High Modulus Epoxy/GO-PANI Self-Healing Materials Without Catalyst by Molecular Engineering and Nanocomposite Fabrication
Abstract
1. Introduction
2. Materials and Methods
2.1. Materials
2.2. Preparation GO and GO-PANI
2.3. Characterization GO and GO-PANI
2.4. Synthesis of Self-Healing Epoxy/GO-PANI Nanocomposite
2.5. Characterization of Self-Healing Epoxy/GO-PANI Nanocomposite
2.6. Self-Healing Experiments
3. Results and Discussion
3.1. Characterization of GO and GO-PANI
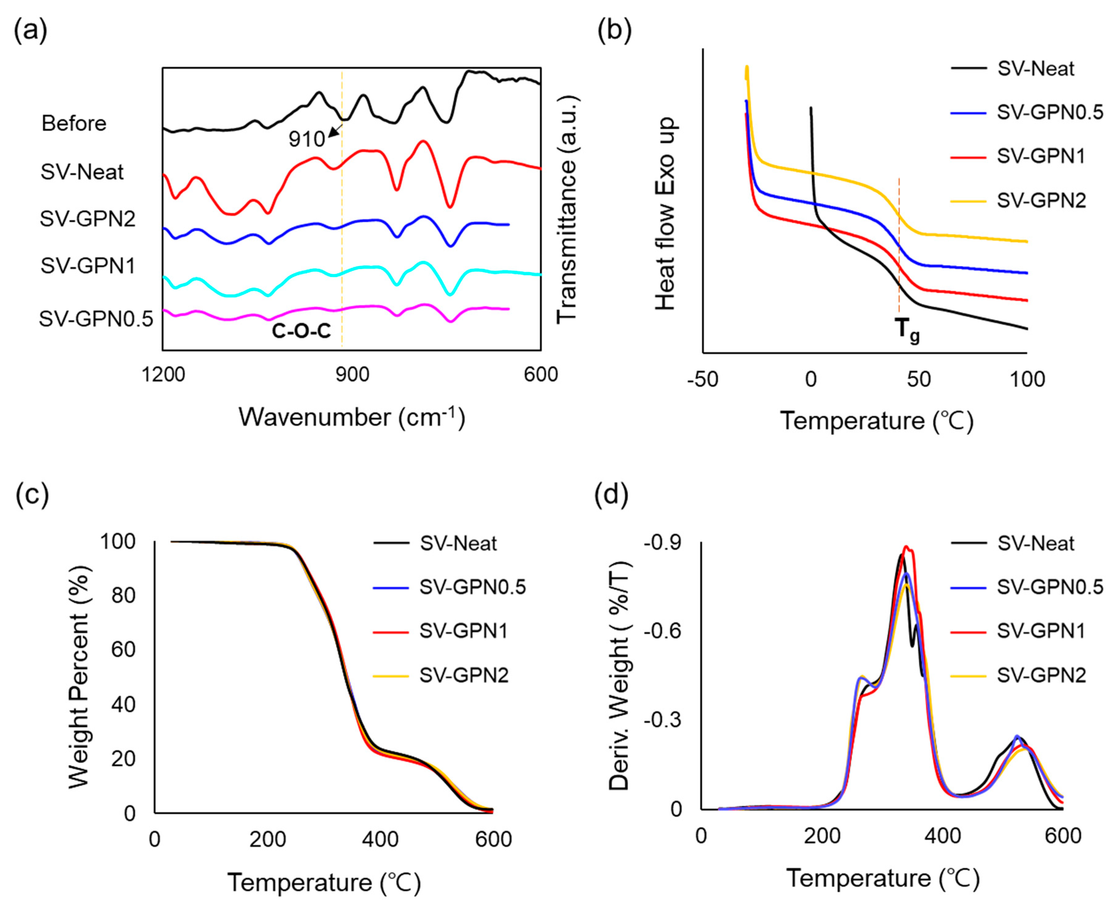
3.2. Characterization of Resin and Nanocomposites
3.3. Self-Healing Experiments
4. Conclusions
Supplementary Materials
Author Contributions
Funding
Institutional Review Board Statement
Data Availability Statement
Conflicts of Interest
References
- Kanu, N.J.; Gupta, E.; Vates, U.K.; Singh, G.K. Self-healing composites: A state-of-the-art review. Compos. Part A Appl. Sci. Manuf. 2019, 121, 474–486. [Google Scholar] [CrossRef]
- Wang, S.; Urban, M.W. Self-healing polymers. Nat. Rev. Mater. 2020, 5, 562–583. [Google Scholar] [CrossRef]
- Oh, J.Y.; Son, D.; Katsumata, T.; Lee, Y.; Kim, Y.; Lopez, J.; Wu, H.-C.; Kang, J.; Park, J.; Gu, X. Stretchable self-healable semiconducting polymer film for active-matrix strain-sensing array. Sci. Adv. 2019, 5, eaav3097. [Google Scholar] [CrossRef] [PubMed]
- Kang, J.; Tok, J.B.-H.; Bao, Z. Self-healing soft electronics. Nat. Electron. 2019, 2, 144–150. [Google Scholar] [CrossRef]
- Cai, G.; Wang, J.; Qian, K.; Chen, J.; Li, S.; Lee, P.S. Extremely stretchable strain sensors based on conductive self-healing dynamic cross-links hydrogels for human-motion detection. Adv. Sci. 2017, 4, 1600190. [Google Scholar] [CrossRef]
- Liu, M.; Zhu, S.; Huang, Y.; Lin, Z.; Liu, W.; Yang, L.; Ge, D. A self-healing composite actuator for multifunctional soft robot via photo-welding. Compos. Part B Eng. 2021, 214, 108748. [Google Scholar] [CrossRef]
- Acome, E.; Mitchell, S.K.; Morrissey, T.; Emmett, M.; Benjamin, C.; King, M.; Radakovitz, M.; Keplinger, C. Hydraulically amplified self-healing electrostatic actuators with muscle-like performance. Science 2018, 359, 61–65. [Google Scholar] [CrossRef]
- Xu, J.; Gao, F.; Wang, H.; Dai, R.; Dong, S.; Wang, H. Organic/inorganic hybrid waterborne polyurethane coatings with self-healing properties for anticorrosion application. Prog. Org. Coat. 2023, 174, 107244. [Google Scholar] [CrossRef]
- Li, B.; Xue, S.; Mu, P.; Li, J. Robust self-healing graphene oxide-based superhydrophobic coatings for efficient corrosion protection of magnesium alloys. ACS Appl. Mater. Interfaces 2022, 14, 30192–30204. [Google Scholar] [CrossRef]
