Cd(II)/Mn(II)/Co(II)/Ni(II)/Zn(II) Coordination Polymers Built from Dicarboxylic Acid/Tetracarboxylic Acid Ligands: Their Structural Diversity and Fluorescence Properties
Abstract
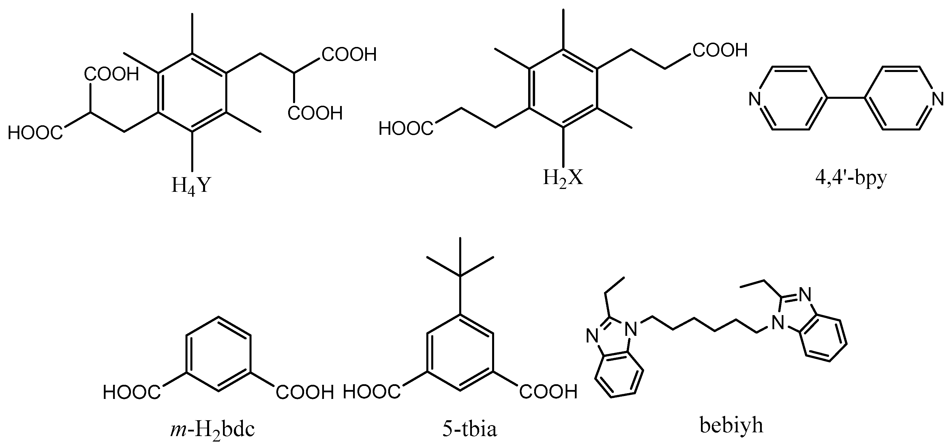
1. Introduction
2. Materials and Methods
2.1. Synthesis
2.2. X-ray Crystallography
3. Results and Discussion
3.1. Crystal Structure Description of Complexes 1–6
3.1.1. Crystal Structures of [Cd2(X2−)2(μ3-O)2/3]n (1) and [Mn2(X2−)2(μ3-O)2/3]n (2)


3.1.2. Crystal Structures of {[Co1.5(Y4−)0.5(4,4′-bpy)1.5(OH−)]·2H2O}n (3)
3.1.3. Crystal Structures of {[Ni(X2−)(4,4′-bpy)(H2O)2]·4H2O}n (4)
3.1.4. Crystal Structure of [Zn(m-bdc2−)(bebiyh)]n (5)
3.1.5. Crystal Structure of [Cd(5-tbia2−)(bebiyh)]n (6)
3.2. Photoluminescence Properties
4. Conclusions
Supplementary Materials
Author Contributions
Funding
Institutional Review Board Statement
Data Availability Statement
Conflicts of Interest
Sample Availability
References
- Annamalai, J.; Murugan, P.; Ganapathy, D.; Nallaswamy, D.; Atchudan, R.; Arya, S.; Khosla, A.; Barathi, S.; Sundramoorthy, A.K. Synthesis of various dimensional metal organic frameworks (MOFs) and their hybrid composites for emerging applications-A review. Chemosphere 2022, 298, 134184. [Google Scholar] [CrossRef]
- Yuan, S.; Feng, L.; Wang, K.C.; Pang, J.D.; Bosch, M.; Lollar, C.; Sun, Y.J.; Qin, J.S.; Yang, X.Y.; Zhang, P. Stable Metal-Organic Frameworks: Design, Synthesis, and Applications. Adv. Mater. 2018, 30, 1704303. [Google Scholar] [CrossRef]
- Ghazvini, M.F.; Vahedi, M.; Nobar, S.N.; Sabouri, F. Investigation of the MOF adsorbents and the gas adsorptive separation mechanisms. J. Environ. Chem. Eng. 2021, 9, 104790. [Google Scholar] [CrossRef]
- Mu, X.Y.; Wang, W.K.; Sun, C.C.; Wang, J.L.; Wang, C.B.; Knez, M. Recent Progress on Conductive Metal-Organic Framework Films. Adv. Mater. Interfaces 2021, 8, 2002151. [Google Scholar] [CrossRef]
- Qin, Y.T.; Li, Z.X.; Duan, Y.L.; Guo, J.; Zhao, M.T.; Tang, Z.Y. Nanostructural engineering of metal-organic frameworks: Construction strategies and catalytic applications. Matter 2022, 5, 3260–3310. [Google Scholar] [CrossRef]
- Zheng, Y.S.; Sun, F.Z.; Han, X.; Xu, J.L.; Bu, X.H. Recent Progress in 2D Metal-Organic Frameworks for Optical Applications. Adv. Opt. Mater. 2020, 8, 2000110. [Google Scholar] [CrossRef]
- Sumida, K.; Rogow, D.L.; Mason, J.A.; McDonald, T.M.; Bloch, E.D.; Herm, Z.R.; Bae, T.H.; Long, J.R. Carbon Dioxide Capture in Metal-Organic Frameworks. Chem. Rev. 2012, 112, 724–781. [Google Scholar] [CrossRef] [PubMed]
- Gándara, F.; Uribe-Romo, F.J.; Britt, D.K.; Furukawa, H.; Lei, L.; Cheng, R.; Duan, X.F.; O’Keeffe, M.; Yaghi, O.M. Porous, Conductive Metal-Triazolates and Their Structural Elucidation by the Charge-Flipping Method. Chem.-Eur. J. 2012, 18, 10595–10601. [Google Scholar] [CrossRef] [PubMed]
