Evaluation of Different Concentrations of Antimicrobial Quaternary Polymers on the Behavior of Gelatin- and Starch-Based Films
Abstract
1. Introduction
2. Materials and Methods
2.1. Materials
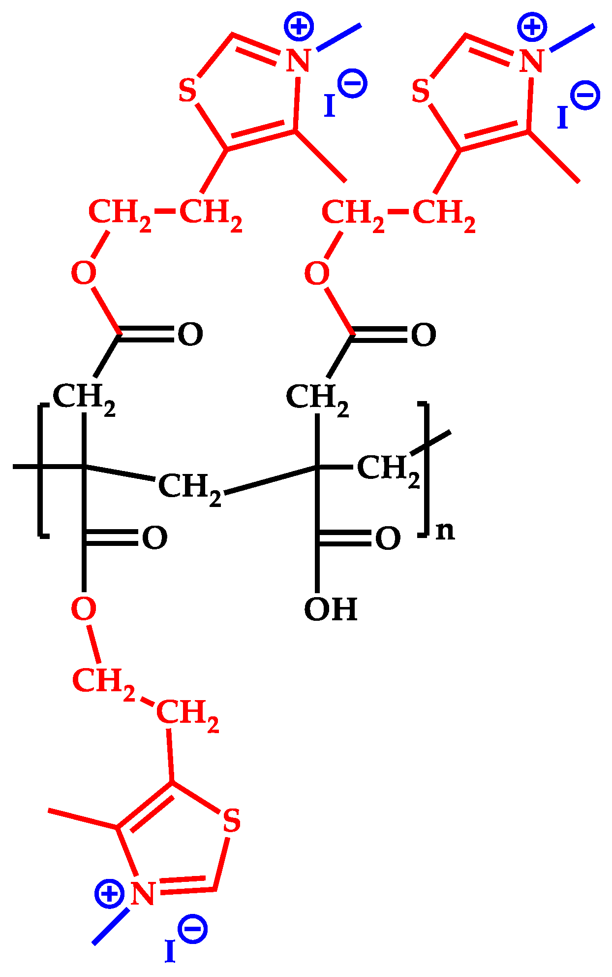
2.2. Preparation of Gelatin- and Starch-Based Films with Quaternary Polymers, MeFPIAx
2.3. Characterization of Active Films
2.3.1. Fourier Transform Infrared Spectroscopy with Attenuated Total Reflectance (FTIR-ATR)
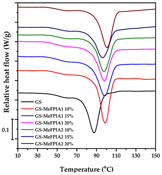
2.3.2. Differential Scanning Calorimetry (DSC)
2.3.3. Thermogravimetric Analysis (TGA)
2.3.4. Mechanical Properties
2.3.5. Water Vapor Permeability (Pw)
2.3.6. Swelling Properties
2.3.7. Evaluation of Antioxidant Properties by ABST•+ and DPPH Assays
2.3.8. Antimicrobial Activity of Films
2.4. Statistical Analysis
3. Results and Discussion
3.1. Fourier Transform Infrared Spectroscopy with Attenuated Total Reflectance (FTIR-ATR)
3.2. Differential Scanning Calorimetry (DSC)
3.3. Thermogravimetric Analysis (TGA)
3.4. Mechanical Properties
3.5. Water Vapor Permeability (Pw)
3.6. Evaluation of Swelling Capacity of Films and Their Kinetics
3.7. Evaluation of Antioxidant Properties by ABST•+ and DPPH Assays
3.8. Antimicrobial Activity of Films
4. Conclusions
Author Contributions
Funding
Data Availability Statement
Acknowledgments
Conflicts of Interest
References
- Kulasooriya, S. The amazing world of microorganisms. Ceylon J. Sci. 2019, 48, 303. [Google Scholar] [CrossRef]
- Tejero, R.; Gutiérrez, B.; López, D.; López-Fabal, F.; Gómez-Garcés, J.L.; Fernández-García, M. Copolymers of acrylonitrile with quaternizable thiazole and triazole side-chain methacrylates as potent antimicrobial and hemocompatible systems. Acta Biomater. 2015, 25, 86–96. [Google Scholar] [CrossRef] [PubMed]
- Lorenzo, J.M.; Munekata, P.E.; Dominguez, R.; Pateiro, M.; Saraiva, J.A.; Franco, D. Chapter 3—Main Groups of Microorganisms of Relevance for Food Safety and Stability: General Aspects and Overall Description. In Innovative Technologies for Food Preservation; Academic Press: Cambridge, MA, USA, 2018; pp. 53–107. [Google Scholar]
- Blair, J.M.A.; Webber, M.A.; Baylay, A.J.; Ogbolu, D.O.; Piddock, L.J.V. Molecular mechanisms of antibiotic resistance. Nat. Rev. Microbiol. 2015, 13, 42–51. [Google Scholar] [CrossRef]
- Tejero, R.; López, D.; López-Fabal, F.; Gómez-Garcés, J.L.; Fernández-García, M. Antimicrobial polymethacrylates based on quaternized 1,3-thiazole and 1,2,3-triazole side-chain groups. Polym. Chem. 2015, 6, 3449–3459. [Google Scholar] [CrossRef]
- Tejero, R.; Gutiérrez, B.; López, D.; López-Fabal, F.; Gómez-Garcés, J.L.; Muñoz-Bonilla, A.; Fernández-García, M. Tailoring Macromolecular Structure of Cationic Polymers towards Efficient Contact Active Antimicrobial Surfaces. Polymers 2018, 10, 241. [Google Scholar] [CrossRef] [PubMed]
