Utilization of Silica Filler as Reinforcement Material of Polylactic Acid (PLA) in 3D Printing Applications: Thermal, Rheological, and Mechanical Performance
Abstract
1. Introduction
2. Materials and Methods
3. Results
3.1. SEM Analysis
3.2. DSC Analysis
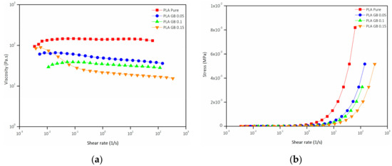
3.3. Rheological Analysis
3.4. Dynamic Mechanical Analysis—Tensile and 3-Point Bending Tests
4. Discussion
5. Conclusions
Author Contributions
Funding
Institutional Review Board Statement
Data Availability Statement
Conflicts of Interest
Abbreviations
| WEEE | Waste Electric and Electronic Equipment |
| EU | European Union |
| PV | Photovoltaic |
| RM | Raw Materials |
| MEX | Material Extrusion |
| 3D | Three Dimensional |
| CAD | Computer-aided Design |
| AM | Additive Manufacturing |
| PLA | Poly(Lactic) Acid |
| GB | Glass Beads |
| SEM | Scanning Electron Microscopy |
| DSC | Differential Scanning Calorimetry |
| EDX | Energy-dispersive X-ray Diffraction |
| ABS | Acrylonitrile butadiene styrene |
Appendix A
| Parameter (Printer Settings) | Value | Parameter (Filament Settings) | Value |
|---|---|---|---|
| Layer height (mm) | 0.2 | Diameter (mm) | 1.75 |
| No. of perimeters | 2 | Extrusion multiplier | 1.1 |
| Seam position | Rear | Bed temperature (°C) | 60 |
| Speed first layer (mm/s) | 20 | Nozzle first layer temperature (°C) | 215 |
| Speed others (mm/s) | 40 | Nozzle other layer temperature (°C) | 210 |
| Extruder width (mm) | 0.45 | Slow down if layer time is below | 10 s |


| D638-10 TYPE IV ASTM (D) Samples (Neck) | b (mm) | d (mm) | ISO 178 (P) Samples | b (mm) | d (mm) |
|---|---|---|---|---|---|
| 1D Pure PLA | 6.02 | 3.56 | 1P Pure PLA | 10.35 | 4.4 |
| 2D Pure PLA | 6.17 | 3.61 | 2P Pure PLA | 10.2 | 4.28 |
| 3D Pure PLA | 5.98 | 3.39 | 3P Pure PLA | 10.3 | 4.34 |
| 1D PLA_GB_0.05 | 6.26 | 3.67 | 1P PLA_GB_0.05 | 10.1 | 4.12 |
| 2D PLA_GB_0.05 | 6.16 | 3.61 | 2P PLA_GB_0.05 | 10.12 | 4.15 |
| 3D PLA_GB_0.05 | 6.14 | 3.61 | 3P PLA_GB_0.05 | 10.02 | 4.13 |
| 4D PLA_GB_0.1 | 6.1 | 3.49 | 4P PLA_GB_0.1 | 10.11 | 4.12 |
| 5D PLA_GB_0.1 | 6.09 | 3.63 | 5P PLA_GB_0.1 | 10.05 | 4.06 |
| 6D PLA_GB_0.1 | 6.21 | 3.63 | 6P PLA_GB_0.1 | 10.06 | 4.06 |
| 7D PLA_GB_0.15 | 6.03 | 3.54 | 7P PLA_GB_0.15 | 10.24 | 4.05 |
| 8D PLA_GB_0.15 | 6.29 | 3.45 | 8P PLA_GB_0.15 | 10.58 | 4.04 |
| 9D PLA_GB_0.15 | 6 | 3.34 | 9P PLA_GB_0.15 | 10.17 | 4.09 |
References
- Jha, M.K.; Choubey, P.; Kumari, A.; Kumar, R.; Kumar, V.; Lee, J.C. Leaching of lead from solder material used in electrical and electronic equipment. In Recycling of Electronic Waste II: Proceedings of the Second Symposium; Wiley: Hoboken, NJ, USA, 2011; pp. 25–31. [Google Scholar] [CrossRef]
- Miller, C.A.; Peters, I.M.; Zaverri, S. Thin Film CdTe Photovoltaics and the U.S. Energy Transition in 2020. 2020. Available online: https://www.firstsolar.com/-/media/First-Solar/Sustainability-Documents/Sustainability-Peer-Reviews/QESST-Thin-Film-PV-Report-2020.ashx (accessed on 10 February 2024).