- Jain, P.; Ramachandran, V.; Clark, R.J.; Zhou, H.D.; Toby, B.H.; Dalal, N.S.; Kroto, H.W.; Cheetham, A.K. Multiferroic Behavior Associated with an Order-Disorder Hydrogen Bonding Transition in Metal-Organic Frameworks (MOFs) with the Perovskite ABX3 Architecture. J. Am. Chem. Soc. 2009, 131, 13625–13627. [Google Scholar] [CrossRef] [PubMed]
- Kurmoo, M. Magnetic metal-organic frameworks. Chem. Soc. Rev. 2009, 38, 1353–1379. [Google Scholar] [CrossRef]
- Song, F.; Wang, C.; Lin, W. A chiral metal-organic framework for sequential asymmetric catalysis. Chem. Commun. 2011, 47, 8256–8258. [Google Scholar] [CrossRef] [PubMed]
- Cui, Y.J.; Yue, Y.F.; Qian, G.D.; Chen, B.L. Luminescent Functional Metal-Organic Frameworks. Chem. Rev. 2012, 112, 1126–1162. [Google Scholar] [CrossRef] [PubMed]
- Lan, A.; Li, K.; Wu, H.; Olson, D.H.; Emge, T.J.; Ki, W.; Hong, M.C. A Luminescent Microporous Metal-Organic Framework for the Fast and Reversible Detection of High Explosives. Angew. Chem. Int. Edit. 2009, 48, 2334–2338. [Google Scholar] [CrossRef] [PubMed]
- Kreno, L.E.; Leong, K.; Farha, O.K.; Allendorf, M.; Duyne, R.P.V.; Hupp, J.T. Metal-Organic Framework Materials as Chemical Sensors. Chem. Rev. 2012, 112, 1105–1125. [Google Scholar] [CrossRef]
- Xie, Z.; Ma, L.; de Krafft, K.E.; Jin, A.; Lin, W.B. Porous Phosphorescent Coordination Polymers for Oxygen Sensing. J. Am. Chem. Soc. 2010, 132, 922–923. [Google Scholar] [CrossRef]
- You, Z.X.; Xiao, Y.; Guan, Q.L.; Xing, Y.H.; Bai, F.Y.; Xu, F. Cage Bismuth Metal-Organic Framework Materials Based on a Flexible Triazine-Polycarboxylic Acid: Subgram Synthesis, Application for Sensing, and White Light Tuning. Inorg. Chem. 2022, 61, 13893–13914. [Google Scholar] [CrossRef]
- Zhang, N.; Sun, L.X.; Bai, F.Y.; Xing, Y.H. Thorium-Organic Framework Constructed with a Semirigid Triazine Hexacarboxylic Acid Ligand: Unique Structure with Thorium Oxide Wheel Clusters and Iodine Adsorption Behavior. Inorg. Chem. 2020, 59, 3964–3973. [Google Scholar] [CrossRef]
- Peng, Y.W.; Wu, R.J.; Liu, M.; Yao, S.; Geng, A.F.; Zhang, Z.M. Nitrogen Coordination To Dramatically Enhance the Stability of In-MOF for Selectively Capturing CO2 from a CO2/N2 Mixture. Cryst. Growth Des. 2019, 19, 1322–1328. [Google Scholar] [CrossRef]
- Zhan, C.; Zou, C.; Kong, G.Q.; Wu, C.D. Four Honeycomb Metal-Organic Frameworks with a Flexible Tripodal Polyaromatic Acid. Cryst. Growth Des. 2013, 13, 1429–1437. [Google Scholar] [CrossRef]
- Qin, J.S.; Du, D.Y.; Li, M.; Lian, X.Z.; Dong, L.Z.; Bosch, M.; Su, Z.M.; Zhang, Q.; Li, S.L.; Lan, Y.Q.; et al. Derivation and Decoration of Nets with Trigonal-Prismatic Nodes: A Unique Route to Reticular Synthesis of Metal-Organic Frameworks. J. Am. Chem. Soc. 2016, 138, 5299–5307. [Google Scholar] [CrossRef]
- Zhang, X.P.; Zhou, J.M.; Shi, W.; Zhang, Z.J.; Cheng, P. Two cadmium(II) coordination polymers constructed by carboxylate and pyridine mixed ligands: Synthesis, structure and luminescent properties. CrystEngComm 2013, 15, 9738–9744. [Google Scholar] [CrossRef]