- Muñoz-Bonilla, A.; Fernández-García, M. Poly(ionic liquid)s as antimicrobial materials. Eur. Polym. J. 2018, 105, 135–149. [Google Scholar] [CrossRef]
- Cottet, C.; Salvay, A.G.; Peltzer, M.A.; Fernández-García, M. Incorporation of Poly(Itaconic Acid) with Quaternized Thiazole Groups on Gelatin-Based Films for Antimicrobial-Active Food Packaging. Polymers 2021, 13, 200. [Google Scholar] [CrossRef]
- Wang, S.; Qiu, B.; Shi, J.; Wang, M. Quaternary ammonium antimicrobial agents and their application in antifouling coatings: A review. J. Coat. Technol. Res. 2024, 21, 87–103. [Google Scholar] [CrossRef]
- Shamsuri, A.A.; Jamil, S.N.A.M. Application of Quaternary Ammonium Compounds as Compatibilizers for Polymer Blends and Polymer Composites—A Concise Review. Appl. Sci. 2021, 11, 3167. [Google Scholar] [CrossRef]
- Jiao, Y.; Niu, L.; Ma, S.; Li, J.; Tay, F.R.; Chen, J. Quaternary ammonium-based biomedical materials: State-of-the-art, toxicological aspects and antimicrobial resistance. Prog. Polym. Sci. 2017, 71, 53–90. [Google Scholar] [CrossRef]
- Ponnusamy, P.G.; Mani, S. Material and Environmental Properties of Natural Polymers and Their Composites for Packaging Applications—A Review. Polymers 2022, 14, 4033. [Google Scholar] [CrossRef] [PubMed]
- Zhang, X.; Do, M.d.; Casey, P.; Sulistio, A.; Qiao, G.G.; Lundin, L.; Lillford, P.; Kosaraju, S. Chemical Cross-Linking Gelatin with Natural Phenolic Compounds as Studied by High-Resolution NMR Spectroscopy. Biomacromolecules 2010, 11, 1125–1132. [Google Scholar] [CrossRef] [PubMed]
- Li, Z.; Liu, L.; Zheng, H.; Meng, F.; Wang, F. Superhydrophobic, Corrosion Resistance, and Antibacterial Coating with Delayed Release of Ag Ions. Compos. Commun. 2022, 31, 101134. [Google Scholar] [CrossRef]
- Albright, V.; Zhuk, I.; Wang, Y.; Selin, V.; van de Belt-Gritter, B.; Busscher, H.J.; van der Mei, H.C.; Sukhishvili, S.A. Self- Defensive Antibiotic-Loaded Layer-by-Layer Coatings: Imaging of Localized Bacterial Acidification and pH-Triggering of Antibiotic Release. Acta Biomater. 2017, 61, 66–74. [Google Scholar] [CrossRef]
- Chen, C.; Li, Z.; Li, X.; Kuang, C.; Liu, X.; Song, Z.; Liu, H.; Shan, Y. Dual-functional Antimicrobial Coating Based on the Combination of Zwitterionic and Quaternary Ammonium Cation from Rosin Acid. Compos. B Eng. 2022, 232, 109623. [Google Scholar] [CrossRef]
- Pranantyo, D.; Xu, L.Q.; Kang, E.-T.; Chan-Park, M.B. Chitosan-Based Peptidopolysaccharides as Cationic Antimicrobial Agents and Antibacterial Coatings. Biomacromolecules 2018, 19, 2156–2165. [Google Scholar] [CrossRef]