- Kumar, M.H.; Moganapriya, C.; Kumar, A.M.; Rajasekar, R.; Gobinath, V. Self-Healing Materials in Aerospace Applications. In Self-Healing Smart Materials and Allied Applications; John Wiley & Sons, Inc.: Hoboken, NJ, USA, 2021; pp. 415–434. [Google Scholar]
- Das, R.; Melchior, C.; Karumbaiah, K. Self-healing composites for aerospace applications. In Advanced Composite Materials for Aerospace Engineering; Elsevier: Amsterdam, The Netherlands, 2016; pp. 333–364. [Google Scholar]
- Das, A.; Sallat, A.; Böhme, F.; Suckow, M.; Basu, D.; Wießner, S.; Stöckelhuber, K.W.; Voit, B.; Heinrich, G. Ionic modification turns commercial rubber into a self-healing material. ACS Appl. Mater. Interfaces 2015, 7, 20623–20630. [Google Scholar] [CrossRef]
- Wang, H.; Liu, H.; Cao, Z.; Li, W.; Huang, X.; Zhu, Y.; Ling, F.; Xu, H.; Wu, Q.; Peng, Y. Room-temperature autonomous self-healing glassy polymers with hyperbranched structure. Proc. Natl. Acad. Sci. USA 2020, 117, 11299–11305. [Google Scholar] [CrossRef] [PubMed]
- Santana, M.H.; Huete, M.; Lameda, P.; Araujo, J.; Verdejo, R.; López-Manchado, M.A. Design of a new generation of sustainable SBR compounds with good trade-off between mechanical properties and self-healing ability. Eur. Polym. J. 2018, 106, 273–283. [Google Scholar] [CrossRef]
- Eom, Y.; Kim, S.-M.; Lee, M.; Jeon, H.; Park, J.; Lee, E.S.; Hwang, S.Y.; Park, J.; Oh, D.X. Mechano-responsive hydrogen-bonding array of thermoplastic polyurethane elastomer captures both strength and self-healing. Nat. Commun. 2021, 12, 621. [Google Scholar] [CrossRef] [PubMed]
- Guo, Z.; Bao, C.; Wang, X.; Lu, X.; Sun, H.; Li, X.; Li, J.; Sun, J. Room-temperature healable, recyclable and mechanically super-strong poly (urea-urethane) s cross-linked with nitrogen-coordinated boroxines. J. Mater. Chem. A 2021, 9, 11025–11032. [Google Scholar] [CrossRef]
- Wang, D.; Wang, Z.; Ren, S.; Xu, J.; Wang, C.; Hu, P.; Fu, J. Molecular engineering of a colorless, extremely tough, superiorly self-recoverable, and healable poly (urethane–urea) elastomer for impact-resistant applications. Mater. Horiz. 2021, 8, 2238–2250. [Google Scholar] [CrossRef]
- Duan, N.; Sun, Z.; Ren, Y.; Liu, Z.; Liu, L.; Yan, F. Imidazolium-based ionic polyurethanes with high toughness, tunable healing efficiency and antibacterial activities. Polym. Chem. 2020, 11, 867–875. [Google Scholar] [CrossRef]
- Zhou, J.; Yang, Y.; Qin, R.; Xu, M.; Sheng, Y.; Lu, X. Robust poly (urethane-amide) protective film with fast self-healing at room temperature. ACS Appl. Polym. Mater. 2019, 2, 285–294. [Google Scholar] [CrossRef]
