Temperature Responsive Diblock Polymer Brushes as Nanoreactors for Silver Nanoparticles Catalysis
Abstract
1. Introduction
2. Materials and Methods
2.1. Materials
2.2. Synthesis of VBDC
2.3. Synthesis of PS and PSV Cores
2.4. Synthesis of Diblock Polymer Brushes
2.5. Immobilization of AgNPs on Diblock Polymer Brushes
2.6. Reduction of 4-NP to 4-AP
2.7. Characterization
3. Results and Discussion
3.1. Synthesis of Diblock Polymer Brushes
3.2. Ionic Strength Responsive Properties of Diblock Polymer Brushes
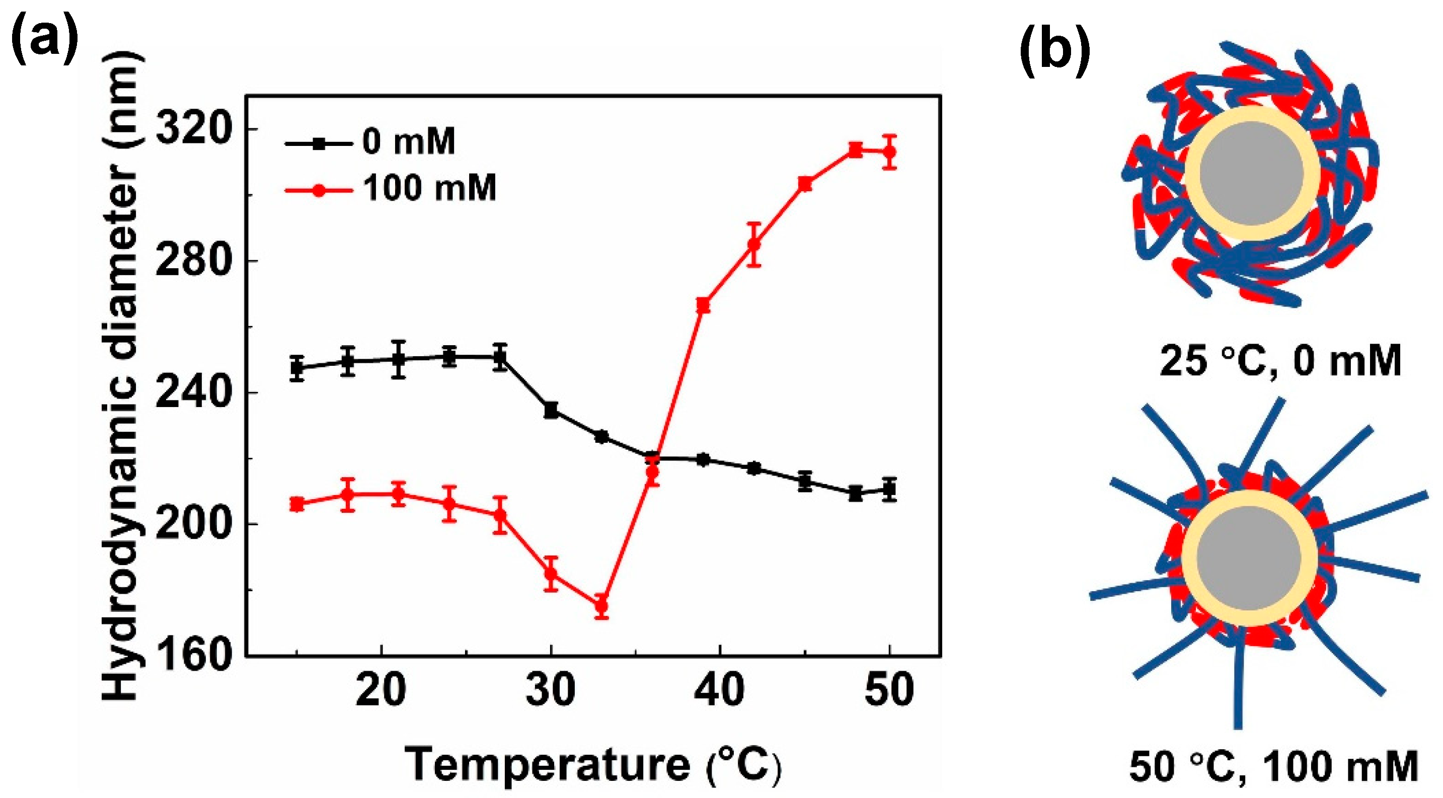
3.3. Temperature Responsive Properties of Diblock Polymer Brushes
3.4. Immobilization of Ag on Diblock Polymer Brushes
3.5. Catalytic Performance of AgNPs
4. Conclusions
Supplementary Materials
Author Contributions
Funding
Institutional Review Board Statement
Informed Consent Statement
Data Availability Statement
Conflicts of Interest
References
- Dreaden, E.C.; Alkilany, A.M.; Huang, X.H.; Murphy, C.J.; El-Sayed, M.A. The golden age: Gold nanoparticles for biomedicine. Chem. Soc. Rev. 2012, 41, 2740–2779. [Google Scholar] [CrossRef] [PubMed]
- Fievet, F.; Ammar-Merah, S.; Brayner, R.; Chau, F.; Giraud, M.; Mammeri, F.; Peron, J.; Piquemal, J.Y.; Sicard, L.; Viau, G. The polyol process: A unique method for easy access to metal nanoparticles with tailored sizes, shapes and compositions. Chem. Soc. Rev. 2018, 47, 5187–5233. [Google Scholar] [CrossRef] [PubMed]
- Keihan, A.H.; Veisi, H.; Veasi, H. Green synthesis and characterization of spherical copper nanoparticles as organometallic antibacterial agent. Appl. Organomet. Chem. 2017, 31, 3642–3649. [Google Scholar] [CrossRef]
- Roy, S.; Palui, G.; Banerjee, A. The as-prepared gold cluster-based fluorescent sensor for the selective detection of As-III ions in aqueous solution. Nanoscale 2012, 4, 2734–2740. [Google Scholar] [CrossRef] [PubMed]
- Shevtsova, T.; Cavallaro, G.; Lazzara, G.; Milioto, S.; Donchak, V.; Harhay, K.; Korolko, S.; Budkowski, A.; Stetsyshyn, Y. Temperature-responsive hybrid nanomaterials based on modified halloysite nanotubes uploaded with silver nanoparticles. Colloids Surf. A Physicochem. Eng. Asp. 2022, 641, 128525. [Google Scholar] [CrossRef]
- Stetsyshyn, Y.; Awsiuk, K.; Kusnezh, V.; Raczkowska, J.; Jany, B.R.; Kostruba, A.; Harhay, K.; Ohar, H.; Lishchynskyi, O.; Shymborska, Y.; et al. Shape-Controlled synthesis of silver nanoparticles in temperature-responsive grafted polymer brushes for optical applications. Appl. Surf. Sci. 2019, 463, 1124–1133. [Google Scholar] [CrossRef]