- Scott, G.I.; Porter, D.E.; Norman, R.S.; Scott, C.H.; Uyaguari-Diaz, M.I.; Maruya, K.A.; Weisberg, S.B.; Fulton, M.H.; Wirth, E.F.; Moore, J.; et al. Antibiotics as CECs: An Overview of the Hazards Posed by Antibiotics and Antibiotic Resistance. Front. Mar. Sci. 2016, 3, 24. [Google Scholar] [CrossRef]
- ASTM E96/E96M-16; Standard Test Methods for Water Vapor Transmission of Materials. ASTM International: West Conshohocken, PA, USA, 2016.
- Delgado, J.F.; Peltzer, M.A.; Wagner, J.R.; Salvay, A.G. Hydration and water vapour transport properties in yeast biomass based films: A study of plasticizer content and thickness effects. Eur. Polym. J. 2018, 99, 9–17. [Google Scholar] [CrossRef]
- Salvay, A.G.; Colombo, M.F.; Raúl Grigera, J. Hydration effects on the structural properties and haem–haem interaction in haemoglobin. Chem. Phys. 2003, 5, 192–197. [Google Scholar] [CrossRef]
- ASTM E2149-01; Standard Test Method for Determining the Antimicrobial Activity of Immobilized Antimicrobial Agents Under Dynamic Contact Conditions (Withdrawn 2010). ASTM International: West Conshohocken, PA, USA, 2001.
- Hanry, E.L.; Redzwan, N.F.M.; Badeges, N.F.A.K.; Surugau, N. Characterization of biofilms developed from alginate extracted from Padina sp. incorporated with calcium chloride (CaCl2). J. Phys. Conf. Ser. 2022, 2314, 012022. [Google Scholar] [CrossRef]
- Li, X.; Tu, Z.C.; Sha, X.M.; Ye, Y.H.; Li, Z.Y. Flavor, antimicrobial activity and physical properties of gelatin film incorporated with of ginger essential oil. J. Food Sci. Technol. 2022, 59, 815–824. [Google Scholar] [CrossRef] [PubMed]
- Roy, S.; Rhim, J.-W. Gelatin-Based Film Integrated with Copper Sulfide Nanoparticles for Active Packaging Applications. Appl. Sci. 2021, 11, 6307. [Google Scholar] [CrossRef]
- Tongdeesoontorn, W.; Mauer, L.J.; Wongruong, S.; Sriburi, P.; Rachtanapun, P. Mechanical and physical properties of cassava starch-gelatin composite films. Int. J. Polym. 2012, 61, 778–792. [Google Scholar] [CrossRef]
- Wang, K.; Wang, W.; Ye, R.; Xiao, J.; Liu, Y.; Ding, J.; Liu, A. Mechanical and barrier properties of maize starch-gelatin composite films: Effects of amylose content. J. Sci. Food Agric. 2017, 97, 3613–3622. [Google Scholar] [CrossRef]
- Tran, T.T.V.; Nguyen, N.N.; Nguyen, Q.D.; Nguyen, T.P.; Lien, T.N. Gelatin/carboxymethyl cellulose edible films: Modification of physical properties by different hydrocolloids and application in beef preservation in combination with shallot waste powder. RSC Adv. 2023, 13, 10005–10014. [Google Scholar] [CrossRef] [PubMed]
- Coma, M.E.; Peltzer, M.A.; Delgado, J.F.; Salvay, A.G. Water kefir grains as an innovative source of films: Study of plasticizer content on film properties. Eur. Polym. J. 2019, 120, 109234. [Google Scholar] [CrossRef]
- Soliman, E.A.; Furuta, M. Influence of Phase Behavior and Miscibility on Mechanical, Thermal and Micro-Structure of Soluble Starch-Gelatin Thermoplastic Biodegradable Blend Films. Food Nutr. Sci. 2014, 5, 1040–1055. [Google Scholar] [CrossRef]