- Guo, Y.; An, X.; Qian, X. Mechanochromic Self-Healing Materials with Good Stretchability, Shape Memory Behavior, Cyclability, and Reversibility Based on Multiple Hydrogen Bonds. ACS Appl. Mater. Interfaces 2023, 15, 19362–19373. [Google Scholar] [CrossRef]
- Yao, Y.; Liu, B.; Xu, Z.; Yang, J.; Liu, W. An unparalleled H-bonding and ion-bonding crosslinked waterborne polyurethane with super toughness and unprecedented fracture energy. Mater. Horiz. 2021, 8, 2742–2749. [Google Scholar] [CrossRef]
- Li, Y.; Li, W.; Sun, A.; Jing, M.; Liu, X.; Wei, L.; Wu, K.; Fu, Q. A self-reinforcing and self-healing elastomer with high strength, unprecedented toughness and room-temperature reparability. Mater. Horiz. 2021, 8, 267–275. [Google Scholar] [CrossRef]
- Li, Z.; Zhu, Y.L.; Niu, W.; Yang, X.; Jiang, Z.; Lu, Z.Y.; Liu, X.; Sun, J. Healable and recyclable elastomers with record-high mechanical robustness, unprecedented crack tolerance, and superhigh elastic restorability. Adv. Mater. 2021, 33, 2101498. [Google Scholar] [CrossRef] [PubMed]
- Zhu, X.; Zhang, W.; Lu, G.; Zhao, H.; Wang, L. Ultrahigh mechanical strength and robust room-temperature self-healing properties of a polyurethane–graphene oxide network resulting from multiple dynamic bonds. Acs Nano 2022, 16, 16724–16735. [Google Scholar] [CrossRef] [PubMed]
- Shekar, R.I.; Kotresh, T.; Rao, P.D.; Kumar, K. Properties of high modulus PEEK yarns for aerospace applications. J. Appl. Polym. Sci. 2009, 112, 2497–2510. [Google Scholar] [CrossRef]
- Wei, L.; Zhao, X.; Yu, Q.; Zhang, W.; Zhu, G. In-plane compression behaviors of the auxetic star honeycomb: Experimental and numerical simulation. Aerosp. Sci. Technol. 2021, 115, 106797. [Google Scholar] [CrossRef]
- Guadagno, L.; Raimondo, M.; Vittoria, V.; Vertuccio, L.; Naddeo, C.; Russo, S.; De Vivo, B.; Lamberti, P.; Spinelli, G.; Tucci, V. Development of epoxy mixtures for application in aeronautics and aerospace. Rsc Adv. 2014, 4, 15474–15488. [Google Scholar] [CrossRef]
- Yu, S.; Yang, S.; Cho, M. Multi-scale modeling of cross-linked epoxy nanocomposites. Polymer 2009, 50, 945–952. [Google Scholar] [CrossRef]
- Kausar, A.; Ahmad, I.; Maaza, M.; Bocchetta, P. Self-Healing Nanocomposites—Advancements and Aerospace Applications. J. Compos. Sci. 2023, 7, 148. [Google Scholar] [CrossRef]
- Krishnakumar, B.; Sanka, R.S.P.; Binder, W.H.; Park, C.; Jung, J.; Parthasarthy, V.; Rana, S.; Yun, G.J. Catalyst free self-healable vitrimer/graphene oxide nanocomposites. Compos. Part B Eng. 2020, 184, 107647. [Google Scholar] [CrossRef]
- Caglayan, C.; Kim, G.; Yun, G.J. CNT-Reinforced Self-Healable Epoxy Dynamic Networks Based on Disulfide Bond Exchange. ACS Omega 2022, 7, 43480–43491. [Google Scholar] [CrossRef]
