Multiple Traces of Families of Epoxy Derivatives as New Inhibitors of the Industrial Polymerization Reaction of Propylene
Abstract
1. Introduction
2. Materials and Methods
2.1. Reagents
2.2. Inhibitor Injection
2.3. Melt Flow Index (MFI)
2.4. Evaluation of the Mechanical Properties of the Polymer
2.5. Rheological Measurements
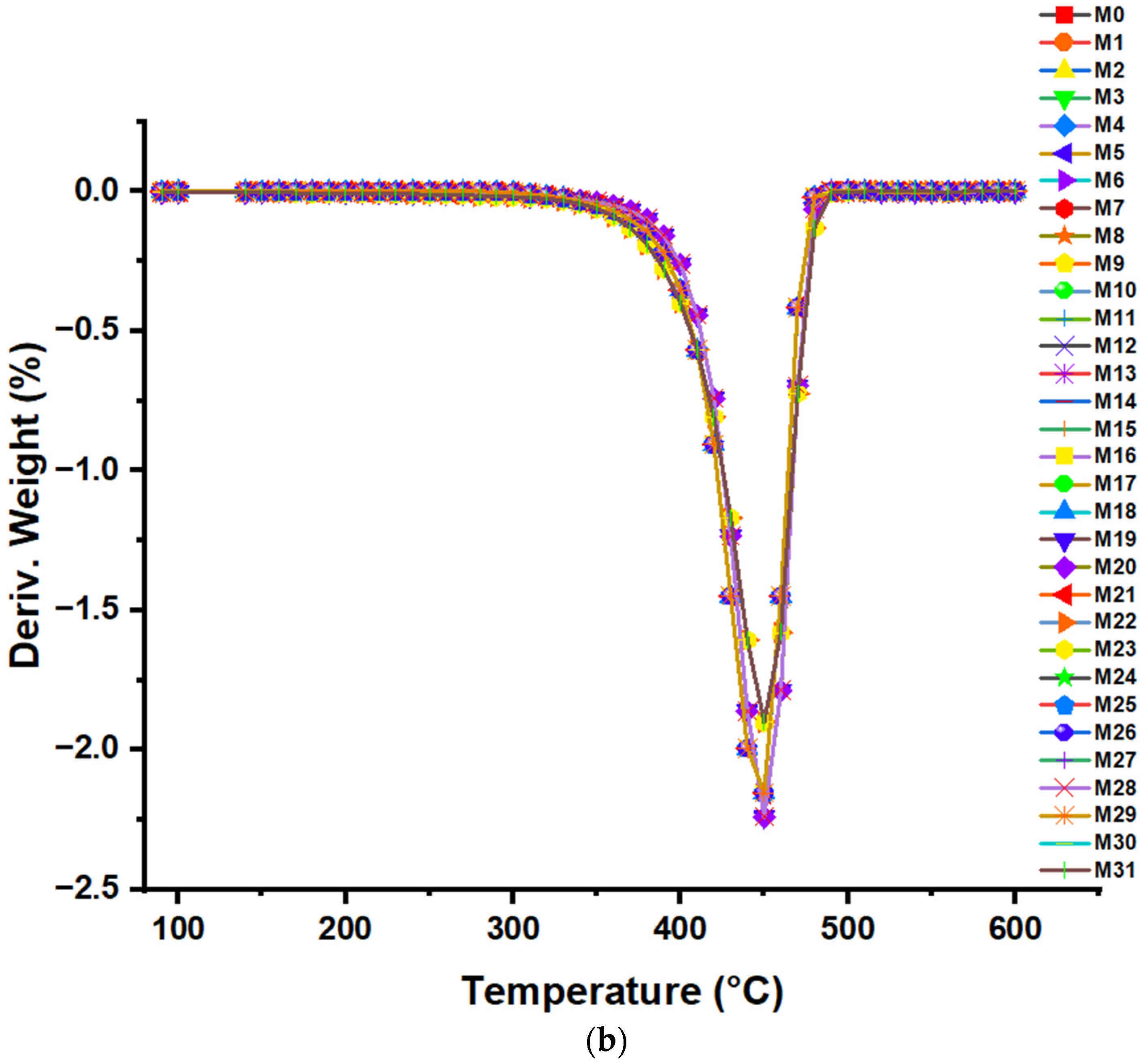
2.6. Thermogravimetric Analysis (TGA)
2.7. Infrared (IR) Spectroscopy
3. Results
3.1. Reaction of REAL with Epoxies
3.2. Evaluation of the Impact of Different Oxides on the Reduction of Catalytic Productivity Depending on Their Concentration
3.3. Evaluation of the Influence of Oxide Concentrations on Polymer Properties and Polypropylene Production
3.3.1. Impact of Inhibitors on the Bending Modulus and Production of Polypropylene
3.3.2. Impact of Inhibitors on the Flow Index and Molecular Weight of Polypropylene
3.4. Thermal Degradation of the Polymer Due to the Presence of Different Oxides
3.5. FTIR Results
4. Discussion
5. Conclusions
Author Contributions
Funding
Institutional Review Board Statement
Data Availability Statement
Conflicts of Interest
References
- Tangjituabun, K.; Kim, S.Y.; Hiraoka, Y.; Taniike, T.; Terano, M.; Jongsomjit, B.; Praserthdam, P. Effects of various poisoning compounds on the activity and stereospecificity of heterogeneous Ziegler–Natta catalyst. Sci. Technol. Adv. Mater. 2008, 9, 4. [Google Scholar] [CrossRef] [PubMed]
- Hadian, N.; Hakim, S.; Nekoomanesh-Haghighi, M.; Bahri-Laleh, N. Storage time effect on dynamic structure of MgCl2.nEtOH adducts in heterogeneous Ziegler-Natta catalysts. Polyolefins J. 2014, 1, 33–34. [Google Scholar] [CrossRef]
- Malani, H.; Hayashi, S.; Zhong, H.; Sahnoun, R.; Tsuboi, H.; Koyama, M.; Hatakeyama, N.; Endou, A.; Takaba, H.; Kubo, M.; et al. Theoretical investigation of ethylene/1-butene copolymerization process using constrained geometry catalyst (CpSiH2NH)-Ti-Cl2. Appl. Surf. Sci. 2008, 254, 7608–7611. [Google Scholar] [CrossRef]
- Xie, K.; Huang, A.; Zhu, B.; Xu, J.; Liu, P. Periodic DFT investigation of methanol coverage on surfaces of MgCl2-supported Ziegler–Natta catalysts. Appl. Surf. Sci. 2015, 356, 967–971. [Google Scholar] [CrossRef]
- Argyle, M.D.; Bartholomew, C.H. Heterogeneous Catalyst Deactivation and Regeneration: A Review. Catalysts 2015, 5, 145–269. [Google Scholar] [CrossRef]
- Bahri-Laleh, N. Interaction of different poisons with MgCl2/TiCl4 based Ziegler-Natta catalysts. Appl. Surf. Sci. 2016, 379, 395–401. [Google Scholar] [CrossRef]
