Tension and Shear Behaviour of Basalt Fiber Bio-Composites with Digital Image Correlation and Acoustic Emission Monitoring
Abstract
1. Introduction
2. Materials and Methods
2.1. Specimen Manufacturing
2.2. Acoustic Emission Monitoring and DIC
2.3. Modified Arcan Specimens
3. Results
3.1. Mechanical Properties
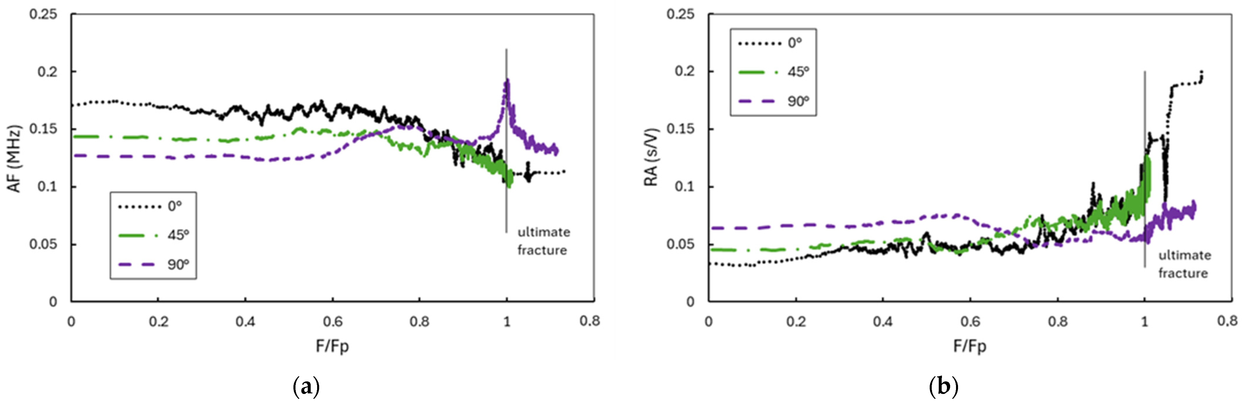
3.2. Damage Mechanisms and Acoustic Emission Signals
4. Conclusions
Author Contributions
Funding
Institutional Review Board Statement
Data Availability Statement
Acknowledgments
Conflicts of Interest
References
- Vuluga, Z.; Sanporean, C.G.; Panaitescu, D.M.; Teodorescu, G.M.; Corobea, M.C.; Nicolae, C.A.; Gabor, A.R.; Raditoiu, V. The Effect of Sebs/Halloysite Masterbatch Obtained in Different Extrusion Conditions on the Properties of Hybrid Polypropylene/Glass Fiber Composites for Auto Parts. Polymers 2021, 13, 3560. [Google Scholar] [CrossRef] [PubMed]
- Al-Jumaili, S.K.; Holford, K.M.; Eaton, M.J.; Pullin, R. Parameter Correction Technique (PCT): A Novel Method for Acoustic Emission Characterisation in Large-Scale Composites. Compos. B Eng. 2015, 75, 336–344. [Google Scholar] [CrossRef]
- Shah, S.Z.H.; Karuppanan, S.; Megat-Yusoff, P.S.M.; Sajid, Z. Impact Resistance and Damage Tolerance of Fiber Re-inforced Composites: A Review. Compos. Struct. 2019, 217, 100–121. [Google Scholar] [CrossRef]
- Ud Din, I.; Naresh, K.; Umer, R.; Khan, K.A.; Drzal, L.T.; Haq, M.; Cantwell, W.J. Processing and Out-of-Plane Properties of Composites with Embedded Graphene Paper for EMI Shielding Applications. Compos. Part A Appl. Sci. Manuf. 2020, 134, 105901. [Google Scholar] [CrossRef]
- Sause, M.G.R. In Situ Monitoring of Fiber-Reinforced Composites Theory, Basic Concepts, Methods, and Applications; Springer: Berlin/Heidelberg, Germany, 2016. [Google Scholar]
- Selcuk, S.; Ahmetoglu, U.; Gokce, E.C. Basalt Fiber Reinforced Polymer Composites (BFRP) Other than Rebars: A Review. Mater. Today Commun. 2023, 37, 107359. [Google Scholar] [CrossRef]
- Tabi, T.; Tamas, P.; Kovacs, J.G. Chopped Basalt Fibres: A New Perspective in Reinforcing Poly(Lactic Acid) to Produce Injection Moulded Engineering Composites from Renewable and Natural Resources. Express Polym. Lett. 2013, 7, 107–119. [Google Scholar] [CrossRef]
- Tavadi, A.R.; Naik, Y.; Kumaresan, K.; Jamadar, N.I.; Rajaravi, C. Basalt Fiber and Its Composite Manufacturing and Applications: An Overview. Int. J. Eng. Sci. Technol. 2022, 13, 50–56. [Google Scholar] [CrossRef]
- Colombo, C.; Vergani, L.; Burman, M. Static and Fatigue Characterisation of New Basalt Fibre Reinforced Composites. Compos. Struct. 2012, 94, 1165–1174. [Google Scholar] [CrossRef]
- Deak, T.; Czigany, T.; Tamas, P.; Nemeth, C. Enhancement of Interfacial Properties of Basalt Fiber Reinforced Nylon 6 Matrix Composites with Silane Coupling Agents. Express Polym. Lett. 2010, 4, 590–598. [Google Scholar] [CrossRef]
- Nasir, V.; Karimipour, H.; Taheri-Behrooz, F.; Shokrieh, M.M. Corrosion Behaviour and Crack Formation Mechanism of Basalt Fibre in Sulphuric Acid. Corros. Sci. 2012, 64, 1–7. [Google Scholar] [CrossRef]