- Stratiotou Efstratiadis, V.; Michailidis, N. Sustainable Recovery, Recycle of Critical Metals and Rare Earth Elements from Waste Electric and Electronic Equipment (Circuits, Solar, Wind) and Their Reusability in Additive Manufacturing Applications: A Review. Metals 2022, 12, 794. [Google Scholar] [CrossRef]
- Lee, T.D.; Ebong, A.U. A review of thin fi lm solar cell technologies and challenges. Renew. Sustain. Energy Rev. 2016, 70, 1286–1297. [Google Scholar] [CrossRef]
- Lingesh, B.V.; Rudresh, B.M.; Ravikumar, B.N. Effect of Short Glass Fibers on Mechanical Properties of Polyamide66 and Polypropylene (PA66/PP) Thermoplastic Blend Composites. Procedia Mater. Sci. 2014, 5, 1231–1240. [Google Scholar] [CrossRef]
- Glass Recycling. Available online: https://closetheglassloop.eu/record-collection-of-glass-containers-for-recycling-hits-78-in-the-eu/ (accessed on 12 April 2022).
- Glass Recycling 2. Available online: https://www.gpi.org/glass-recycling-facts (accessed on 12 April 2022).
- Bruno, G.; Diglio, A.; Passaro, R.; Piccolo, C.; Quinto, I. Measuring spatial access to the recovery networks for WEEE: An in-depth analysis of the Italian case. Int. J. Prod. Econ. 2021, 240, 108210. [Google Scholar] [CrossRef]
- Ligon, S.C.; Liska, R.; Stampfl, J.; Gurr, M.; Mülhaupt, R. Polymers for 3D Printing and Customized Additive Manufacturing. Chem. Rev. 2017, 117, 10212–10290. [Google Scholar] [CrossRef] [PubMed]
- Zhang, C.; Li, Y.; Kang, W.; Liu, X.; Wang, Q. Current advances and future perspectives of additive manufacturing for functional polymeric materials and devices. SusMat Wiley Online Libr. 2021, 1, 127–147. [Google Scholar] [CrossRef]
- Akhoundi, B.; Nabipour, M.; Kordi, O.; Hajami, F. Calculating printing speed in order to correctly print PLA/continuous glass fiber composites via fused filament fabrication 3D printer. J. Thermoplast. Compos. Mater. 2023, 36, 162–181. [Google Scholar] [CrossRef]
- Wang, J.; Li, H.; Liu, R.; Li, L.; Lin, Y.H.; Nan, C.W. Thermoelectric and mechanical properties of PLA/Bi0.5Sb1.5Te3 composite wires used for 3D printing. Compos. Sci. Technol. 2018, 157, 1–9. [Google Scholar] [CrossRef]
- Schaedler, T.A.; Carter, W.B. Architected Cellular Materials. Annu. Rev. Mater. Res. 2016, 46, 187–210. [Google Scholar] [CrossRef]
- Bergström, J.S.; Hayman, D. An Overview of Mechanical Properties and Material Modeling of Polylactide (PLA) for Medical Applications. Ann. Biomed. Eng. 2016, 44, 330–340. [Google Scholar] [CrossRef]
- Gonçalves, C.; Gonçalves, I.C.; Magalhães, F.D.; Pinto, A.M. Poly(lactic acid) composites containing carbon-based nanomaterials: A review. Polymers 2017, 9, 269. [Google Scholar] [CrossRef] [PubMed]
- Farah, S.; Anderson, D.G.; Langer, R. Physical and mechanical properties of PLA, and their functions in widespread applications—A comprehensive review. Adv. Drug Deliv. Rev. 2016, 107, 367–392. [Google Scholar] [CrossRef] [PubMed]
- PLA vs PETG. Available online: https://www.3dnatives.com/en/pla-vs-petg-which-material-should-you-choose-110520215/ (accessed on 26 May 2022).
- Žagar, E.; Češarek, U.; Drinčić, A.; Sitar, S.; Shlyapnikov, I.M.; Pahovnik, D. Quantitative Determination of PA6 and/or PA66 Content in Polyamide-Containing Wastes. ACS Sustain. Chem. Eng. 2020, 8, 11818–11826. [Google Scholar] [CrossRef]
- Södergård, A.; Stolt, M. Properties of polylactic acid fiber based polymers and their correlation with composition. Prog. Polym. Sci. 2002, 27, 1123–1163. [Google Scholar] [CrossRef]
- Jacobsen, S.; Fritz, H.G. Plasticizing Polylactide-The Effect of Different Plasticizers on the Mechanical Properties. Polym. Eng. Sci. 1999, 39, 1303–1310. [Google Scholar] [CrossRef]
- PLA Properties. Available online: https://www.matweb.com/search/DataSheet.aspx?MatGUID=ab96a4c0655c4018a8785ac4031b9278 (accessed on 26 May 2022).