- Hernández-Fernández, J.; Puello-Polo, E.; Marquez, E. Study of the Chemical Activities of Carbon Monoxide, Carbon Dioxide, and Oxygen Traces as Critical Inhibitors of Polypropylene Synthesis. Polymers 2024, 16, 605. [Google Scholar] [CrossRef] [PubMed]
- Hernández-Fernández, J.; González-Cuello, R.; Ortega-Toro, R. Parts per Million of Propanol and Arsine as Responsible for the Poisoning of the Propylene Polymerization Reaction. Polymers 2023, 15, 3619. [Google Scholar] [CrossRef] [PubMed]
- Hernández-Fernández, J. Quantification of oxygenates, sulphides, thiols and permanent gases in propylene. A multiple linear regression model to predict the loss of efficiency in polypropylene production on an industrial scale. J. Chromatogr. A 2020, 1628, 461478. [Google Scholar] [CrossRef]
- Hernández-Fernández, J.; Cano, H.; Aldas, M. Impact of Traces of Hydrogen Sulfide on the Efficiency of Ziegler–Natta Catalyst on the Final Properties of Polypropylene. Polymers 2022, 14, 3910. [Google Scholar] [CrossRef]
- Vizen, E.I.; Rishina, L.A.; Sosnovskaja, L.N.; Dyachkovsky, F.S.; Dubnikova, I.L.; Ladygina, T.A. Study of hydrogen effect in propylene polymerization on (with) the MgCl2-supported ziegler-natta catalyst—Part 2. Effect of CS2 on polymerization centres. Eur. Polym. J. 1994, 30, 1315–1318. [Google Scholar] [CrossRef]
- Joaquin, H.F.; Juan, L. Quantification of poisons for Ziegler Natta catalysts and effects on the production of polypropylene by gas chromatographic with simultaneous detection: Pulsed discharge helium ionization, mass spectrometry and flame ionization. J. Chromatogr. A 2020, 1614, 460736. [Google Scholar] [CrossRef] [PubMed]
- Joaquin, H.F.; Juan, L.M. Autocatalytic influence of different levels of arsine on the thermal stability and pyrolysis of polypropylene. J. Anal. Appl. Pyrolysis 2022, 161, 105385. [Google Scholar] [CrossRef]
- Pasynkiewicz, S. Reactions of organoaluminium compounds with electron donors. Pure Appl. Chem. 1972, 30, 509–522. [Google Scholar] [CrossRef]
- Cheremisinoff, N.P. Handbook of Polymer Science and Technology: Performance Properties of Plastics and Elastomers: Volume 2; CRC Press: Boca Raton, FL, USA, 2023; Volume 2, pp. 1–743. [Google Scholar]
- Mehdizadeh, M.; Karkhaneh, F.; Nekoomanesh, M.; Sadjadi, S.; Emami, M.; Teimoury, H.; Salimi, M.; Solà, M.; Poater, A.; Bahri-Laleh, N.; et al. Influence of the Ethanol Content of Adduct on the Comonomer Incorporation of Related Ziegler–Natta Catalysts in Propylene (Co)polymerizations. Polymers 2023, 15, 4476. [Google Scholar] [CrossRef]