- Chuaynukul, K.; Prodpran, T.; Benjakul, S. Preparation, thermal properties and characteristics of gelatin molding compound resin. Res. J. Chem. Environ. Sci. 2014, 2, 1–9. [Google Scholar]
- Sothornvit, R.; Krochta, J.M. Plasticizer effect on mechanical properties of lactoglobulin films. J. Food Eng. 2001, 50, 149–155. [Google Scholar] [CrossRef]
- Díaz-Calderón, P.; Quero, F.; MacNaughtan, B.; Rousennova, M.; Enrione, J. Effect of sorbitol on structural relaxation of gelatin films in the glassy state. Rev. Ion. 2015, 28, 93–101. [Google Scholar]
- Mosleh, Y.; de Zeeuw, W.; Nijemeisland, M.; Bijleveld, J.C.; van Duin, P.; Poulis, J.A. The Structure–Property Correlations in Dry Gelatin Adhesive Films. Adv. Eng. Mater. 2020, 23, 2000716. [Google Scholar] [CrossRef]
- Arrieta, M.P.; Peltzer, M.A.; Del Carmen Garrigós, M.; Jiménez, A. Structure and mechanical properties of sodium and calcium caseinate edible active films with carvacrol. J. Food Eng. 2013, 114, 486–494. [Google Scholar] [CrossRef]
- Delgado, J.F.; Peltzer, M.A.; Salvay, A.G.; de la Osa, O.; Wagner, J.R. Characterization of thermal, mechanical and hydration properties of novel films based on Saccharomyces cerevisiae biomass. Innov. Food Sci. Emerg. Technol. 2018, 48, 240–247. [Google Scholar] [CrossRef]
- Novák, M.; Synytsya, A.; Gedeon, O.; Slepička, P.; Procházka, V.; Synytsya, A.; Čopíková, J. Yeast β (1-3),(1-6)-d-glucan films: Preparation and characterization of some structural and physical properties. Carbohydr. Polym. 2012, 87, 2496–2504. [Google Scholar] [CrossRef]
- Wu, C.; Chu, B.; Kuang, L.; Meng, B.; Wang, X.; Tang, S. Synthesis of β-1,3-glucan esters showing nanosphere formation. Carbohydr. Polym. 2013, 98, 807–812. [Google Scholar] [CrossRef]
- Babaei-Ghazvini, A.; Shahabi-Ghahfarrokhi, I.; Goudarzi, V. Preparation of UV- protective starch/kefiran/ZnO nanocomposite as a packaging film: Characterization. Food Packag. Shelf Life 2018, 16, 103–111. [Google Scholar] [CrossRef]
- Wypij, M.; Trzcińska-Wencel, J.; Golińska, P.; Avila-Quezada, G.D.; Ingle, A.P.; Rai, M. The strategic applications of natural polymer nanocomposites in food packaging and agriculture: Chances, challenges, and consumers’ perception. Front. Chem. 2023, 10, 1106230. [Google Scholar] [CrossRef]
- Ajitha, A.R.; Thomas, S. Compatibilization of Polymer Blends, Introduction. In Compatibilization of Polymer Blends; Elsevier: Amsterdam, The Netherlands, 2020; pp. 1–29. [Google Scholar]
- Luo, Q.; Hossen, M.A.; Zeng, Y.; Dai, J.; Li, S.; Qin, W.; Liu, Y. Gelatin-based composite films and their application in food packaging: A review. J. Food Eng. 2022, 313, 110762. [Google Scholar] [CrossRef]