- Tjong, S.C.; Liang, G.D.; Bao, S.P. Finite Strain 3D Thermoviscoelastic Constitutive Model. Polym. Eng. Sci. 2008, 48, 177–183. [Google Scholar]
- Iannace, S.; Sorrentino, L.; Di Maio, E. Biodegradable biomedical foam scaffolds. In Biomedical Foams for Tissue Engineering Applications; Netti, P.A., Ed.; Woodhead Publishing: Sawston, UK, 2014; pp. 163–187. ISBN 9780857096968. [Google Scholar]
- Zhu, Z.H.; Zhang, N.; Wang, T.; Hao, M.Y. Short Review of Polymer Composites for 3D Printing. In Proceedings of the IOP Conference Series: Materials Science and Engineering; Institute of Physics Publishing: Bristol, UK, 2020; Volume 758, pp. 1–5. [Google Scholar]
- Wang, K.; Li, S.; Rao, Y.; Wu, Y.; Peng, Y.; Yao, S.; Zhang, H.; Ahzi, S. Flexure behaviors of ABS-based composites containing carbon and Kevlar fibers by material extrusion 3D printing. Polymers 2019, 11, 1878. [Google Scholar] [CrossRef] [PubMed]
- Ferdinánd, M.; Várdai, R.; Móczó, J.; Pukánszky, B. A novel approach to the impact modification of PLA. Eng. Fract. Mech. 2023, 277, 108950. [Google Scholar] [CrossRef]
- Ljungberg, N.; Wesslén, B. The effects of plasticizers on the dynamic mechanical and thermal properties of poly(lactic acid). J. Appl. Polym. Sci. 2002, 86, 1227–1234. [Google Scholar] [CrossRef]
- Maiza, M.; Benaniba, M.T.; Massardier-Nageotte, V. Plasticizing effects of citrate esters on properties of poly(lactic acid). J. Polym. Eng. 2016, 36, 371–380. [Google Scholar] [CrossRef]
- Wang, G.; Zhang, D.; Wan, G.; Li, B.; Zhao, G. Glass fiber reinforced PLA composite with enhanced mechanical properties, thermal behavior, and foaming ability. Polymer 2019, 181, 121803. [Google Scholar] [CrossRef]
- Kokila, G.N.; Mallikarjunaswamy, C.; Ranganatha, V.L. A Review on Synthesis, Properties, and Applications of Polylactic Acid/Silica Composites. Inorg. Nano-Metal Chem. 2022, 1–30. [Google Scholar] [CrossRef]
- Li, X.; Ni, Z.; Bai, S.; Lou, B. Preparation and Mechanical Properties of Fiber Reinforced PLA for 3D Printing Materials. In Proceedings of the IOP Conference Series: Materials Science and Engineering; Institute of Physics Publishing: Bristol, UK, 2018; Volume 322, pp. 1–7. [Google Scholar]
- ASTM D792; Standard Test Methods for Density and Specific Gravity (Relative Density) of Plastics by Displacement. ASTM Publishing House: West Conshohocken, PA, USA, 2000. Available online: https://www.astm.org/d0792-20.html (accessed on 27 March 2024).
- Stratiotou Efstratiadis, V.; Argyros, A.; Efthymiopoulos, P.; Maliaris, G.; Michailidis, N. Recycle of Printed Circuit Boards from Waste Electric and Electronic Equipment and Their Reusability As Filler in 3D Printed Poly(Lactic) Acid Composites. Eur. J. Mater. 2024, 4, 2318374. [Google Scholar] [CrossRef]
- Thermo Fisher Scientific Inc. Thermofischer (SEM). Available online: https://assets.thermofisher.com/TFS-Assets/MSD/Datasheets/desktop-sem-datasheet-prox-DS0300.pdf (accessed on 10 August 2022).
- Swapp, S. SEM. Available online: https://serc.carleton.edu/research_education/geochemsheets/techniques/SEM.html (accessed on 10 August 2022).