- Friedrich, M.; Schulze, A.; Prösch, G.; Walter, C.; Weikert, D.; Binh, N.M.; Zahn, D.R.T. Investigation of Chemically Treated Basalt and Glass Fibres. Microchim. Acta 2000, 133, 171–174. [Google Scholar] [CrossRef]
- Kadykova, Y.A.; Artemenko, S.E.; Vasil’eva, O.V.; Leont’ev, A.N. Physicochemical Reaction in Polymer Composite Materials Made from Carbon, Glass, and Basalt Fibres. Fibre Chem. 2003, 35, 455–457. [Google Scholar] [CrossRef]
- Matveeva, I.G.; Lebedev, M.P. Polymer Composite Materials Based on Basalt. Theor. Found. Chem. Eng. 2018, 52, 670–672. [Google Scholar] [CrossRef]
- Ralph, C.; Lemoine, P.; Summerscales, J.; Archer, E.; McIlhagger, A. Relationships among the Chemical, Mechanical and Geometrical Properties of Basalt Fibers. Text. Res. J. 2019, 89, 3056–3066. [Google Scholar] [CrossRef]
- Sim, J.; Park, C.; Moon, D.Y. Characteristics of Basalt Fiber as a Strengthening Material for Concrete Structures. Compos. B Eng. 2005, 36, 504–512. [Google Scholar] [CrossRef]
- Puck, A.; Schürmann, H. Failure Analysis of FRP Laminates by Means of Physically Based Phenomenological Models. Compos. Sci. Technol. 2002, 62, 1633–1662. [Google Scholar] [CrossRef]
- Cuntze, R.G. Efficient 3D and 2D Failure Conditions for UD Laminae and Their Application within the Verification of the Laminate Design. Compos. Sci. Technol. 2006, 66, 1081–1096. [Google Scholar] [CrossRef]
- Lubineau, G.; Rahaman, A. A Review of Strategies for Improving the Degradation Properties of Laminated Contin-uous-Fiber/Epoxy Composites with Carbon-Based Nanoreinforcements. Carbon 2012, 50, 2377–2395. [Google Scholar] [CrossRef]
- Sivashanker, S.; Fleck, N.A.; Sutcliffe, M.P.F. Microbuckle Propagation in a Unidirectional Carbon Fibre-Epoxy Matrix Composite. Acta Mater. 1996, 44, 2581–2590. [Google Scholar] [CrossRef]
- Compressive Failure of Notched Carbon Fibre Composites. Proc. R. Soc. Lond. A Math. Phys. Sci. 1993, 440, 241–256. [CrossRef]
- Nouri, H.; Lubineau, G.; Traudes, D. An Experimental Investigation of the Effect of Shear-Induced Diffuse Damage on Transverse Cracking in Carbon-Fiber Reinforced Laminates. Compos. Struct. 2013, 106, 529–536. [Google Scholar] [CrossRef]
- Kashtalyan, M.; Soutis, C. Stiffness and Fracture Analysis of Laminated Composites with Off-Axis Ply Matrix Cracking. Compos. Part. A Appl. Sci. Manuf. 2007, 38, 1262–1269. [Google Scholar] [CrossRef]
- Kashtalyan, M.; Soutis, C. Modelling Off-Axis Ply Matrix Cracking in Continuous Fibre-Reinforced Polymer Matrix Composite Laminates. J. Mater. Sci. 2006, 41, 6789–6799. [Google Scholar] [CrossRef]
- Totry, E.; Molina-Aldareguía, J.M.; González, C.; LLorca, J. Effect of Fiber, Matrix and Interface Properties on the in-Plane Shear Deformation of Carbon-Fiber Reinforced Composites. Compos. Sci. Technol. 2010, 70, 970–980. [Google Scholar] [CrossRef]
