Effect of LNR-g-MMA on the Mechanical Properties and Lifetime Estimation of PLA/PP Blends
Abstract
1. Introduction
2. Experimental
2.1. Materials
2.2. Preparation of LNR-g-MMA
2.3. Preparation of Injection Molding
2.4. Characterization
2.4.1. FTIR Spectroscopy
2.4.2. Morphology
2.4.3. Mechanical Properties
2.4.4. Water Absorption
2.4.5. Thermogravimetric Analysis (TGA)
2.5. Kinetic Analysis
3. Results and Discussion
3.1. Morphology
3.2. FTIR Spectroscopy
3.3. Mechanical Properties
3.3.1. Tensile Properties
3.3.2. Izod Impact Test
3.3.3. Water Absorption
3.4. Thermal Analysis
3.4.1. Thermal Stability
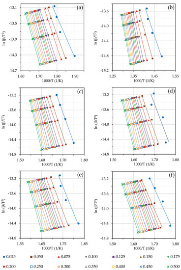
3.4.2. Activation Energy
3.4.3. Lifetime Estimation
4. Conclusions
Author Contributions
Funding
Institutional Review Board Statement
Data Availability Statement
Acknowledgments
Conflicts of Interest
References
- Teixeira, S.; Eblagon, K.M.; Miranda, F.; Pereira, M.F.R.; Figueiredo, J.L. Towards controlled degradation of poly (lactic) acid in technical applications. J. Carbon Res. 2021, 7, 42. [Google Scholar] [CrossRef]
- Bijarimi, M.; Ahmad, S.; Rasid, R. Mechanical, thermal and morphological properties of PLA/PP melt blends. In Proceedings of the International Conference on Agriculture, Chemical and Environmental Sciences (ICACES 2012), Dubai, United Arab Emirates, 6–7 October 2012; pp. 115–117. [Google Scholar]
- Choudhary, P.; Mohanty, S.; Nayak, S.K.; Unnikrishnan, L. Poly (L-lactide)/polypropylene blends: Evaluation of mechanical, thermal, and morphological characteristics. J. Appl. Polym. Sci. 2011, 121, 3223–3237. [Google Scholar] [CrossRef]
- Auras, R.; Harte, B.; Selke, S. An overview of polylactides as packaging materials. Macromol. Biosci. 2004, 4, 835–864. [Google Scholar] [CrossRef] [PubMed]
- Coudane, J.; Van Den Berghe, H.; Mouton, J.; Garric, X.; Nottelet, B. Poly (lactic acid)-based graft copolymers: Syntheses strategies and improvement of properties for biomedical and environmentally friendly applications: A review. Molecules 2022, 27, 4135. [Google Scholar] [CrossRef] [PubMed]
- As’habi, L.; Jafari, S.H.; Khonakdar, H.A.; Kretzschmar, B.; Wagenknecht, U.; Heinrich, G. Effect of clay type and polymer matrix on microstructure and tensile properties of PLA/LLDPE/clay nanocomposites. J. Appl. Polym. Sci. 2013, 130, 749–758. [Google Scholar] [CrossRef]
- Yao, M.; Deng, H.; Mai, F.; Wang, K.; Zhang, Q.; Chen, F.; Fu, Q. Modification of poly (lactic acid)/poly (propylene carbonate) blends through melt compounding with maleic anhydride. Express Polym. Lett. 2011, 5, 937–949. [Google Scholar] [CrossRef]
- Bijarimi, M.; Ahmad, S.; Rasid, R. Mechanical, thermal and morphological properties of poly (lactic acid)/epoxidized natural rubber blends. J. Elastomers Plast. 2014, 46, 338–354. [Google Scholar] [CrossRef]
- Zhang, Q.; Gao, Y.; Luo, B.; Cui, Y.; Shu, S.; Chen, W.; Wang, L. Effect of Styrene-Maleic Anhydride Copolymer on Properties of PBST/PLA Blends. Polymers 2023, 15, 952. [Google Scholar] [CrossRef]
- Sempere-Torregrosa, J.; Ferri, J.M.; de la Rosa-Ramírez, H.; Pavon, C.; Samper, M.D. Effect of Epoxidized and Maleinized Corn Oil on Properties of Polylactic Acid (PLA) and Polyhydroxybutyrate (PHB) Blend. Polymers 2022, 14, 4205. [Google Scholar] [CrossRef]