- TA Instruments (DSC). Available online: https://www.tainstruments.com/dsc-25/ (accessed on 9 August 2022).
- Rajisha, K.R.; Deepa, B.; Pothan, L.A.; Thomas, S. Thermomechanical and spectroscopic characterization of natural fibre composites. In Interface Engineering of Natural Fibre Composites for Maximum Performance; Zafeiropoulos, N.E., Ed.; Woodhead Publishing Limited: Sawston, UK, 2011; pp. 241–274. [Google Scholar]
- TA Instruments Corporation. TA Instruments (Rheometer). Available online: https://www.tainstruments.com/hr-20/ (accessed on 9 August 2022).
- TA Instruments–ElectroForce Systems Group. TA Instruments (Electroforce). Available online: https://www.tainstruments.com/wp-content/uploads/sellsheet_3550_101509_low.pdf (accessed on 9 August 2022).
- Spoerk, M.; Savandaiah, C.; Arbeiter, F.; Sapkota, J.; Holzer, C. Optimization of mechanical properties of glass-spheres-filled polypropylene composites for extrusion-based additive manufacturing. Polym. Compos. 2019, 40, 638–651. [Google Scholar] [CrossRef]
- Tábi, T.; Hajba, S.; Kovács, J.G. Effect of crystalline forms (α′ and α) of poly(lactic acid) on its mechanical, thermo-mechanical, heat deflection temperature and creep properties. Eur. Polym. J. 2016, 82, 232–243. [Google Scholar] [CrossRef]
- Díez-Rodríguez, T.M.; Blázquez-Blázquez, E.; Martínez, J.C.; Pérez, E.; Cerrada, M.L. Composites of a PLA with SBA-15 mesoporous silica: Polymorphism and properties after isothermal cold crystallization. Polymer 2022, 241, 124515. [Google Scholar] [CrossRef]
- Gracia-Fernández, C.A.; Gómez-Barreiro, S.; López-Beceiro, J.; Naya, S.; Artiaga, R. New approach to the double melting peak of poly(l-lactic acid) observed by DSC. J. Mater. Res. 2012, 27, 1379–1382. [Google Scholar] [CrossRef]
- Zhang, L.; Zhao, G.; Wang, G. Investigation on the α/δ crystal transition of poly(L-lactic acid) with different molecular weights. Polymers 2021, 13, 3280. [Google Scholar] [CrossRef]
- Zhang, C.; Lan, Q.; Zhai, T.; Nie, S.; Luo, J.; Yan, W. Melt crystallization behavior and crystalline morphology of Polylactide/Poly(ε-caprolactone) blends compatibilized by lactide-caprolactone copolymer. Polymers 2018, 10, 1181. [Google Scholar] [CrossRef]
- Malinowski, R.; Janczak, K.; Rytlewski, P.; Raszkowska-Kaczor, A.; Moraczewski, K.; Zuk, T. Influence of glass microspheres on selected properties of polylactide composites. Compos. Part B Eng. 2015, 76, 13–19. [Google Scholar] [CrossRef]
- Delaizir, G.; Calvez, L. A Novel Approach to Develop Chalcogenide Glasses and Glass-Ceramics by Pulsed Current Electrical Sintering (PCES). In Sintering of Ceramics—New Emerging Techniques; Lakshmanan, A., Ed.; InTechOpen: London, UK, 2012; pp. 281–306. [Google Scholar]
- Gong, X.; Pan, L.; Tang, C.Y.; Chen, L.; Li, C.; Wu, C.; Law, W.C.; Wang, X.; Tsui, C.P.; Xie, X. Investigating the crystallization behavior of poly(lactic acid) using CdSe/ZnS quantum dots as heterogeneous nucleating agents. Compos. Part B Eng. 2016, 91, 103–110. [Google Scholar] [CrossRef]
- Huang, J.-W.; Hung, Y.C.; Wen, Y.-L.; Kang, C.-C.; Yeh, M.-Y. Polylactide/Nano- and Micro-Scale Silica Composite Films. II. Melting Behavior and Cold Crystallization. J. Appl. Polym. Sci. 2009, 112, 3149–3156. [Google Scholar] [CrossRef]
- Kaully, T.; Siegmann, A.; Shacham, D. Rheology of Highly Filled Natural CaCO3 Composites. II. Effects of Solid Loading and Particle Size Distribution on Rotational Rheometry. Polym. Compos. 2008, 28, 524–533. [Google Scholar] [CrossRef]
- Zołek-Tryznowska, Z. Rheology of Printing Inks. In Printing on Polymers: Fundamentals and Applications; Izdebska-Podsiadły, J., Thomas, S., Eds.; Plastics Design Library: Matthew Deans, MA, USA, 2015; pp. 87–99. ISBN 9780323374682. Available online: https://www.grid.uns.ac.rs/data/biblioteka/izdavastvo/knjige/monografije/Printing_on_polymers_Screen_printing.pdf (accessed on 27 March 2024).
