Preliminary Results on Preparation and Performance of a Self-Emulsifying Waterborne Epoxy Curing Agent at Room Temperature
Abstract
:1. Introduction
2. Experimental Section
2.1. Main Materials and Instruments
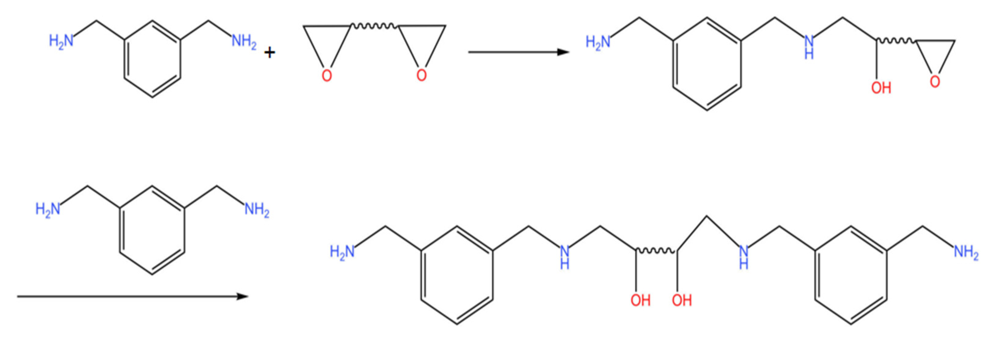
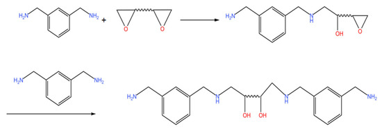
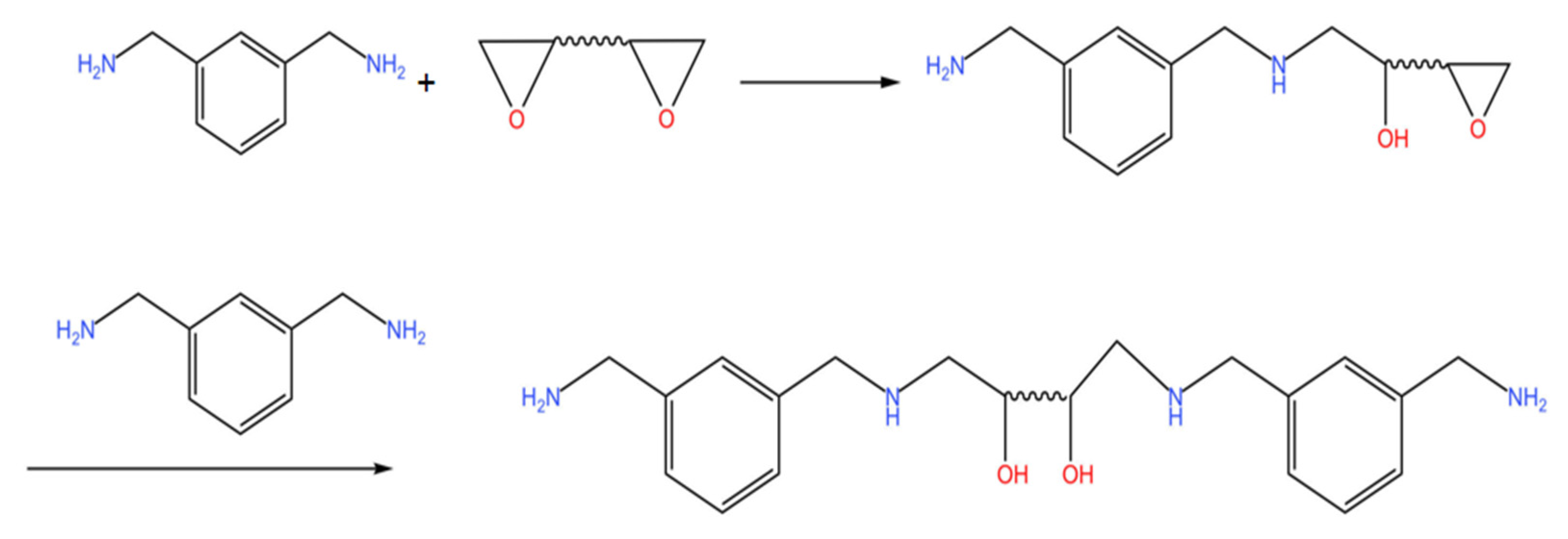
2.2. Experimental Principle
2.3. Preparation of EP1K
2.4. Preparation of Self-Emulsifying Waterborne Epoxy Resin Curing Agent
2.5. Preparation of Coatings
2.6. Characterization
3. Results and Discussion
3.1. Infrared Spectroscopic Analysis
3.2. Selection of Polyethylene Glycol Molecular Weight
3.3. Effect of Molar Ratio of PEG1000 and E20 on Curing Agent Performance
3.4. Selection and Dosage of Catalyst
3.5. Effect of E20 and MXDA Molar Ratio on Curing Agent Performance
3.6. Effect of Different Co-Solvents on the Properties of the Curing Agent
3.7. Basic Parameters of the Self-Made Curing Agent
3.8. Comparison between Self-Made Curing Agent and Commercially Available Curing Agent
3.9. Corrosion Resistance Test
4. Conclusions
Author Contributions
Funding
Institutional Review Board Statement
Informed Consent Statement
Data Availability Statement
Conflicts of Interest
References
- Zhuo, H.; Zhang, H.; Liu, M.; Zhu, B.; Liu, H. Development of high performance waterborne epoxy tester anti-corrosive coatings. Coat. Prot. 2022, 43, 21–25+36. [Google Scholar]
- Yan, D.; Zhong, P.; Yuan, J.; Duan, J.; Deng, J. Research progresses on surface modification of nanomaterials and anti-corrosion performance of corresponding modified epoxy coatings. Mater. Prot. 2022, 55, 156–165+184. [Google Scholar]
- Huang, X.; Hang, J.; Sun, X.; Jin, L.; Zheng, S. Preparation and properties of L-tryptophan modified graphene oxide composite waterborne epoxy coatings. Polym. Mater. Sci. Eng. 2019, 35, 144–151. [Google Scholar] [CrossRef]
- Sandro, D.; Gianluca, C.; Paolo, M.R.; Puglisi, C.; Saitta, L. Full Recycling and Re-Use of Bio-Based Epoxy Thermosets: Chemical and Thermomechanical Characterization of the Recycled Matrices. Polymers 2022, 14, 4828. [Google Scholar]
- Bijender, K.; Dickens, O.A.; Duc, H.P.; Latif, M.; Dinesh; Kim, H.C.; Alrobei, H.; Kim, J. Recent Research Progress on Lignin-Derived Resins for Natural Fiber Composite Applications. Polymers 2021, 13, 1162. [Google Scholar]
- Zhu, Y.; Yang, X.; Wang, W.; Mu, L.; Yan, C.; Liu, J.; Li, F.; Li, L. Progress of the world’s plastics industry from 2020 to 2021 (Ⅲ): Thermoset resins. Plast. Industry 2022, 50, 32–55. [Google Scholar]
- Hu, Y. Research progress of waterborne epoxy resin anti-corrosion coatings. Guangdong Chem. 2013, 40, 72–74. [Google Scholar]