- Hu, Z.; Zhang, D.; Lu, F.; Yuan, W.; Xu, X.; Zhang, Q.; Liu, H.; Shao, Q.; Guo, Z.; Huang, Y. Multistimuli-responsive intrinsic self-healing epoxy resin constructed by host–guest interactions. Macromolecules 2018, 51, 5294–5303. [Google Scholar] [CrossRef]
- Li, Z.-J.; Zhong, J.; Liu, M.-C.; Rong, J.-C.; Yang, K.; Zhou, J.-Y.; Shen, L.; Gao, F.; He, H.-F. Investigation on self-healing property of epoxy resins based on disulfide dynamic links. Chin. J. Polym. Sci. 2020, 38, 932–940. [Google Scholar] [CrossRef]
- Li, B.; Zhu, G.; Hao, Y.; Ren, T. An investigation on the performance of epoxy vitrimers based on disulfide bond. J. Appl. Polym. Sci. 2022, 139, 51589. [Google Scholar] [CrossRef]
- Lu, L.; Fan, J.; Li, G. Intrinsic healable and recyclable thermoset epoxy based on shape memory effect and transesterification reaction. Polymer 2016, 105, 10–18. [Google Scholar] [CrossRef]
- Sun, W.; Luo, J.; Zhang, L.; Liang, Y.; Chen, Y.; Zhou, H.; Zheng, Y.; Cheng, Y. Healable epoxy-based dielectric semi-interpenetrating networks with different degrees of cross-linking. J. Appl. Polym. Sci. 2022, 139, 52073. [Google Scholar] [CrossRef]
- Li, G.; Zhang, P.; Huo, S.; Fu, Y.; Chen, L.; Wu, Y.; Zhang, Y.; Chen, M.; Zhao, X.; Song, P. Mechanically strong, thermally healable, and recyclable epoxy vitrimers enabled by ZnAl-layer double hydroxides. ACS Sustain. Chem. Eng. 2021, 9, 2580–2590. [Google Scholar] [CrossRef]
- Huang, Q.-S.; Zhao, P.-C.; Lai, J.-C.; Zhang, X.-P.; Li, C.-H. A healable, recyclable and thermochromic epoxy resin for thermally responsive smart windows. Polym. Chem. 2022, 13, 2178–2186. [Google Scholar] [CrossRef]
- Chen, T.; Fang, L.; Li, X.; Gao, D.; Lu, C.; Xu, Z. Self-healing polymer coatings of polyurea-urethane/epoxy blends with reversible and dynamic bonds. Prog. Org. Coat. 2020, 147, 105876. [Google Scholar] [CrossRef]
- Hu, Z.; Liu, Y.; Xu, X.; Yuan, W.; Yang, L.; Shao, Q.; Guo, Z.; Ding, T.; Huang, Y. Efficient intrinsic self-healing epoxy acrylate formed from host-guest chemistry. Polymer 2019, 164, 79–85. [Google Scholar] [CrossRef]
- Behera, P.K.; Raut, S.K.; Mondal, P.; Sarkar, S.; Singha, N.K. Self-healable polyurethane elastomer based on dual dynamic covalent chemistry using Diels–Alder “click” and disulfide metathesis reactions. ACS Appl. Polym. Mater. 2021, 3, 847–856. [Google Scholar] [CrossRef]
- Sun, W.; Zhang, L.; Liang, Y.; Xu, J.; Gao, Y.; Luo, J.; Cheng, Y. Mechanically robust epoxy with electrical breakdown healing capability for power equipment insulation via dynamic networks. React. Funct. Polym. 2022, 176, 105307. [Google Scholar] [CrossRef]