- Ebadi-Dehaghani, H.; Khonakdar, H.A.; Barikani, M.; Jafari, S.H. Experimental and theoretical analyses of mechanical properties of PP/PLA/clay nanocomposites. Compos. Part B Eng. 2015, 69, 133–144. [Google Scholar] [CrossRef]
- Pivsa-Art, S.; Kord-Sa-Ard, J.; Pivsa-Art, W.; Wongpajan, R.; Narongchai, O.; Pavasupree, S.; Hamada, H. Effect of com-patibilizer on PLA/PP blend for injection molding. Energy Procedia 2016, 89, 353–360. [Google Scholar] [CrossRef]
- Rajan, K.P.; Thomas, S.P.; Gopanna, A.; Al-Ghamdi, A.; Chavali, M. Rheology, mechanical properties and thermal degradation kinetics of polypropylene (PP) and polylactic acid (PLA) blends. Mater. Res. Express 2018, 5, 085304. [Google Scholar] [CrossRef]
- Lee, H.S.; Kim, J.D. Effect of a hybrid compatibilizer on the mechanical properties and interfacial tension of a ternary blend with polypropylene, poly (lactic acid), and a toughening modifier. Polym. Compos. 2012, 33, 1154–1161. [Google Scholar] [CrossRef]
- Ploypetchara, N.; Suppakul, P.; Atong, D.; Pechyen, C. Blend of polypropylene/poly (lactic acid) for medical packaging ap-plication: Physicochemical, thermal, mechanical, and barrier properties. Energy Procedia 2014, 56, 201–210. [Google Scholar] [CrossRef]
- Mandal, D.K.; Bhunia, H.; Bajpai, P.K. Thermal degradation kinetics of PP/PLA nanocomposite blends. J. Thermoplast. Compos. Mater. 2019, 32, 1714–1730. [Google Scholar] [CrossRef]
- Salehi, A.; Jafari, S.H.; Khonakdar, H.A.; Ebadi-Dehaghani, H. Temperature dependency of gas barrier properties of biode-gradable PP/PLA/nanoclay films: Experimental analyses with a molecular dynamics simulation approach. J. Appl. Polym. Sci. 2018, 135, 46665. [Google Scholar] [CrossRef]
- Yoo, T.W.; Yoon, H.G.; Choi, S.J.; Kim, M.S.; Kim, Y.H.; Kim, W.N. Effects of compatibilizers on the mechanical properties and interfacial tension of polypropylene and poly (lactic acid) blends. Macromol. Res. 2010, 18, 583–588. [Google Scholar] [CrossRef]
- Hassouna, F.; Raquez, J.-M.; Addiego, F.; Dubois, P.; Toniazzo, V.; Ruch, D. New approach on the development of plasticized polylactide (PLA): Grafting of poly (ethylene glycol)(PEG) via reactive extrusion. Eur. Polym. J. 2011, 47, 2134–2144. [Google Scholar] [CrossRef]
- Kang, H.; Lu, X.; Xu, Y. Properties of immiscible and ethylene-butyl acrylate-glycidyl methacrylate terpolymer compatibilized poly (lactic acid) and polypropylene blends. Polym. Test. 2015, 43, 173–181. [Google Scholar] [CrossRef]
- Jariyakulsith, P.; Puajindanetr, S. Relationship between compatibilizer and yield strength of PLA/PP Blend. IOP Conf. Ser. Mater. Sci. Eng. 2018, 303, 012004. [Google Scholar] [CrossRef]
- Mandal, D.K.; Bhunia, H.; Bajpai, P.K.; Bhalla, V.K. Thermal degradation kinetics and estimation of lifetime of radiation grafted polypropylene films. Radiat. Phys. Chem. 2017, 136, 1–8. [Google Scholar] [CrossRef]
- Li, Z.; Song, S.; Zhao, X.; Lv, X.; Sun, S. Grafting modification of the reactive core-shell particles to enhance the toughening ability of polylactide. Materials 2017, 10, 957. [Google Scholar] [CrossRef] [PubMed]
- Enyiegbulam, M.; Aloka, I. Graft characteristics and solution properties of natural rubber-g-methyl methacrylate copolymer in MEK/toluene. J. Appl. Polym. Sci. 1992, 44, 1841–1845. [Google Scholar] [CrossRef]