- Gu, J.Z.; Cai, Y.; Wen, M.; Shi, Z.F.; Kirillov, A.M. A new series of Cd(II) metal-organic architectures driven by soft ether-bridged tricarboxylate spacers: Synthesis, structural and topological versatility, and photocatalytic properties. Dalton Trans. 2018, 47, 14327–14339. [Google Scholar] [CrossRef] [PubMed]
- Mao, S.S.; Lin, Y.H.; Li, X.Y.; Wang, H. Highly Luminescent Metal-Organic Frameworks Based on Binary Chromophoric Ligands Derived from Tetraphenylethylene. Cryst. Growth Des. 2022, 22, 5791–5795. [Google Scholar] [CrossRef]
- Fan, C.B.; Huang, G.M.; Zhiyong Xing, Z.Y.; Wang, J.L.; Pang, Y.Q.; Huang, Q.P.; Huang, S.F.; Zong, Z.; Guo, F. Three multi-responsive luminescent Zn-CPs for the detection of antibiotics/cations/anions in aqueous media. CrystEngComm 2023, 25, 593–600. [Google Scholar] [CrossRef]
- Liu, L.; Lv, X.F.; Zhang, L.; Guo, L.A.; Wu, J.; Hou, H.W.; Fan, Y.T. Mn(II) coordination polymers assembled from 8 or 9-connected trinuclear secondary building units: Topology analysis and research of magnetic properties. CrystEngComm 2014, 16, 8736–8746. [Google Scholar] [CrossRef]
- Liang, L.L.; Liu, C.S.; Zong, Z.H.; Zhang, M.L.; Zhang, B.Y.; Cao, R.; Wang, Z.H.; Pang, M.M.; Li, Y.J.; Tao, Z.L. Syntheses, Crystal Structures and Antimicrobial Activities of Two Coordination Polymers Based on Bisbenzimidazole Ligands and V-Shaped Dicarboxylates. Chin. J. Inorg. Chem. 2018, 34, 1365–1372. [Google Scholar]
- Li, Y.; Zou, X.Z.; Gu, J.Z.; Cheng, X.L. Syntheses, Crystal Structures and Magnetic Properties of Two Copper(II) and Manganese(II) Coordination Compounds Constructed from Biphenyl Tricarboxylic Acid. Chin. J. Inorg. Chem. 2018, 34, 1159–1165. [Google Scholar]
- Hu, J.S.; Shang, Y.J.; Yao, X.Q.; Qin, L.; Li, Y.Z.; Guo, Z.J.; Zheng, H.G.; Xue, Z.L. Syntheses, Structures, and Photochemical Properties of Six New Metal-Organic Frameworks Based on Aromatic Dicarboxylate Acids and V-Shaped Imidazole Ligands. Cryst. Growth Des. 2010, 10, 4135–4142. [Google Scholar] [CrossRef]
- Wijesekera, T.P.; David, S.; Paine, J.B., III; James, B.R.; Dolphin, D. Durene-capped porphyrins: Synthesis and characterization. Can. J. Chem. 1988, 66, 2063–2071. [Google Scholar] [CrossRef]
- Sheldrick, G.M. A short history of SHELX. Acta Crystallogr. Sect. A Found. Crystallogr. 2008, 64, 112–122. [Google Scholar] [CrossRef]
- Song, X.Z.; Song, S.Y.; Qin, C.; Su, S.Q.; Zhao, S.N.; Zhu, M.; Hao, Z.M.; Zhang, H.J. Syntheses, Structures, and Photoluminescent Properties of Coordination Polymers Based on 1,4-Bis(imidazol-l-yl-methyl)benzene and Various Aromatic Dicarboxylic Acids. Cryst. Growth Des. 2012, 12, 253–263. [Google Scholar] [CrossRef]
- Yang, L.; Powell, D.R.; Houser, R.P. Structural variation in copper(I) complexes with pyridylmethylamide ligands: Structural analysis with a new four-coordinate geometry index, τ4. Dalton Trans. 2007, 9, 955–964. [Google Scholar] [CrossRef] [PubMed]