- Ramos, M.; Valdés, A.; Beltrán, A.; Garrigós, M. Gelatin-Based Films and Coatings for Food Packaging Applications. Coatings 2016, 6, 41. [Google Scholar] [CrossRef]
- Said, N.S.; Sarbon, N.M. Physical and Mechanical Characteristics of Gelatin-Based Films as a Potential Food Packaging Material: A Review. Membranes 2022, 12, 442. [Google Scholar] [CrossRef]
- Al-Hassan, A.A.; Norziah, M.H. Starch–gelatin edible films: Water vapor permeability and mechanical properties as affected by plasticizers. Food Hydrocoll. 2012, 26, 108–117. [Google Scholar] [CrossRef]
- Medina Jaramillo, C.; Gutiérrez, T.J.; Goyanes, S.; Bernal, C.; Famá, L. Biodegradability and plasticizing effect of yerba mate extract on cassava starch edible films. Carbohydr. Polym. 2016, 151, 150–159. [Google Scholar] [CrossRef] [PubMed]
- Guzman-Puyol, S.; Benítez, J.J.; Heredia-Guerrero, J.A. Transparency of polymeric food packaging materials. Food Res. Int. 2022, 161, 111792. [Google Scholar] [CrossRef] [PubMed]
- Acosta, S.; Jiménez, A.; Cháfer, M.; González-Martínez, C.; Chiralt, A. Physical properties and stability of starch-gelatin based films as affected by the addition of esters of fatty acids. Food Hydrocoll. 2015, 49, 135–143. [Google Scholar] [CrossRef]
- Caykara, T.; Özyürek, C.; Kantoglu, Ö.; Güven, O. Equilibrium swelling behavior of pH- and temperature-sensitive poly(n-vinyl 2-pyrrolidone-g-citric acid) polyelectrolyte hydrogels. J. Polym. Sci. Pol. Phys. 2000, 38, 2063–2071. [Google Scholar] [CrossRef]
- Wu, H.; Li, T.; Peng, L.; Wang, J.; Lei, Y.; Li, S.; Li, Q.; Yuan, X.; Zhou, M.; Zhang, Z. Development and characterization of antioxidant composite films based on starch and gelatin incorporating resveratrol fabricated by extrusion compression moulding. Food Hydrocoll. 2023, 139, 108509. [Google Scholar] [CrossRef]
- Haddar, A.; Sellimi, S.; Ghannouchi, R.; Alvarez, O.M.; Nasri, M.; Bougatef, A. Functional, antioxidant and film-forming properties of tuna-skin gelatin with a brown algae extract. International Journal of Biological. Macromolecules 2012, 51, 477–483. [Google Scholar] [CrossRef]
- Choi, I.; Lee, B.Y.; Kim, S.; Imm, S.; Chang, Y.; Han, J. Comparison of chitosan and gelatin-based films and application to antimicrobial coatings enriched with grapefruit seed extract for cherry tomato preservation. Food Sci. Biotechnol. 2023, 32, 1067–1077. [Google Scholar] [CrossRef]
- Haghighi, H.; De Leo, R.; Bedin, E.; Pfeifer, F.; Siesler, H.W.; Pulvirenti, A. Comparative analysis of blend and bilayer films based on chitosan and gelatin enriched with LAE (lauroyl arginate ethyl) with antimicrobial activity for food packaging applications. Food Packag. Shelf Life 2019, 19, 31–39. [Google Scholar] [CrossRef]