- Hernández-Fernández, J.; González-Cuello, R.; Ortega-Toro, R. Evaluation of the Reactivity of Methanol and Hydrogen Sulfide Residues with the Ziegler–Natta Catalyst during Polypropylene Synthesis and Its Effects on Polymer Properties. Polymers 2023, 15, 4061. [Google Scholar] [CrossRef]
- Lundeen, A.J.; Oehlschlager, A.C. The reaction of triethylaluminum with epoxides. J. Organomet. Chem. 1970, 25, 337–344. [Google Scholar] [CrossRef]
- Ashby, E.C.; Smith, R.S. Concerning the Mechanism of Trimethylaluminum Addition to Benzophenone. J. Org. Chem. 1977, 42, 425–427. [Google Scholar] [CrossRef]
- Sinha, A.K.; Narang, H.K.; Bhattacharya, S. Mechanical properties of hybrid polymer composites: A review. J. Braz. Soc. Mech. Sci. Eng. 2020, 42, 431. [Google Scholar] [CrossRef]
- Redzic, E.; Garoff, T.; Mardare, C.C.; List, M.; Hesser, G.; Mayrhofer, L.; Hassel, A.W.; Paulik, C. Heterogeneous Ziegler-Natta catalysts with various sizes of MgCl2 crystallites: Synthesis and characterization. Iran. Polym. J. 2016, 25, 321–337. [Google Scholar] [CrossRef]
- Abazari, M.; Jamjah, R.; Bahri-Laleh, N.; Hanifpour, A. Synthesis and evaluation of a new high-performance trimetallic Ziegler-Natta catalyst for ethylene polymerization: Experimental and computational studies. Polym. Bull. 2021, 79, 7265–7280. [Google Scholar] [CrossRef]
- Pernusch, D.C.; Spiegel, G.; Paulik, C.; Hofer, W. Influence of Poisons Originating from Chemically Recycled Plastic Waste on the Performance of Ziegler–Natta Catalysts. Macromol. React. Eng. 2022, 16, 2100020. [Google Scholar] [CrossRef]
- Praserthdam, P.; Jongsomjit, B.; Tangjituabun, K.; Khaubunsongserm, S.; Puriwathana, A.; Kim, S.Y.; Hiraoka, Y.; Taniike, T.; Terano, M. Effect of SiO2, CaO, Mixed Lewis Acids, Mixed Co-Catalysts and Poisons on Ziegler-Natta Catalysts. In Proceedings of the 24th North American Catalysis Society Meeting, Pittsburgh, PA, USA, 14–19 June 2015. [Google Scholar]








| Inhibitor | Sample Nomenclature | Injected Concentrations (ppm) |
|---|---|---|
| Propylene oxide | M0 | 0 |
| M1 | 0.00063 | |
| M2 | 0.00116 | |
| M3 | 0.00226 | |
| M4 | 0.0053 | |
| M5 | 0.01 | |
| M6 | 0.015 | |
| M7 | 0.021 | |
| Ethylene oxide | M8 | 0 |
| M9 | 0.0666 | |
| M10 | 0.1333 | |
| M11 | 0.2733 | |
| M12 | 0.5766 | |
| M13 | 0.6566 | |
| M14 | 0.6966 | |
| M15 | 0.7433 | |
| 1,2-butene oxide | M16 | 0 |
| M17 | 0.00012 | |