- Zhang, S.Q.; Jiang, F.L.; Wu, M.Y.; Jie Ma, J.; Yang Bu, Y.; Hong, M.C. Assembly of Discrete One-, Two-, and Three-Dimensional Zn(II) Complexes Containing Semirigid V-Shaped Tricarboxylate Ligands. Cryst. Growth Des. 2012, 12, 1452–1463. [Google Scholar] [CrossRef]
- Zhao, Z.X.; Zhao, G.L.; Lu, B.X.; Zhang, H.H.; Li, G.S.; Wang, L.F.; Cui, C.X. Tuning novel Cd(II) topology networks through choosing three neutral and zwitterionic N/O-donor ligands: Synthesis, structures, and fluorescence. J. Phys. Org. Chem. 2020, 34, e4150. [Google Scholar] [CrossRef]
- Furche, F.; Ahlrichs, R. Adiabatic time-dependent density functional methods for excited state properties. J. Chem. Phys. 2002, 117, 7433–7447. [Google Scholar] [CrossRef]




Disclaimer/Publisher’s Note: The statements, opinions and data contained in all publications are solely those of the individual author(s) and contributor(s) and not of MDPI and/or the editor(s). MDPI and/or the editor(s) disclaim responsibility for any injury to people or property resulting from any ideas, methods, instructions or products referred to in the content. |
© 2023 by the authors. Licensee MDPI, Basel, Switzerland. This article is an open access article distributed under the terms and conditions of the Creative Commons Attribution (CC BY) license (https://creativecommons.org/licenses/by/4.0/).
Share and Cite
Liu, L.; Li, J.-M.; Zhang, M.-D.; Wang, H.-J.; Li, Y.; Zhang, Z.-B.; Zhao, Z.-F.; Xi, Y.; Huang, Y.-Y.; Xu, J.; et al. Cd(II)/Mn(II)/Co(II)/Ni(II)/Zn(II) Coordination Polymers Built from Dicarboxylic Acid/Tetracarboxylic Acid Ligands: Their Structural Diversity and Fluorescence Properties. Polymers 2023, 15, 1803. https://doi.org/10.3390/polym15071803
Liu L, Li J-M, Zhang M-D, Wang H-J, Li Y, Zhang Z-B, Zhao Z-F, Xi Y, Huang Y-Y, Xu J, et al. Cd(II)/Mn(II)/Co(II)/Ni(II)/Zn(II) Coordination Polymers Built from Dicarboxylic Acid/Tetracarboxylic Acid Ligands: Their Structural Diversity and Fluorescence Properties. Polymers. 2023; 15(7):1803. https://doi.org/10.3390/polym15071803
Chicago/Turabian StyleLiu, Lu, Jian-Min Li, Meng-Di Zhang, Hui-Jie Wang, Ying Li, Zhen-Bei Zhang, Zi-Fang Zhao, Yu Xi, Yuan-Yuan Huang, Jie Xu, and et al. 2023. "Cd(II)/Mn(II)/Co(II)/Ni(II)/Zn(II) Coordination Polymers Built from Dicarboxylic Acid/Tetracarboxylic Acid Ligands: Their Structural Diversity and Fluorescence Properties" Polymers 15, no. 7: 1803. https://doi.org/10.3390/polym15071803
APA StyleLiu, L., Li, J.-M., Zhang, M.-D., Wang, H.-J., Li, Y., Zhang, Z.-B., Zhao, Z.-F., Xi, Y., Huang, Y.-Y., Xu, J., Zhang, B., Chen, J., & Cui, C.-X. (2023). Cd(II)/Mn(II)/Co(II)/Ni(II)/Zn(II) Coordination Polymers Built from Dicarboxylic Acid/Tetracarboxylic Acid Ligands: Their Structural Diversity and Fluorescence Properties. Polymers, 15(7), 1803. https://doi.org/10.3390/polym15071803