- Lagattu, F.; Lafarie-Frenot, M.C. Variation of PEEK Matrix Crystallinity in APC-2 Composite Subjected to Large Shearing Deformations. Compos. Sci. Technol. 2000, 60, 605–612. [Google Scholar] [CrossRef]
- Tan, J.L.Y.; Deshpande, V.S.; Fleck, N.A. Failure Mechanisms of a Notched CFRP Laminate under Multi-Axial Loading. Compos. Part A Appl. Sci. Manuf. 2015, 77, 56–66. [Google Scholar] [CrossRef]
- Kalteremidou, K.A.; Aggelis, D.G.; Van Hemelrijck, D.; Pyl, L. On the Use of Acoustic Emission to Identify the Dom-inant Stress/Strain Component in Carbon/Epoxy Composite Materials. Mech. Res. Commun. 2021, 111, 103663. [Google Scholar] [CrossRef]
- Kalteremidou, K.A.; Murray, B.R.; Tsangouri, E.; Aggelis, D.G.; Van Hemelrijck, D.; Pyl, L. Multiaxial Damage Characterization of Carbon/Epoxy Angle-Ply Laminates under Static Tension by Combining in Situ Microscopy with Acoustic Emission. Appl. Sci. 2018, 8, 2021. [Google Scholar] [CrossRef]
- Aggelis, D.G.; Barkoula, N.M.; Matikas, T.E.; Paipetis, A.S. Acoustic Structural Health Monitoring of Composite Materials: Damage Identification and Evaluation in Cross Ply Laminates Using Acoustic Emission and Ultrasonics. Compos. Sci. Technol. 2012, 72, 1127–1133. [Google Scholar] [CrossRef]
- Carpinteri, A.; Lacidogna, G.; Manuello, A. Acoustic, Electromagnetic, Neutron Emissions from Fracture and Earthquakes; Springer International Publishing: Berlin/Heidelberg, Germany, 2016; ISBN 9783319169552. [Google Scholar]
- Guel, N.; Hamam, Z.; Godin, N.; Reynaud, P.; Caty, O.; Bouillon, F.; Paillassa, A. Data Merging of Ae Sensors with Different Frequency Resolution for the Detection and Identification of Damage in Oxide-Based Ceramic Matrix Composites. Materials 2020, 13, 4691. [Google Scholar] [CrossRef]
- Hamam, Z.; Godin, N.; Reynaud, P.; Fusco, C.; Carrère, N.; Doitrand, A. Transverse Cracking Induced Acoustic Emission in Carbon Fiber-Epoxy Matrix Composite Laminates. Materials 2022, 15, 394. [Google Scholar] [CrossRef] [PubMed]
- Kek, T.; Potočnik, P.; Misson, M.; Bergant, Z.; Sorgente, M.; Govekar, E.; Šturm, R. Characterization of Biocomposites and Glass Fiber Epoxy Composites Based on Acoustic Emission Signals, Deep Feature Extraction, and Machine Learning. Sensors 2022, 22, 6886. [Google Scholar] [CrossRef] [PubMed]
- Droubi, M.G.; Stuart, A.; Mowat, J.; Noble, C.; Prathuru, A.K.; Faisal, N.H. Acoustic Emission Method to Study Fracture (Mode-I, II) and Residual Strength Characteristics in Composite-to-Metal and Metal-to-Metal Adhesively Bonded Joints. J. Adhes. 2018, 94, 347–386. [Google Scholar] [CrossRef]
- Ud Din, I.; Tu, S.; Hao, P.; Panier, S.; Khan, K.A.; Umer, R.; Shah, S.Z.H.; Franz, G.; Aamir, M. Sequential Damage Study Induced in Fiber Reinforced Composites by Shear and Tensile Stress Using a Newly Developed Arcan Fixture. J. Mater. Res. Technol. 2020, 9, 13352–13364. [Google Scholar] [CrossRef]
- Lin, Z.; Shi, C.; Huang, X.; Tang, C.; Yuan, Y. A Study on Damage of T800 Carbon Fiber/Epoxy Composites under In-Plane Shear Using Acoustic Emission and Digital Image Correlation. Polymers 2023, 15, 4319. [Google Scholar] [CrossRef] [PubMed]