- Alkarri, S.; Bin Saad, H.; Soliman, M. On Antimicrobial Polymers: Development, Mechanism of Action, International Testing Procedures, and Applications. Polymers 2024, 16, 771. [Google Scholar] [CrossRef]
- Haktaniyan, M.; Bradley, M. Polymers showing intrinsic antimicrobial activity. Chem. Soc. Rev. 2022, 51, 8584–8611. [Google Scholar] [CrossRef] [PubMed]
- Lukin, I.; Erezuma, I.; Maeso, L.; Zarate, J.; Desimone, M.F.; Al-Tel, T.H.; Dolatshahi-Pirouz, A.; Orive, G. Progress in Gelatin as Biomaterial for Tissue Engineering. Pharmaceutics 2022, 14, 1177. [Google Scholar] [CrossRef] [PubMed]
- Mallick, N.; Pal, D.; Soni, A.B.; Jhariya, D.C.; Singh, D. Starch based antimicrobial food packaging film towards a sustainable environment. In IOP Conference Series: Earth and Environmental Science; IOP Publishing: Bristol, UK, 2020. [Google Scholar]
- Romainor, A.N.; Chin, S.F.; Lihan, S. Antimicrobial Starch-Based Film for Food Packaging Application. Starch Stärke 2022, 74, 2100207. [Google Scholar] [CrossRef]
- Hou, X.; Wang, H.; Shi, Y.; Yue, Z. Recent advances of antibacterial starch-based materials. Carbohydr. Polym. 2023, 302, 120392. [Google Scholar] [CrossRef]








| Sample Names | Description |
|---|---|
| GS | Films based on gelatin, starch, and glycerol |
| GS-MeFPIA1 10% | Films based on gelatin, starch, glycerol, and MeFPIA1 10% |
| GS-MeFPIA1 15% | Films based on gelatin, starch, glycerol, and MeFPIA1 15% |
| GS-MeFPIA1 20% | Films based on gelatin, starch, glycerol, and MeFPIA1 20% |
| GS-MeFPIA2 10% | Films based on gelatin, starch, glycerol, and MeFPIA2 10% |
| GS-MeFPIA2 15% | Films based on gelatin, starch, glycerol, and MeFPIA2 15% |
| GS-MeFPIA2 20% | Films based on gelatin, starch, glycerol, and MeFPIA2 20% |
| First Heating | Second Heating | ||
|---|---|---|---|
| Sample Names | Tg (°C) | Tpeak (°C) | Tg (°C) |
| GS | 65 | 88 | 29 |
| GS-MeFPIA1 10% | 67 | 99 | 56 |
| GS-MeFPIA1 15% | 66 | 98 | 65 |
| GS-MeFPIA1 20% | 66 | 98 | 60 |
| GS-MeFPIA2 10% | 68 | 98 | 39 |
| GS-MeFPIA2 15% | 65 | 96 | 45 |
| GS-MeFPIA2 20% | 64 | 101 | 49 |
| Sample Names | Ti (°C) | Tmax 1 (°C) | Tmax 2 (°C) |
|---|---|---|---|
| GS | 196 | 241 | 297 |
| GS-MeFPIA1 10% | 211 | 265 | 300 |
| GS-MeFPIA1 15% | 207 | 256 | 296 |
| GS-MeFPIA1 20% | 201 | 265 | 292 |
| GS-MeFPIA2 10% | 204 | 245 | 299 |
| GS-MeFPIA2 15% | 204 | 255 | 300 |
| GS-MeFPIA2 20% | 201 | 264 | 296 |
| Sample Names | TS (MPa) | YM (MPa) | EB (%) |
|---|---|---|---|
| GS | 10.8 ± 0.6 a | 114.1 ± 7.7 a | 86.5 ± 5.2 a |
| GS-MeFPIA1 10% | 20.1 ± 2.0 b | 266.3 ± 13.1 b | 68.2 ± 7.7 b,d |
| GS-MeFPIA1 15% | 19.2 ± 1.1 b | 261.8 ± 37.1 b | 61.8 ± 5.0 b,d |
| GS-MeFPIA1 20% | 18.8 ± 1.0 b | 342.7 ± 52.2 c | 36.3 ± 7.8 c |
| GS-MeFPIA2 10% | 21.4 ± 1.4 b,c | 259.0 ± 12.7 b | 70.3 ± 3.3 b |
| GS-MeFPIA2 15% | 23.2 ± 1.1 c | 271.2 ± 17.3 b | 71.2 ± 4.3 b |