- Yin, X.; Hong, L.; Liu, Z. A study on the fundamental ceramic-polymer interactions in the high CeO2-loading polyethylene glycol blend. J. Eur. Ceram. Soc. 2005, 25, 3097–3107. [Google Scholar] [CrossRef]
- Cipriano, T.F.; Da Silva, A.L.N.; Da Fonseca Thomé Da Silva, A.H.M.; De Sousa, A.M.F.; Da Silva, G.M.; Rocha, M.G. Thermal, rheological and morphological properties of poly (Lactic Acid) (PLA) and talc composites. Polimeros 2014, 24, 276–282. [Google Scholar] [CrossRef]
- Xie, D.; Zhao, Y.; Li, Y.; LaChance, A.M.; Lai, J.; Sun, L.; Chen, J. Rheological, thermal, and degradation properties of PLA/PPG Blends. Materials 2019, 12, 3519. [Google Scholar] [CrossRef]
- ASTM D638-10; Standard Test Method for Tensile Properties of Plastics. ASTM Publishing House: West Conshohocken, PA, USA, 2015. Available online: https://www.astm.org/d0638-22.html (accessed on 27 March 2024).
- ISO 178; Plastics Determination of Flexural Properties. International Organization for Standardization Publishing House: Geneva, Switzerland, 2019. Available online: https://www.iso.org/standard/70513.html (accessed on 27 March 2024).
- Gogoi, R.; Kumar, N.; Mireja, S.; Ravindranath, S.S.; Manik, G.; Sinha, S. Effect of Hollow Glass Microspheres on the Morphology, Rheology and Crystallinity of Short Bamboo Fiber-Reinforced Hybrid Polypropylene Composite. JOM 2019, 71, 548–558. [Google Scholar] [CrossRef]
- Siraj, S.; Al-Marzouqi, A.H.; Iqbal, M.Z.; Ahmed, W. Impact of Micro Silica Filler Particle Size on Mechanical Properties of Polymeric Based Composite Material. Polymers 2022, 14, 4830. [Google Scholar] [CrossRef] [PubMed]
- Wu, J.-H.; Yen, M.-S.; Kuo, M.C.; Chen, B.-H. Physical properties and crystallization behavior of silica particulates reinforced poly(lactic acid) composites. Mater. Chem. Phys. 2013, 142, 726–733. [Google Scholar] [CrossRef]
- Yang, D.; Cao, Y.; Zhang, Z.; Yin, Y.; Li, D. Effects of crystallinity control on mechanical properties of 3D-printed short-carbon-fiber-reinforced polyether ether ketone composites. Polym. Test. 2021, 97, 107149. [Google Scholar] [CrossRef]
- Branciforti, M.C.; Oliveira, C.A.; de Sousa, J.A. Molecular orientation, crystallinity, and flexural modulus correlations in injection molded polypropylene/talc composites. Polym. Adv. Technol. 2010, 21, 322–330. [Google Scholar] [CrossRef]
- Atakok, G.; Kam, M.; Koc, H.B. Tensile, three-point bending and impact strength of 3D printed parts using PLA and recycled PLA filaments: A statistical investigation. J. Mater. Res. Technol. 2022, 18, 1542–1554. [Google Scholar] [CrossRef]
- Kuba, D.; Matsuzaki, R.; Ochi, S.; Ogihara, S. 3D printing of composite materials using ultralow-melt-viscosity polymer and continuous carbon fiber. Compos. Part C Open Access 2022, 8, 100250. [Google Scholar] [CrossRef]
- Kim, J.W.; Lee, J.S. The effect of the melt viscosity and impregnation of a film on the mechanical properties of thermoplastic composites. Materials 2016, 9, 448. [Google Scholar] [CrossRef] [PubMed]
- Xie, Y.; Hill, C.A.S.; Xiao, Z.; Militz, H.; Mai, C. Silane coupling agents used for natural fiber/polymer composites: A review. Compos. Part A Appl. Sci. Manuf. 2010, 41, 806–819. [Google Scholar] [CrossRef]