- Zhao, M.Q.; Crooks, R.M. Homogeneous hydrogenation catalysis with monodisperse, dendrimer-encapsulated Pd and Pt nanoparticles. Angew. Chem.-Int. Edit. 1999, 38, 364–366. [Google Scholar] [CrossRef]
- Sun, L.; Fu, Z.; Ma, E.; Guo, J.; Zhang, Z.; Li, W.; Li, L.; Liu, Z.; Guo, X. Ultrasmall Pt Nanozymes Immobilized on Spherical Polyelectrolyte Brushes with Robust Peroxidase-like Activity for Highly Sensitive Detection of Cysteine. Langmuir 2022, 38, 12915–12923. [Google Scholar] [CrossRef]
- Li, L.S.; Li, M.; Qiu, Z.Q.; Chen, K.M.; Xu, Y.S.; Guo, X.H.; Wang, J. Catalytic Activity Comparison of Gold Nanoparticles in Annealed and Quenched Spherical Polyelectrolyte Brushes. Chem. Lett. 2022, 51, 284–287. [Google Scholar] [CrossRef]
- Yang, Q.; Li, L.; Zhao, F.; Wang, Y.; Ye, Z.; Hua, C.; Liu, Z.; Bohinc, K.; Guo, X. Spherical Polyelectrolyte Brushes as Templates to Prepare Hollow Silica Spheres Encapsulating Metal Nanoparticles. Nanomaterials 2020, 10, 799. [Google Scholar] [CrossRef]
- Yang, Q.S.; Li, L.; Sun, L.; Ye, Z.S.; Wang, Y.W.; Guo, X.H. Spherical polyelectrolyte brushes as bio-platforms to integrate platinum nanozyme and glucose oxidase for colorimetric detection of glucose. J. Polym. Sci. 2021, 59, 2201–2211. [Google Scholar] [CrossRef]
- Zhu, Z.; Guo, X.; Wu, S.; Zhang, R.; Wang, J.; Li, L. Preparation of Nickel Nanoparticles in Spherical Polyelectrolyte Brush Nanoreactor and Their Catalytic Activity. Ind. Eng. Chem. Res. 2011, 50, 13848–13853. [Google Scholar] [CrossRef]
- Lu, Y.; Mei, Y.; Ballauff, M.; Drechsler, M. Thermosensitive core-shell particles as carrier systems for metallic nanoparticles. J. Phys. Chem. B 2006, 110, 3930–3937. [Google Scholar] [CrossRef] [PubMed]
- Schrinner, M.; Polzer, F.; Mei, Y.; Lu, Y.; Haupt, B.; Ballauff, M.; Goeldel, A.; Drechsler, M.; Preussner, J.; Glatzel, U. Mechanism of the formation of amorphous gold nanoparticles within spherical polyelectrolyte brushes. Macromol. Chem. Phys. 2007, 208, 1542–1547. [Google Scholar] [CrossRef]
- Lu, Y.; Mei, Y.; Schrinner, M.; Ballauff, M.; Moeller, M.W. In situ formation of Ag nanoparticles in spherical polyacrylic acid brushes by UV irradiation. J. Phys. Chem. C 2007, 111, 7676–7681. [Google Scholar] [CrossRef]
- Ballauff, M.; Lu, Y. “Smart” nanoparticles: Preparation, characterization and applications. Polymer 2007, 48, 1815–1823. [Google Scholar] [CrossRef]
- Bittrich, E.; Kuntzsch, M.; Eichhorn, K.-J.; Uhlmann, P. Complex pH- and Temperature-Sensitive Swelling Behavior of Mixed Polymer Brushes. J. Polym. Sci. Part B-Polym. Phys. 2010, 48, 1606–1615. [Google Scholar] [CrossRef]
