PCL | ∆Hm (J/gPCL) | χc PCL (%) | Tm PHBV | ∆Hm (J/gPHBV) | χc PHBV (%) |
| PCL | 55 ± 2 a | 68 ± 3 a | 49 ± 3 a | -- | -- | -- |
| 40–60 | 53 ± 2 a | 68 ± 6 a | 49 ± 4 a | 168 ± 1 b | 88 ± 1 a | 67 ± 1 a |
| 50–50 | 54 ± 1 a | 71 ± 1 a | 51 ± 1 a | 169 ± 1 ab | 85 ± 5 a | 64 ± 4 a |
| 60–40 | 55 ± 3 b | 69 ± 1 a | 50 ± 1 a | 171 ± 1 ab | 86 ± 4 a | 65 ± 3 a |
| PHBV | -- | -- | 171 ± 0 a | 90 ± 0 a | 68 ± 0 a | |
| 2nd Heating | ||||||
| Formulation | Tm PCL | ∆Hm (J/gPCL) | χc PCL (%) | Tm PHBV | ∆Hm (J/gPHBV) | χc PHBV (%) |
| PCL | 55.2 ± 0.1 b | 68.8 ± 1.4 ab | 49.4 ± 1.0 ab | -- | -- | -- |
| 40–60 | 55.8 ± 0.1 ab | 69.1 ± 0.9 a | 49.6 ± 0.6 a | 166.6 ± 0.2 b | 93.7 ± 1.9 a | 71.0 ± 1.5 a |
| 50–50 | 56.0 ± 0.2 ab | 62.7 ± 1.9 b | 45.0 ± 1.3 b | 166.9 ± 0.0 b | 90.7 ± 0.2 ab | 68.7 ± 0.2 ab |
| 60–40 | 56.8 ± 1.0 a | 66.8 ± 1.7 ab | 48.0 ± 1.2 ab | 167.7 ± 0.9 b | 88.7 ± 1.9 b | 67.2 ± 1.4 b |
| PHBV | -- | -- | 169.7 ± 0.6 a | 94.4 ± 0.1 a | 71.5 ± 0.1 a | |
| Film | WVP·1012 | LP·1014 | OP·1013 | EM | TS | E |
|---|---|---|---|---|---|---|
| (g/m·s·Pa) | (g/Pa·s·m) | (cm3/m·s·Pa) | (MPa) | (MPa) | (%) | |
| PHBV | 4.1 ± 0.4 c | 1.1 ± 0.5 d | 2.2 ± 0.2 b | 1350 ± 110 a | 33 ± 5 a | 2.7 ± 0.9 b |
| 60/40 | 5.9 ± 0.8 bc | 6.7 ± 1.8 c | 2.4 ± 0.2 b | 1030 ± 120 b | 17 ± 2 b | 1.8 ± 0.3 c |
| 50/50 | 13.0 ± 5.0 b | 18.1 ± 1.2 b | 5.1 ± 0.4 a | 700 ± 200 c | 12 ± 4 c | 2.7 ± 0.6 b |
| 40/60 | 29.0 ± 7.0 a | 32.0 ± 9.0 a | 5.3 ± 0.4 a | 560 ± 60 c | 15 ± 2 bc | 4.0 ± 0.8 a |
| PCL | 84.5 ± 13.3 | 185.0 ± 20.0 | 114.6 ± 13.4 | 190 ± 30 | -- | -- |
| L* | Cab* | hab* | |
|---|---|---|---|
| PHBV | 75.3 ± 3.1 c | 19.4 ± 0.2 a | 80.0 ± 2.0 b |
| 60–40 | 75.9 ± 0.7 c | 17.8 ± 0.4 b | 81.2 ± 0.8 b |
| 50–50 | 77.6 ± 0.2 b | 16.8 ± 0.3 c | 81.9 ± 0.2 b |
| 40–60 | 78.1 ± 0.3 b | 15.4 ± 0.3 d | 82.5 ± 0.1 b |
| PCL | 89.7 ± 0.8 a | 1.6 ± 0.2 e | 237.5 ± 51.8 a |
| 1st Heating | ||||||
| Formulation | Tm PCL | ∆Hm (J/gPCL) | χc PCL (%) | Tm PHBV | ∆Hm (J/gPHBV) | χc PHBV (%) |
| 40–60 | 64.0 ± 0.9 a | 81.0 ± 3.0 a | 58.0 ± 2.0 a | 170.0 ± 0.5 a | 82.1 ± 2.2 a | 62.2 ± 1.7 a |
| 50–50 | 63.8 ± 0.5 a | 79.3 ± 0.4 a | 56.9 ± 0.3 a | 170.0 ± 1.1 a | 80.2 ± 1.9 ab | 60.8 ± 1.4 ab |
| 60–40 | 63.6 ± 0.5 a | 73.0 ± 4.0 b | 52.0 ± 3.0 b | 170.1 ± 0.6 a | 79.0 ± 3.0 b | 57.0 ± 3.0 b |
| 2nd Heating | ||||||
| Formulation | Tm PCL | ∆Hm (J/gPCL) | χc PCL (%) | Tm PHBV | ∆Hm (J/gPHBV) | χc PHBV (%) |
| 40–60 | 56.8 ± 0.1 a | 68.0 ± 1.5 a | 48.8 ± 1.0 a | 167.6 ± 0.2 a | 84.0 ± 3.0 ab | 63.0 ± 3.0 ab |
| 50–50 | 56.7 ± 0.5 a | 64.1 ± 2.0 a | 47.5 ± 1.4 a | 167.7 ± 0.4 a | 86.0 ± 4.0 a | 65.0 ± 3.0 a |
| 60–40 | 57.0 ± 0.3 a | 55.0 ± 4.0 b | 47.0 ± 3.0 b | 168.1 ± 0.2 a | 79.6 ± 1.9 b | 60.3 ± 1.4 b |
Disclaimer/Publisher’s Note: The statements, opinions and data contained in all publications are solely those of the individual author(s) and contributor(s) and not of MDPI and/or the editor(s). MDPI and/or the editor(s) disclaim responsibility for any injury to people or property resulting from any ideas, methods, instructions or products referred to in the content. |
© 2024 by the authors. Licensee MDPI, Basel, Switzerland. This article is an open access article distributed under the terms and conditions of the Creative Commons Attribution (CC BY) license (https://creativecommons.org/licenses/by/4.0/).
Share and Cite
Moll, E.; Chiralt, A. Improving Thermo-Sealing of Poly(3-hydroxybutyrate-co-3-hydroxyvalerate) by Blending with Polycaprolactone. Polymers 2024, 16, 3255. https://doi.org/10.3390/polym16233255
Moll E, Chiralt A. Improving Thermo-Sealing of Poly(3-hydroxybutyrate-co-3-hydroxyvalerate) by Blending with Polycaprolactone. Polymers. 2024; 16(23):3255. https://doi.org/10.3390/polym16233255
Chicago/Turabian StyleMoll, Eva, and Amparo Chiralt. 2024. "Improving Thermo-Sealing of Poly(3-hydroxybutyrate-co-3-hydroxyvalerate) by Blending with Polycaprolactone" Polymers 16, no. 23: 3255. https://doi.org/10.3390/polym16233255
APA StyleMoll, E., & Chiralt, A. (2024). Improving Thermo-Sealing of Poly(3-hydroxybutyrate-co-3-hydroxyvalerate) by Blending with Polycaprolactone. Polymers, 16(23), 3255. https://doi.org/10.3390/polym16233255