- Yuan, D.; Delpierre, S.b.; Ke, K.; Raquez, J.-M.; Dubois, P.; Manas-Zloczower, I. Biomimetic water-responsive self-healing epoxy with tunable properties. ACS Appl. Mater. Interfaces 2019, 11, 17853–17862. [Google Scholar] [CrossRef] [PubMed]
- Zhu, K.; Li, Z.; Cheng, F.; Wu, C.; Cai, D.; Zhang, Q.; Zhang, H. Preparation of durable superhydrophobic composite coatings with photothermal conversion precisely targeted configuration self-healability and great degradability. Compos. Sci. Technol. 2021, 213, 108926. [Google Scholar] [CrossRef]
- Abdul Jaleel, S.A.; Kim, T.; Baik, S. Covalently Functionalized Leakage-Free Healable Phase-Change Interface Materials with Extraordinary High-Thermal Conductivity and Low-Thermal Resistance. Adv. Mater. 2023, 35, 2300956. [Google Scholar] [CrossRef]
- Liguori, A.; Subramaniyan, S.; Yao, J.G.; Hakkarainen, M. Photocurable extended vanillin-based resin for mechanically and chemically recyclable, self-healable and digital light processing 3D printable thermosets. Eur. Polym. J. 2022, 178, 111489. [Google Scholar] [CrossRef]
- Qin, J.; Liu, X.; Chen, B.; Liu, J.; Wu, M.; Tan, L.; Yang, C.; Liang, L. Thermo-healing and recyclable epoxy thermosets based on dynamic phenol-carbamate bonds. React. Funct. Polym. 2022, 180, 105411. [Google Scholar] [CrossRef]
- Putnam-Neeb, A.A.; Kaiser, J.M.; Hubbard, A.M.; Street, D.P.; Dickerson, M.B.; Nepal, D.; Baldwin, L.A. Self-healing and polymer welding of soft and stiff epoxy thermosets via silanolates. Adv. Compos. Hybrid Mater. 2022, 5, 3068–3080. [Google Scholar] [CrossRef]
- Xu, J.; Chen, J.; Zhang, Y.; Liu, T.; Fu, J. A fast room-temperature self-healing glassy polyurethane. Angew. Chem. Int. Ed. 2021, 60, 7947–7955. [Google Scholar] [CrossRef]
- Hodgkin, J.; Simon, G.P.; Varley, R.J. Thermoplastic toughening of epoxy resins: A critical review. Polym. Adv. Technol. 1998, 9, 3–10. [Google Scholar] [CrossRef]
- Xiao, Z.-T.; Wu, G.-L.; Wang, W.; Zhang, P.; Hu, Y.; Wang, X. Novel phosphorous-containing epoxy thermosets with improved anti-flammability, smoke suppression, and dielectric properties. Polym. Degrad. Stab. 2024, 229, 110954. [Google Scholar] [CrossRef]
- Konstantinova, A.; Yudaev, P.; Shapagin, A.; Panfilova, D.; Palamarchuk, A.; Chistyakov, E. Non-Flammable Epoxy Composition Based on Epoxy Resin DER-331 and 4-(β-Carboxyethenyl) phenoxy-phenoxycyclotriphosphazenes with Increased Adhesion to Metals. Sci 2024, 6, 30. [Google Scholar] [CrossRef]
- Kadam, A.; Pawar, M.; Yemul, O.; Thamke, V.; Kodam, K. Biodegradable biobased epoxy resin from karanja oil. Polymer 2015, 72, 82–92. [Google Scholar] [CrossRef]