- Cang, Y.; Zhang, R.; Fang, D.; Guo, X.; Zhu, X. Fabrication and characterization of bifunctional spherical polyelectrolyte brushes. Des. Monomers Polym. 2016, 19, 145–154. [Google Scholar] [CrossRef]
- Truong, N.P.; Jones, G.R.; Bradford, K.G.E.; Konkolewicz, D.; Anastasaki, A. A comparison of RAFT and ATRP methods for controlled radical polymerization. Nat. Rev. Chem. 2021, 5, 859–869. [Google Scholar] [CrossRef]
- Kuepfert, M.; Ahmed, E.; Weck, M. Self-Assembled Thermoresponsive Molecular Brushes as Nanoreactors for Asymmetric Aldol Addition in Water. Macromolecules 2021, 54, 3845–3853. [Google Scholar] [CrossRef]
- Chong, Y.K.; Ercole, F.; Moad, G.; Rizzardo, E.; Thang, S.H.; Anderson, A.G. Imidazolidinone nitroxide-mediated polymerization. Macromolecules 1999, 32, 6895–6903. [Google Scholar] [CrossRef]
- Stanzel, M.; Kunz, U.; Andrieu-Brunsen, A. Layer-selective functionalisation in mesoporous double layer via iniferter initiated polymerisation for nanoscale step gradient formation. Eur. Polym. J. 2021, 156, 110604. [Google Scholar] [CrossRef]
- Otsu, T.; Yamashita, K.; Tsuda, K. Synthesis, reactivity, and role of 4-vinylbenzyl N,N-diethyldithiocarbamate as a monomer-iniferter in radical polymerization. Macromolecules 1986, 19, 287–290. [Google Scholar] [CrossRef]
- Cao, L.; Chen, K.; Qin, X.; Zhang, Y.; Li, K.; Guo, X. Effect of block sequence on responsive behavior of core-shell diblock polymer brushes. Mater. Lett. 2018, 223, 116–119. [Google Scholar] [CrossRef]
- Wang, Z.; Chen, K.; Hua, C.; Guo, X. Conformation Variation and Tunable Protein Adsorption through Combination of Poly(acrylic acid) and Antifouling Poly(N-(2-hydroxyethyl) acrylamide) Diblock on a Particle Surface. Polymers 2020, 12, 566. [Google Scholar] [CrossRef] [PubMed]
- Samokhina, L.; Schrinner, M.; Ballauff, M. Binding of oppositely charged surfactants to spherical polyelectrolyte brushes: A study by cryogenic transmission electron microscopy. Langmuir 2007, 23, 3615–3619. [Google Scholar] [CrossRef]
- Chen, K.; Cao, L.; Zhang, Y.; Li, K.; Qin, X.; Guo, X. Conformation Study of Dual Stimuli-Responsive Core-Shell Diblock Polymer Brushes. Polymers 2018, 10, 1084. [Google Scholar] [CrossRef]
- Guo, X.; Weiss, A.; Ballauff, M. Synthesis of spherical polyelectrolyte brushes by photoemulsion polymerization. Macromolecules 1999, 32, 6043–6046. [Google Scholar] [CrossRef]
- Cao, S.; Tong, X.; Dai, K.; Xu, Q. A super-stretchable and tough functionalized boron nitride/PEDOT:PSS/poly(N-isopropylacrylamide) hydrogel with self-healing, adhesion, conductive and photothermal activity. J. Mater. Chem. A 2019, 7, 8204–8209. [Google Scholar] [CrossRef]