- Chen, J.; Li, S.; Chong, H.; Huang, J.; Li, J. Study on Preparation and Properties of Waterborne Epoxy lotion. Coat. Ind. 2011, 41, 46–49. [Google Scholar]
- Li, J.; Li, L.; Zhao, Y.; Li, W. Study on Preparation and Properties of Waterborne Epoxy Coatings. New Chem. Mater. 2014, 42, 94–96. [Google Scholar] [CrossRef]
- Liu, C.; Huang, Q.; Fu, C.; Qiao, Y. Research progress of waterborne epoxy curing agents. J. Jiangxi Norm. Univ. Sci. Technol. 2021, 202, 35–39. [Google Scholar]
- Zhang, B.; Wang, H.; Su, K. Preparation, properties and application of water-based epoxy curing agent. Mod. Paint. Finish. 2021, 24, 12–15+38. [Google Scholar]
- Wang, S.; Yang, J.; Wu, Q.; Wu, M.; Zhang, J. Research progress of waterborne epoxy resin curing agent. Coat. Ind. 2018, 48, 55–60. [Google Scholar]
- Yu, Z.; Ma, S.; Liu, Y.; Tang, Y.; Zhang, K.; Zhu, J. Research progress of latent curing agent for epoxy resin. Polym. Bull. 2022, 283, 15–35. [Google Scholar]
- Wang, H.; Qian, J.; Wang, C.; Shen, R.; Yu, S. Preparation of nonionic self-emulsifying water-based epoxy emulsion. New Chem. Mater. 2017, 45, 147–149. [Google Scholar]
- Shi, J.; Cui, C.; Guo, X.; Han, Z.; Sun, Z.; Wang, L.; Ding, C.; Li, S.; Kang, S.; Duan, S. Preparation and Properties of Two-component Waterborne Epoxy Coatings. Mod. Paint. Coat. 2019, 22, 12–15. [Google Scholar]
- Chen, T.; Shi, X.; Gu, G. Two-component waterborne epoxy resin coating. Polym. Bull. 2002, 63–70. [Google Scholar]
- Wang, J.; Li, Y.; Zhang, X. Research progresss of chemical modification of water borne epoxy resin and its applications. Coat. Ind. 2007, 37, 49–52. [Google Scholar]
- Zhao, B.; Wang, L.; Zhang, R.; Ni, A.; Zhu, Y. Room temperature curable water borne two-component epoxy coatings. Coat. Rev. 2006, 9, 1–5+14. [Google Scholar]
- Yu, X.; Guo, Z. Research progress of water borne epoxy paint system. Electroplat. Finish. 2005, 24, 53–57. [Google Scholar]
- Li, S.; Zhang, S.; Luo, X.; Ding, Y.; Luo, W. Effect of acetate group sand light group son the water absorption energy of cured epoxy resin. Chem. J. Chin. Univ. 2000, 21, 813. [Google Scholar]
- Yang, K.; Li, P.; Cheng, B.; Yang, X. Study on modification of peg and property of aqueous epoxy emulsion. New Chem. Mater. 2019, 47, 94–98. [Google Scholar]
- Jiang, S.; Zha, S.; Xia, L. Synthesis and characterization of diphenylsilanediol modified epoxy resin and curing agent. J. Adhes. Sci. Technol. 2015, 29, 641–656. [Google Scholar] [CrossRef]
- Zhu, B.; Chen, W.; Zhuang, Z.; Zhu, K.; Zhang, H.; Xu, F. The research progress of non-ionic water borne epoxy resin. Shanghai Paint 2012, 50, 29–34. [Google Scholar]