- Yao, T.; Zhang, C.; Chen, K.; Niu, T.; Wang, J.; Yang, Y. Hydroxyl-group decreased dielectric loss coupled with 3D-BN network enhanced high thermal conductivity epoxy composite for high voltage-high frequency conditions. Compos. Sci. Technol. 2023, 234, 109934. [Google Scholar] [CrossRef]
- Wu, Y.; Fan, X.; Wang, Z.; Zhang, Z.; Liu, Z. A mini-review of ultra-low dielectric constant intrinsic epoxy resins: Mechanism, preparation and application. Polym. Adv. Technol. 2024, 35, e6241. [Google Scholar] [CrossRef]
- Kim, G.; Caglayan, C.; Yun, G.J. Epoxy-Based Catalyst-Free Self-Healing Elastomers at Room Temperature Employing Aromatic Disulfide and Hydrogen Bonds. ACS Omega 2022, 7, 44750–44761. [Google Scholar] [CrossRef]
- Kim, B.; Youn, B.; Song, Y.; Lee, D. Enhanced dispersion stability and interfacial damping of POSS-functionalized graphene oxide in PDMS nanocomposites. Funct. Compos. Struct. 2022, 4, 35009. [Google Scholar] [CrossRef]
- Proscovia, K.; Cheon, H.J.; Shin, S.Y.; Jeong, G.; Go, S.; Kim, K.S.; Park, R.-S.; Huh, Y.-I.; Chang, M. Enhanced charge transport of conjugated polymer/reduced graphene oxide composite films by solvent vapor pre-treatment. Funct. Compos. Struct. 2022, 4, 25002. [Google Scholar] [CrossRef]
- Harsha, V.S.S.; Sharma, A.; Tambe, P. Graphene oxide reinforced epoxy nanocomposites coatings for corrosion protection: A review. J. Phys. Conf. Ser. 2022, 2225, 12002. [Google Scholar] [CrossRef]
- Yarahmadi, E.; Didehban, K.; Sari, M.G.; Saeb, M.R.; Shabanian, M.; Aryanasab, F.; Zarrintaj, P.; Paran, S.M.R.; Mozafari, M.; Rallini, M. Development and curing potential of epoxy/starch-functionalized graphene oxide nanocomposite coatings. Prog. Org. Coat 2018, 119, 194–202. [Google Scholar] [CrossRef]
- Ferreira, H.; Poma, G.; Acosta, D.; Barzola-Quiquia, J.; Quintana, M.; Barreto, L.; Champi, A. Laser power influence on Raman spectra of multilayer graphene, multilayer graphene oxide and reduced multilayer graphene oxide. J. Phys. Conf. Ser. 2018, 1143, 12020. [Google Scholar] [CrossRef]
- Ge, G.; Lu, Y.; Qu, X.; Zhao, W.; Ren, Y.; Wang, W.; Wang, Q.; Huang, W.; Dong, X. Muscle-inspired self-healing hydrogels for strain and temperature sensor. ACS Nano 2019, 14, 218–228. [Google Scholar] [CrossRef]
- He, D.; Peng, Z.; Gong, W.; Luo, Y.; Zhao, P.; Kong, L. Mechanism of a green graphene oxide reduction with reusable potassium carbonate. RSC Adv. 2015, 5, 11966–11972. [Google Scholar] [CrossRef]
- Zhang, P.; Han, X.; Kang, L.; Qiang, R.; Liu, W.; Du, Y. Synthesis and characterization of polyaniline nanoparticles with enhanced microwave absorption. Rsc Adv. 2013, 3, 12694–12701. [Google Scholar] [CrossRef]