- Zheng, X.; He, L.; Yu, G.; Li, Y. Effect of Tea Polyphenols on the Melt Grafting of Glycidyl Methacrylate onto Polypropylene. Polymers 2022, 14, 5253. [Google Scholar] [CrossRef]
- Perera, M.S. Structure and dynamics of MG rubber studied by dynamic mechanical analysis and solid-state NMR. J. Polym. Sci. B Polym. Phys. 1999, 37, 1141–1153. [Google Scholar] [CrossRef]
- Lee, J.S.; Chang, F.C. Effect of the core-shell impact modifier shell thickness on toughening PVC. Polym. Eng. Sci. 2004, 44, 1885–1889. [Google Scholar] [CrossRef]
- Paik, P.; Kar, K.K. Kinetics of thermal degradation and estimation of lifetime for polypropylene particles: Effects of particle size. Polym. Degrad. Stab. 2008, 93, 24–35. [Google Scholar] [CrossRef]
- Limsukon, W.; Auras, R.; Selke, S. Hydrolytic degradation and lifetime prediction of poly (lactic acid) modified with a multifunctional epoxy-based chain extender. Polym. Test. 2019, 80, 106108. [Google Scholar] [CrossRef]
- Chen, Y.; Wang, Q. Thermal oxidative degradation kinetics of flame-retarded polypropylene with intumescent flame-retardant master batches in situ prepared in twin-screw extruder. Polym. Degrad. Stab. 2007, 92, 280–291. [Google Scholar] [CrossRef]
- Wisetkhamsai, K.; Patthaveekongka, W.; Arayapranee, W. Study on Degradation of Natural Rubber Latex Using Hydrogen Peroxide and Sodium Nitrite in the Presence of Formic Acid. Polymers 2023, 15, 1031. [Google Scholar] [CrossRef]
- Mohapatra, S.; Nando, G.B. Cardanol: A green substitute for aromatic oil as a plasticizer in natural rubber. RSC Adv. 2014, 4, 15406–15418. [Google Scholar] [CrossRef]
- Di Somma, I.; Andreozzi, R.; Canterino, M.; Caprio, V.; Sanchirico, R. Thermal decomposition of cumene hydroperoxide: Chemical and kinetic characterization. AIChE J. 2008, 54, 1579–1584. [Google Scholar] [CrossRef]
- Toop, D.J. Theory of life testing and use of thermogravimetric analysis to predict the thermal life of wire enamels. IEEE Trans. Elect. Insul. 1971, EI-6, 2–14. [Google Scholar] [CrossRef]
- Panigrahi, H.; Sreenath, P.R.; Kotnees, D.K. Unique compatibilized thermoplastic elastomer with high strength and remarkable ductility: Effect of multiple point interactions within a rubber-plastic blend. ACS Omega 2020, 5, 12789–12808. [Google Scholar] [CrossRef] [PubMed]
- Bijarimi, M.; Ahmad, S.; Alam, A.M. Toughening effect of liquid natural rubber on the morphology and thermo-mechanical properties of the poly (lactic acid) ternary blend. Polym. Bull. 2017, 74, 3301–3317. [Google Scholar] [CrossRef]
- Mustafa, S.N. Effect of kaolin on the mechanical properties of polypropylene/polyethylene composite material. Diyala J. Eng. Sci. 2012, 5, 162–178. [Google Scholar] [CrossRef]
- Dan-Mallam, Y.; Abdullah, M.Z.; Yosuff, P.S.M. Impact strength, microstructure, and water absorption properties of kenaf/polyethylene terephthalate (PET) fiber-reinforced polyoxymethylene (POM) hybrid composites. J. Mater. Res. 2013, 28, 2142–2146. [Google Scholar] [CrossRef]
- ASTM E1877-00; Standard Practice for Calculating Thermal Endurance of Materials from Thermogravimetric Decomposition Data. ASTM International: West Conshohocken, PA, USA, 2005.