- Liu, J.; Ling, Q.; Dong, T.; Cui, J.; Zhang, Y.; Zhang, T. Preparation and performance of nanocellulose enhanced water borne epoxy resin system. Resin 2022, 37, 26–30. [Google Scholar]
- Bijender, K.; Swarup, R.; Dickens, O.A.; Duc, H.P.; Jaehwan, K. Effect of bio-based derived epoxy resin on interfacial adhesion of cellulose film and applicability towards natural jute fiber-reinforced composites. Int. J. Biol. Macromol. 2022, 222, 1304–1313. [Google Scholar]
- Wang, S.; Ma, S.; Xu, C.; Liu, Y.; Dai, J.; Wang, Z.; Liu, X.; Chen, J.; Shen, X.; Wei, J.; et al. Vanillin-derived high-performance flame retardant epoxy resins: Facile synthesis and properties. Macromolecules 2017, 50, 1892–1901. [Google Scholar] [CrossRef]











| Epoxy Resin Name | E44 | E20 |
|---|---|---|
| Average epoxy value | 0.44 | 0.20 |
| Relative molecular mass | 455 | 1000 |
| Appearance | Colorless liquid | Light yellow solid |
| PEG Molecular Weights | 800 | 1000 | 2000 |
|---|---|---|---|
| Product appearance | Yellow liquid | Orange-yellow liquid | Yellow liquid |
| Thermal storage stability | 30 days, slight layered | >30 days, stable | 30 days, slight layered |
| Normal-temperature stability | 3 days, layered | >30 days, stable | 1 days, slight layered |
| Low-temperature stability | 1 day, layered | >30 days, stable | 1 day, layered |
| Centrifugal stability | 10 min, layered | 30 min, stable | 20 min, layered |
| Dilution stability | 24 h, slight layered | 48 h, stable | 24 h, stable |
| Water resistance | 3 days, lightly whited | 7 days, no changed | 3 days, whited and blistered |
| BF3·Et2O Dosage (%) | 0.1 | 0.3 | 0.5 | 1 |
|---|---|---|---|---|
| Product appearance | Yellow liquid | Orange-yellow liquid | Yellow liquid | Colloidal substance |
| Viscosity (mpa·s) | 3966 | 4600 | 12,223 | - |
| Thermal storage stability | 30 days, stable | >30 days, stable | 30 days, stable | - |
| Low-temperature stability | 24 h, light layered | 48 h, stable | 12 h, layered | - |
| Normal-temperature stability | 3 days, layered | 30 days, stable | 2 days, light layered | - |
| Centrifugal stability | 15 min, layered | 30 min, stable | 10 min, layered | - |
| Dilution stability | 24 h, slight layered | 48 h, stable | 24 h, stable | - |
| Performance | n (PEG1000):n (E20):n (MXDA) | ||
|---|---|---|---|
| 1:1:3 | 1:1:4 | 1:1:5 | |
| Emulsion trial period | <2 h | 3 h | 2–3 h |
| Coating surface drying time | 5 h | 4 h | 4 h |
| Coating surface actual drying time | ≤12 h | ≤12 h | 12–15 h |
| Acid resistance (5% HCl) | Not qualified | Qualified | Not qualified |
| Alkali resistance (5% NaOH) | Not qualified | Qualified | Not qualified |
| Flexibility (mm) | 1 | 0 | 0 |
| Impact resistant (50 kg·cm) | Not passed | Passed | Passed |