- Krishnamoorthy, K.; Veerapandian, M.; Yun, K.; Kim, S.-J. The chemical and structural analysis of graphene oxide with different degrees of oxidation. Carbon 2013, 53, 38–49. [Google Scholar] [CrossRef]
- Lin-Vien, D.; Colthup, N.B.; Fateley, W.G.; Grasselli, J.G. The Handbook of Infrared and Raman Characteristic Frequencies of Organic Molecules; Elsevier: Amsterdam, The Netherlands, 1991. [Google Scholar]
- Abdullah, H.S. Electrochemical polymerization and Raman study of polypyrrole and polyaniline thin films. Int. J. Phys. Sci 2012, 7, 5468–5476. [Google Scholar]
- Song, P.; Zhang, X.; Sun, M.; Cui, X.; Lin, Y. Synthesis of graphene nanosheets via oxalic acid-induced chemical reduction of exfoliated graphite oxide. Rsc. Adv. 2012, 2, 1168–1173. [Google Scholar] [CrossRef]
- Amrollahi, S.; Ramezanzadeh, B.; Yari, H.; Ramezanzadeh, M.; Mahdavian, M. Synthesis of polyaniline-modified graphene oxide for obtaining a high performance epoxy nanocomposite film with excellent UV blocking/anti-oxidant/anti-corrosion capabilities. Compos. Part B Eng. 2019, 173, 106804. [Google Scholar] [CrossRef]
- Murali, A.; Sampath, S.; Appukutti Achuthan, B.; Sakar, M.; Chandrasekaran, S.; Suthanthira Vanitha, N.; Joseph Bensingh, R.; Abdul Kader, M.; Jaisankar, S.N. Copper (0) mediated single electron transfer-living radical polymerization of methyl methacrylate: Functionalized graphene as a convenient tool for radical initiator. Polymers 2020, 12, 874. [Google Scholar] [CrossRef]
- Dhamodharan, D.; Dhinakaran, V.; Ghoderao, P.N.; Byun, H.-S.; Wu, L. Synergistic effect of cellulose nanocrystals-graphene oxide as an effective nanofiller for enhancing properties of solventless polymer nanocomposites. Compos. Part B Eng. 2022, 238, 109918. [Google Scholar] [CrossRef]
- Nonahal, M.; Rastin, H.; Saeb, M.R.; Sari, M.G.; Moghadam, M.H.; Zarrintaj, P.; Ramezanzadeh, B. Epoxy/PAMAM dendrimer-modified graphene oxide nanocomposite coatings: Nonisothermal cure kinetics study. Prog. Org. Coat. 2018, 114, 233–243. [Google Scholar] [CrossRef]
- Dinu, R.; Lafont, U.; Damiano, O.; Mija, A. High glass transition materials from sustainable epoxy resins with potential applications in the aerospace and space sectors. ACS Appl. Polym. Mater. 2022, 4, 3636–3646. [Google Scholar] [CrossRef]
- Shi, G.; Song, J.; Tian, X.; Liu, T.; Wu, Z. High-performance epoxy nanocomposites via constructing a rigid-flexible interface with graphene oxide functionalized by polyetheramine and f-SiO2. Carbon 2024, 216, 118591. [Google Scholar] [CrossRef]