| M18 | 0.00012 | |
| M19 | 0.00313 | |
| M20 | 0.01333 | |
| M21 | 0.025 | |
| M22 | 0.05266 | |
| 1,2-pentene oxide | M24 | 0 |
| M25 | 0.00143 | |
| M26 | 0.052 | |
| M27 | 0.075 | |
| M28 | 0.124 | |
| M29 | 0.27266 | |
| M30 | 0.662 | |
| M31 | 1.24533 |
| Bonds | ZN-E-P | ZN-OE | ZN-OP | ZN-O1,2B | ZN-O1,2P |
|---|---|---|---|---|---|
| Ti-O | -------- | 430 | 440 | 475 | 475 |
| Ti-Cl | 618–555 | 493 | 725 | 591 | 599 |
| Cl-Mg | 1510 | 1456 | 1510 | 1625 | 1634 |
| Cl-Ti-O-CH2 | -------- | 957 | 1037 | 1028 | 1037 |
| -CH3 | 2990–2972 | -------- | 3044 | 2981 | 3106–2990 |
| -CH2 | 1510–1474 | 1456–1260 | 1510–1438 | 1501–1456 | 1501–1456 |
| Reagents | Products | |
|---|---|---|
| TiCl4 + C3H7O | → | C2H4OTiCl4 |
| TiCl4 + C3H6O | → | C3H6OTiCl4 |
| TiCl4 + C4H8O | → | C4H8OTiCl4 |
| TiCl4 + C4H8O | → | C5H10OTiCl4 |
Disclaimer/Publisher’s Note: The statements, opinions and data contained in all publications are solely those of the individual author(s) and contributor(s) and not of MDPI and/or the editor(s). MDPI and/or the editor(s) disclaim responsibility for any injury to people or property resulting from any ideas, methods, instructions or products referred to in the content. |
© 2024 by the authors. Licensee MDPI, Basel, Switzerland. This article is an open access article distributed under the terms and conditions of the Creative Commons Attribution (CC BY) license (https://creativecommons.org/licenses/by/4.0/).
Share and Cite
Fernandez, J.H.; Ortega-Toro, R.; Castro-Suarez, J.R. Multiple Traces of Families of Epoxy Derivatives as New Inhibitors of the Industrial Polymerization Reaction of Propylene. Polymers 2024, 16, 2080. https://doi.org/10.3390/polym16142080
Fernandez JH, Ortega-Toro R, Castro-Suarez JR. Multiple Traces of Families of Epoxy Derivatives as New Inhibitors of the Industrial Polymerization Reaction of Propylene. Polymers. 2024; 16(14):2080. https://doi.org/10.3390/polym16142080
Chicago/Turabian StyleFernandez, Joaquin Hernandez, Rodrigo Ortega-Toro, and John R. Castro-Suarez. 2024. "Multiple Traces of Families of Epoxy Derivatives as New Inhibitors of the Industrial Polymerization Reaction of Propylene" Polymers 16, no. 14: 2080. https://doi.org/10.3390/polym16142080
APA StyleFernandez, J. H., Ortega-Toro, R., & Castro-Suarez, J. R. (2024). Multiple Traces of Families of Epoxy Derivatives as New Inhibitors of the Industrial Polymerization Reaction of Propylene. Polymers, 16(14), 2080. https://doi.org/10.3390/polym16142080