- Hayoune, F.; Chelouche, S.; Trache, D.; Zitouni, S.; Grohens, Y. Thermal decomposition kinetics and lifetime prediction of a PP/PLA blend supplemented with iron stearate during artificial aging. Thermochim. Acta 2020, 690, 178700. [Google Scholar] [CrossRef]













| Polymer Sample | PLA/PP/LNR-g-MMA | Ti (°C) | Tm1 (°C) | Tm2 (°C) | Tf (°C) |
|---|---|---|---|---|---|
| β = 10 °C/min | |||||
| PLA | 100:0:0 | 295 | 314 | - | 335 |
| PP | 0:100:0 | 445 | 482 | - | 495 |
| PLA/PP/0.0 phr | 70:30:0.0 phr | 340 | 357 | 498 | 490 |
| PLA/PP/2.5 phr | 70:30:2.5 phr | 336 | 351 | 492 | 479 |
| PLA/PP/5.0 phr | 70:30:5.0 phr | 325 | 345 | 462 | 476 |
| PLA/PP/10.0 phr | 70:30:10.0 phr | 305 | 320 | 445 | 575 |
| β = 20 °C/min | |||||
| PLA | 100:0:0 | 315 | 329 | - | 350 |
| PP | 0:100:0 | 380 | 497 | - | 520 |
| PLA/PP/0.0 phr | 70:30:0.0 phr | 350 | 370 | 506 | 518 |
| PLA/PP/2.5 phr | 70:30:2.5 phr | 345 | 367 | 503 | 515 |
| PLA/PP/5.0 phr | 70:30:5.0 phr | 335 | 356 | 489 | 510 |
| PLA/PP/10.0 phr | 70:30:10.0 phr | 320 | 346 | 475 | 495 |
| β = 30 °C/min | |||||
| PLA | 100:0:0 | 340 | 364 | - | 380 |
| PP | 0:100:0 | 490 | 508 | - | 530 |
| PLA/PP/0.0 phr | 70:30:0.0 phr | 370 | 380 | 514 | 528 |
| PLA/PP/2.5 phr | 70:30:2.5 phr | 365 | 378 | 512 | 526 |
| PLA/PP/5.0 phr | 70:30:5.0 phr | 350 | 375 | 504 | 524 |
| PLA/PP/10.0 phr | 70:30:10.0 phr | 335 | 350 | 502 | 520 |
| β = 40 °C/min | |||||
| PLA | 100:0:0 | 360 | 376 | - | 390 |
| PP | 0:100:0 | 530 | 562 | - | 570 |
| PLA/PP/0.0 phr | 70:30:0.0 phr | 385 | 405 | 523 | 536 |
| PLA/PP/2.5 phr | 70:30:2.5 phr | 380 | 394 | 522 | 535 |
| PLA/PP/5.0 phr | 70:30:5.0 phr | 360 | 375 | 520 | 530 |
| PLA/PP/10.0 phr | 70:30:10.0 phr | 350 | 374 | 513 | 529 |
Disclaimer/Publisher’s Note: The statements, opinions and data contained in all publications are solely those of the individual author(s) and contributor(s) and not of MDPI and/or the editor(s). MDPI and/or the editor(s) disclaim responsibility for any injury to people or property resulting from any ideas, methods, instructions or products referred to in the content. |
© 2023 by the authors. Licensee MDPI, Basel, Switzerland. This article is an open access article distributed under the terms and conditions of the Creative Commons Attribution (CC BY) license (https://creativecommons.org/licenses/by/4.0/).
Share and Cite
Wisetkhamsai, K.; Patthaveekongka, W.; Arayapranee, W. Effect of LNR-g-MMA on the Mechanical Properties and Lifetime Estimation of PLA/PP Blends. Polymers 2023, 15, 1712. https://doi.org/10.3390/polym15071712
Wisetkhamsai K, Patthaveekongka W, Arayapranee W. Effect of LNR-g-MMA on the Mechanical Properties and Lifetime Estimation of PLA/PP Blends. Polymers. 2023; 15(7):1712. https://doi.org/10.3390/polym15071712
Chicago/Turabian StyleWisetkhamsai, Kraiwut, Weerawat Patthaveekongka, and Wanvimon Arayapranee. 2023. "Effect of LNR-g-MMA on the Mechanical Properties and Lifetime Estimation of PLA/PP Blends" Polymers 15, no. 7: 1712. https://doi.org/10.3390/polym15071712
APA StyleWisetkhamsai, K., Patthaveekongka, W., & Arayapranee, W. (2023). Effect of LNR-g-MMA on the Mechanical Properties and Lifetime Estimation of PLA/PP Blends. Polymers, 15(7), 1712. https://doi.org/10.3390/polym15071712