- Zhou, K.; Lu, Y.; Li, J.; Shen, L.; Zhang, G.; Xie, Z.; Wu, C. The Coil-to-Globule-to-Coil Transition of Linear Polymer Chains in Dilute Aqueous Solutions: Effect of Intrachain Hydrogen Bonding. Macromolecules 2008, 41, 8927–8931. [Google Scholar] [CrossRef]
- Wang, X.; Qiu, X.; Wu, C. Comparison of the Coil-to-Globule and the Globule-to-Coil Transitions of a Single Poly(N-isopropylacrylamide) Homopolymer Chain in Water. Macromolecules 1998, 31, 2972–2976. [Google Scholar] [CrossRef]








| C% | N% | H% | S% | |
|---|---|---|---|---|
| PS | 92.36 | - | 7.64 | - |
| PSV | 86.16 | 1 | 8.69 | 4.15 |
| PSV@PSS | 60.50 | 0.52 | 6.318 | 8.215 |
| PSV@PSS-b-PNIPA | 57.32 | 7.19 | 8.223 | 2.886 |
| PSV@PNIPA | 77.08 | 3.43 | 7.760 | 3.417 |
| PSV@PNIPA-b-PSS | 56.12 | 1.63 | 6.086 | 8.075 |
| Diameter (nm) | ΔD (nm) | PDI | |
|---|---|---|---|
| PSV@PSS-b-PNIPA@Ag | 394 | −116 | 0.10 |
| PSV@PNIPA-b-PSS@Ag | 235 | −29 | 0.12 |
Disclaimer/Publisher’s Note: The statements, opinions and data contained in all publications are solely those of the individual author(s) and contributor(s) and not of MDPI and/or the editor(s). MDPI and/or the editor(s) disclaim responsibility for any injury to people or property resulting from any ideas, methods, instructions or products referred to in the content. |
© 2023 by the authors. Licensee MDPI, Basel, Switzerland. This article is an open access article distributed under the terms and conditions of the Creative Commons Attribution (CC BY) license (https://creativecommons.org/licenses/by/4.0/).
Share and Cite
Yu, L.; Li, Z.; Hua, C.; Chen, K.; Guo, X. Temperature Responsive Diblock Polymer Brushes as Nanoreactors for Silver Nanoparticles Catalysis. Polymers 2023, 15, 1932. https://doi.org/10.3390/polym15081932
Yu L, Li Z, Hua C, Chen K, Guo X. Temperature Responsive Diblock Polymer Brushes as Nanoreactors for Silver Nanoparticles Catalysis. Polymers. 2023; 15(8):1932. https://doi.org/10.3390/polym15081932
Chicago/Turabian StyleYu, Liang, Ziwei Li, Chen Hua, Kaimin Chen, and Xuhong Guo. 2023. "Temperature Responsive Diblock Polymer Brushes as Nanoreactors for Silver Nanoparticles Catalysis" Polymers 15, no. 8: 1932. https://doi.org/10.3390/polym15081932
APA StyleYu, L., Li, Z., Hua, C., Chen, K., & Guo, X. (2023). Temperature Responsive Diblock Polymer Brushes as Nanoreactors for Silver Nanoparticles Catalysis. Polymers, 15(8), 1932. https://doi.org/10.3390/polym15081932