| GS-MeFPIA2 20% | 20.8 ± 1.1 b,c | 284.7 ± 21.2 b | 59.8 ± 4.3 d |
| Sample | Permeability (10−10 g s−1 m−1 Pa−1) |
|---|---|
| GS | 4.89 ± 0.05 a,e |
| GS-MeFPIA1 10% | 4.60 ± 0.03 b |
| GS-MeFPIA1 15% | 4.53 ± 0.03 c |
| GS-MeFPIA1 20% | 4.30 ± 0.03 d |
| GS-MeFPIA2 10% | 4.81 ± 0.09 a,e |
| GS-MeFPIA2 15% | 4.98 ± 0.08 a |
| GS-MeFPIA2 20% | 4.76 ± 0.09 e |
| Sample Names | sꝏ (g/g) | Δs1 (g/g) | τ1 (min) | φ1 | Δs2 (g/g) | τ2 (min) | φ2 |
|---|---|---|---|---|---|---|---|
| GS | 398 ± 12 a | 140 ± 7 a | 3.4 ± 0.3 a | 0.35 | 258 ± 5 a | 37 ± 1 a | 0.65 |
| GS-MeFPIA1 10% | 249 ± 17 b | 133 ± 9 a | 3.4 ± 0.4 a | 0.53 | 116 ± 8 b | 22 ± 2 b | 0.47 |
| GS-MeFPIA1 15% | 265 ± 17 bc | 186 ± 9 b | 4.1 ± 0.3 a | 0.70 | 79 ± 8 c | 24 ± 3 b | 0.30 |
| GS-MeFPIA1 20% | 100 ± 1 d | 100 ± 1 c | 2.2 ± 0.2 b | 1 | -- | -- | -- |
| GS-MeFPIA2 10% | 269 ± 16 bc | 150 ± 8 ad | 3.3 ± 0.3 a | 0.56 | 119 ± 8 b | 22 ± 2 b | 0.44 |
| GS-MeFPIA2 15% | 270 ± 16 bc | 170 ± 9 bd | 3.5 ± 0.3 a | 0.63 | 100 ± 8 bc | 22 ± 2 b | 0.37 |
| GS-MeFPIA2 20% | 295 ± 22 c | 152 ± 12 da | 3.8 ± 0.4 a | 0.52 | 143 ± 11 d | 22 ± 2 b | 0.48 |
Disclaimer/Publisher’s Note: The statements, opinions and data contained in all publications are solely those of the individual author(s) and contributor(s) and not of MDPI and/or the editor(s). MDPI and/or the editor(s) disclaim responsibility for any injury to people or property resulting from any ideas, methods, instructions or products referred to in the content. |
© 2024 by the authors. Licensee MDPI, Basel, Switzerland. This article is an open access article distributed under the terms and conditions of the Creative Commons Attribution (CC BY) license (https://creativecommons.org/licenses/by/4.0/).
Share and Cite
Cottet, C.; Fernández-García, M.; Peltzer, M.A. Evaluation of Different Concentrations of Antimicrobial Quaternary Polymers on the Behavior of Gelatin- and Starch-Based Films. Polymers 2024, 16, 3168. https://doi.org/10.3390/polym16223168
Cottet C, Fernández-García M, Peltzer MA. Evaluation of Different Concentrations of Antimicrobial Quaternary Polymers on the Behavior of Gelatin- and Starch-Based Films. Polymers. 2024; 16(22):3168. https://doi.org/10.3390/polym16223168
Chicago/Turabian StyleCottet, Celeste, M. Fernández-García, and M. A. Peltzer. 2024. "Evaluation of Different Concentrations of Antimicrobial Quaternary Polymers on the Behavior of Gelatin- and Starch-Based Films" Polymers 16, no. 22: 3168. https://doi.org/10.3390/polym16223168
APA StyleCottet, C., Fernández-García, M., & Peltzer, M. A. (2024). Evaluation of Different Concentrations of Antimicrobial Quaternary Polymers on the Behavior of Gelatin- and Starch-Based Films. Polymers, 16(22), 3168. https://doi.org/10.3390/polym16223168