| Adhesion (Grade) | 2–3 | 0 | 1–2 |
| Pencil hardness | 5 H | 5 H | 5–6 H |
| Co-Solvent | Benzyl Alcohol | Glycerol | Ethylene Glycol Butyl Ether | Mesityl Oxide |
|---|---|---|---|---|
| Coating appearance | Orange peel | Shrink edges | Shrink edges | Smooth |
| Porosity% | 4.33 | 4.69 | 3.24 | 2.07 |
| Appearance | Solid Content/% | Active Hydrogen Equivalent/g·mol−1 | Viscosity/mpa·s | Storage Stability at Room Temperature |
|---|---|---|---|---|
| Yellow transparent liquid | 50 ± 5 | 159 | 4600 | >180 days |
| Coating Type | CA1 + E44 | CA2 + E44 | CA3 + E44 |
|---|---|---|---|
| Coating appearance | Smooth and even highlights | Smooth and even highlights | Rough and turbid surface |
| Pencil hardness | 5 H | 4–5 H | 6 H |
| Flexibility (mm) | 0 | 0 | 1 |
| Impact strength(50 kg·cm) | Passed | Passed | Not passed |
| Porosity% | 2.07 | 3.23 | 4.41 |
| Adhesion (Grade) | 0 | 1 | 1 |
| Acid resistance (5% HCl) | Qualified | Qualified | Not qualified |
| Alkali resistance (5% NaOH) | Qualified | Qualified | Qualified |
| Water resistance/168h | Qualified | Qualified | Not qualified |
Disclaimer/Publisher’s Note: The statements, opinions and data contained in all publications are solely those of the individual author(s) and contributor(s) and not of MDPI and/or the editor(s). MDPI and/or the editor(s) disclaim responsibility for any injury to people or property resulting from any ideas, methods, instructions or products referred to in the content. |
© 2023 by the authors. Licensee MDPI, Basel, Switzerland. This article is an open access article distributed under the terms and conditions of the Creative Commons Attribution (CC BY) license (https://creativecommons.org/licenses/by/4.0/).
Share and Cite
Pi, Z.; Deng, C.; Pan, H.; Pei, K. Preliminary Results on Preparation and Performance of a Self-Emulsifying Waterborne Epoxy Curing Agent at Room Temperature. Polymers 2023, 15, 1673. https://doi.org/10.3390/polym15071673
Pi Z, Deng C, Pan H, Pei K. Preliminary Results on Preparation and Performance of a Self-Emulsifying Waterborne Epoxy Curing Agent at Room Temperature. Polymers. 2023; 15(7):1673. https://doi.org/10.3390/polym15071673
Chicago/Turabian StylePi, Zhenzhen, Changyu Deng, Hongmei Pan, and Kemei Pei. 2023. "Preliminary Results on Preparation and Performance of a Self-Emulsifying Waterborne Epoxy Curing Agent at Room Temperature" Polymers 15, no. 7: 1673. https://doi.org/10.3390/polym15071673
APA StylePi, Z., Deng, C., Pan, H., & Pei, K. (2023). Preliminary Results on Preparation and Performance of a Self-Emulsifying Waterborne Epoxy Curing Agent at Room Temperature. Polymers, 15(7), 1673. https://doi.org/10.3390/polym15071673