- El Magri, A.; El Mabrouk, K.; Vaudreuil, S. Preparation and characterization of poly (ether ether ketone)/poly (ether imide)[PEEK/PEI] blends for fused filament fabrication. J. Mater. Sci. 2021, 56, 14348–14367. [Google Scholar] [CrossRef]












| Point | Element Number | Element Symbol | Atomic Concentration |
|---|---|---|---|
| 1 | 8 | O | 79.57 |
| 14 | Si | 20.43 | |
| 2 | 8 | O | 79.44 |
| 14 | Si | 20.56 | |
| 3 | 8 | O | 76.50 |
| 14 | Si | 23.50 |
| Sample | Tg (°C) | Tcc (°C) | Tm (°C) |
|---|---|---|---|
| PLA | 63.11 | 125.19 | 153.51 |
| PLA GB 0.05 | 62.44 | 124.89 | 150.45 |
| PLA GB 0.1 | 62.27 | 127.17 | 150.35 |
| PLA GB 0.15 | 62.2 | 125.58 | 150.13 |
| Sample | ΔHm (J/g) | ΔHcc (J/g) | φ | Xc (%) |
|---|---|---|---|---|
| PLA | 17.45 | −14.9 | 1 | 2.74 |
| PLA GB 0.05 | 15.52 | −13.51 | 0.95 | 2.27 |
| PLA GB 0.1 | 12.36 | −10.27 | 0.9 | 2.50 |
| PLA GB 0.15 | 15.63 | −13.26 | 0.85 | 3 |
| Sample | E (GPa) | σ (MPa) | ε (%) |
|---|---|---|---|
| PLA | 1.91 | 53.75 | 5.88 |
| PLA GB 0.05 | 1.97 | 47.57 | 5.77 |
| PLA GB 0.1 | 2.05 | 41.25 | 5.50 |
| PLA GB 0.15 | 2.24 | 37.43 | 2.46 |
| Sample | Ef (GPa) | σf (MPa) |
|---|---|---|
| PLA | 1.91 | 53.75 |
| PLA GB 0.05 | 1.97 | 47.57 |
| PLA GB 0.1 | 2.05 | 41.25 |
| PLA GB 0.15 | 2.24 | 37.43 |
Disclaimer/Publisher’s Note: The statements, opinions and data contained in all publications are solely those of the individual author(s) and contributor(s) and not of MDPI and/or the editor(s). MDPI and/or the editor(s) disclaim responsibility for any injury to people or property resulting from any ideas, methods, instructions or products referred to in the content. |
© 2024 by the authors. Licensee MDPI, Basel, Switzerland. This article is an open access article distributed under the terms and conditions of the Creative Commons Attribution (CC BY) license (https://creativecommons.org/licenses/by/4.0/).
Share and Cite
Stratiotou Efstratiadis, V.; Argyros, A.; Efthymiopoulos, P.; Maliaris, G.; Nasikas, N.K.; Michailidis, N. Utilization of Silica Filler as Reinforcement Material of Polylactic Acid (PLA) in 3D Printing Applications: Thermal, Rheological, and Mechanical Performance. Polymers 2024, 16, 1326. https://doi.org/10.3390/polym16101326
Stratiotou Efstratiadis V, Argyros A, Efthymiopoulos P, Maliaris G, Nasikas NK, Michailidis N. Utilization of Silica Filler as Reinforcement Material of Polylactic Acid (PLA) in 3D Printing Applications: Thermal, Rheological, and Mechanical Performance. Polymers. 2024; 16(10):1326. https://doi.org/10.3390/polym16101326
Chicago/Turabian StyleStratiotou Efstratiadis, Vasileios, Apostolos Argyros, Pavlos Efthymiopoulos, Georgios Maliaris, Nektarios K. Nasikas, and Nikolaos Michailidis. 2024. "Utilization of Silica Filler as Reinforcement Material of Polylactic Acid (PLA) in 3D Printing Applications: Thermal, Rheological, and Mechanical Performance" Polymers 16, no. 10: 1326. https://doi.org/10.3390/polym16101326
APA StyleStratiotou Efstratiadis, V., Argyros, A., Efthymiopoulos, P., Maliaris, G., Nasikas, N. K., & Michailidis, N. (2024). Utilization of Silica Filler as Reinforcement Material of Polylactic Acid (PLA) in 3D Printing Applications: Thermal, Rheological, and Mechanical Performance. Polymers, 16(10), 1326. https://doi.org/10.3390/polym16101326