- Zheng, W.; Angelopoulos, M.; Epstein, A.J.; MacDiarmid, A. Experimental evidence for hydrogen bonding in polyaniline: Mechanism of aggregate formation and dependency on oxidation state. Macromolecules 1997, 30, 2953–2955. [Google Scholar] [CrossRef]
- Prusty, R.K.; Rathore, D.K.; Sahoo, S.; Parida, V.; Ray, B.C. Mechanical behaviour of graphene oxide embedded epoxy nanocomposite at sub-and above-zero temperature environments. Compos. Commun. 2017, 3, 47–50. [Google Scholar] [CrossRef]









| Sample Code | Epoxy Resin | Hardener | ||
|---|---|---|---|---|
| DGEBA | PPGDG | DGCHD | 2-AFD | |
| SV-Neat | 1 | 0.5 | 1 | 1.69 | 
| DSV-Neat | 1 | 0.6 | 1 | 1.77 | 
| Sample Code | SV Resin (g) | GO-PANI (g) | 
|---|---|---|
| SV-Neat | 11.98 | - | 
| SV-GPN0.5 | 11.98 | 0.006 | 
| SV-GPN1 | 11.98 | 0.012 | 
| SV-GPN2 | 11.98 | 0.024 | 
| DSV-GPN1 | 11.98 | 0.012 | 
| Sample Code | T5% (°C) | T30% (°C) | Tdmax (°C) | Ts (°C) | 
|---|---|---|---|---|
| SV-Neat | 253.7 | 312.2 | 332.4 | 141.5 | 
| SV-GPN0.5 | 252.4 | 310.3 | 339.5 | 140.7 | 
| SV-GPN1 | 254.6 | 314.4 | 339.1 | 142.3 | 
| SV-GPN2 | 253.3 | 310.6 | 339.3 | 141.0 | 
| Disclaimer/Publisher’s Note: The statements, opinions and data contained in all publications are solely those of the individual author(s) and contributor(s) and not of MDPI and/or the editor(s). MDPI and/or the editor(s) disclaim responsibility for any injury to people or property resulting from any ideas, methods, instructions or products referred to in the content. | 
© 2024 by the authors. Licensee MDPI, Basel, Switzerland. This article is an open access article distributed under the terms and conditions of the Creative Commons Attribution (CC BY) license (https://creativecommons.org/licenses/by/4.0/).
Share and Cite
Kim, G.; Caglayan, C.; Yun, G.J. High Modulus Epoxy/GO-PANI Self-Healing Materials Without Catalyst by Molecular Engineering and Nanocomposite Fabrication. Polymers 2024, 16, 3173. https://doi.org/10.3390/polym16223173
Kim G, Caglayan C, Yun GJ. High Modulus Epoxy/GO-PANI Self-Healing Materials Without Catalyst by Molecular Engineering and Nanocomposite Fabrication. Polymers. 2024; 16(22):3173. https://doi.org/10.3390/polym16223173
Chicago/Turabian StyleKim, Geonwoo, Cigdem Caglayan, and Gun Jin Yun. 2024. "High Modulus Epoxy/GO-PANI Self-Healing Materials Without Catalyst by Molecular Engineering and Nanocomposite Fabrication" Polymers 16, no. 22: 3173. https://doi.org/10.3390/polym16223173
APA StyleKim, G., Caglayan, C., & Yun, G. J. (2024). High Modulus Epoxy/GO-PANI Self-Healing Materials Without Catalyst by Molecular Engineering and Nanocomposite Fabrication. Polymers, 16(22), 3173. https://doi.org/10.3390/polym16223173
 
        


 
       