- Lobanov, D.; Yankin, A.; Mullahmetov, M.; Chebotareva, E.; Melnikova, V. The Analysis of Stress Raisers Affecting the GFRP Strength at Quasi-Static and Cyclic Loads by the Theory of Critical Distances, Digital Image Correlation, and Acoustic Emission. Polymers 2023, 15, 2087. [Google Scholar] [CrossRef] [PubMed]
- Aggelis, D.G. Classification of Cracking Mode in Concrete by Acoustic Emission Parameters. Mech. Res. Commun. 2011, 38, 153–157. [Google Scholar] [CrossRef]
- Aggelis, D.G.; Mpalaskas, A.C.; Matikas, T.E. Investigation of Different Fracture Modes in Cement-Based Materials by Acoustic Emission. Cem. Concr. Res. 2013, 48, 1–8. [Google Scholar] [CrossRef]
- JCMS-IIIB5706; Japan Construction Material Standards. Monitoring Method for Active Cracks in Concrete by Acoustic Emission. The Federation of Construction Material Industries: Tokyo, Japan, 2003.
- Herakovich, C.T.; Schroedter, R.D.; Gasser, A.; Guitard, L. Damage evolution in [±45] s laminates with fiber rotation. Compos. Sci. Technol. 2000, 60, 2781–2789. [Google Scholar] [CrossRef]
- Hao, P.; Din, I.U.; Panier, S. Development of Modified Arcan Fixture for Biaxial Loading Response of Fiber-Reinforced Composites. Polym. Test. 2019, 80, 106148. [Google Scholar] [CrossRef]











| Loading Angle α (°) | Peak Load P (kN) | Tensile Strength σ (MPa) | Shear Strength τ (MPa) |
|---|---|---|---|
| 0 | 23.4 | 345 | 0 |
| 45 | 11.9 | 124 | 124 |
| 90 | 4.7 | 0 | 69 |
Disclaimer/Publisher’s Note: The statements, opinions and data contained in all publications are solely those of the individual author(s) and contributor(s) and not of MDPI and/or the editor(s). MDPI and/or the editor(s) disclaim responsibility for any injury to people or property resulting from any ideas, methods, instructions or products referred to in the content. |
© 2024 by the authors. Licensee MDPI, Basel, Switzerland. This article is an open access article distributed under the terms and conditions of the Creative Commons Attribution (CC BY) license (https://creativecommons.org/licenses/by/4.0/).
Share and Cite
Kek, T.; Šturm, R.; Bergant, Z. Tension and Shear Behaviour of Basalt Fiber Bio-Composites with Digital Image Correlation and Acoustic Emission Monitoring. Polymers 2024, 16, 1331. https://doi.org/10.3390/polym16101331
Kek T, Šturm R, Bergant Z. Tension and Shear Behaviour of Basalt Fiber Bio-Composites with Digital Image Correlation and Acoustic Emission Monitoring. Polymers. 2024; 16(10):1331. https://doi.org/10.3390/polym16101331
Chicago/Turabian StyleKek, Tomaž, Roman Šturm, and Zoran Bergant. 2024. "Tension and Shear Behaviour of Basalt Fiber Bio-Composites with Digital Image Correlation and Acoustic Emission Monitoring" Polymers 16, no. 10: 1331. https://doi.org/10.3390/polym16101331
APA StyleKek, T., Šturm, R., & Bergant, Z. (2024). Tension and Shear Behaviour of Basalt Fiber Bio-Composites with Digital Image Correlation and Acoustic Emission Monitoring. Polymers, 16(10), 1331. https://doi.org/10.3390/polym16101331

