On the Pin-Bearing Strength of Additively Manufactured Polymer Parts
Abstract
:1. Introduction
2. Experimental Procedure
2.1. Specimen Preparation
2.2. Experimental Tests
3. Verification of Experimental Tests
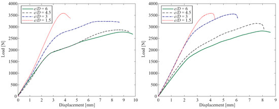
4. Results and Discussion
5. Conclusions
- -
- The bearing failure mode was documented for test coupons with ratios ≥ 3. The highest fracture load was 3646 ± 143 N belongs to a 3D-printed ABS specimen with = 3 and = 1.5.
- -
- The highest ultimate bearing strength was equal to 189 ± 5 obtained from a test on a 3D-printed ABS part with the hole diameter of 3 mm.
- -
- SEM investigations indicate that inter-raster and inter-layer bonding strength only bears a small part of the applied loads. However, the rasters at the top of the hole tolerate a substantial portion of the applied load.
Author Contributions
Funding
Institutional Review Board Statement
Data Availability Statement
Conflicts of Interest
References
- Gibson, I.; Rosen, D.; Stucker, B.; Khorasani, M. Additive Manufacturing Technologies; Springer: Berlin/Heidelberg, Germany, 2021. [Google Scholar]
- Kabir, S.M.F.; Mathur, K.; Seyam, A.F. A critical review on 3D printed continuous fiber-reinforced composites: History, mechanism, materials and properties. Compos. Struct. 2020, 232, 111476. [Google Scholar] [CrossRef]
- Khosravani, M.R.; Haghighi, A. Large-scale automated additive construction: Overview, robotic solutions, sustainability, and suture prospect. Sustainability 2022, 14, 6782. [Google Scholar] [CrossRef]
- Mohanavel, V.; Ali, K.A.; Ranganathan, K.; Jeffrey, J.; Ravikumar, M.M. The roles and applications of additive manufacturing in the aerospace and automobile sector. Mater. Today Proc. 2021, 47, 405–409. [Google Scholar] [CrossRef]
- Murr, L.E. Metallurgy principles applied to powder bed fusion 3D printing/additive manufacturing of personalized and optimized metal and alloy biomedical implants: An overview. J. Mater. Res. Technol. 2020, 9, 1087–1103. [Google Scholar] [CrossRef]
- Parandoush, P.; Lin, D. A review on additive manufacturing of polymer fiber composites. Compos. Struct. 2017, 182, 36–53. [Google Scholar] [CrossRef]
- Branco, R.; Costa, J.D.; Ferreira, J.A.M.; Capela, C.; Antunes, F.V.; Macek, W. Multiaxial fatigue behaviour of maraging steel produced by selective laser melting. Mater. Des. 2021, 201, 109469. [Google Scholar] [CrossRef]
- Khosravani, M.R.; Reinicke, T. 3D-printed sensors: Current progress and future challenges. Sens. Actuators A 2020, 305, 111916. [Google Scholar] [CrossRef]
- Mantihal, S.; Kobun, R.; Lee, B.B. 3D food printing of as the new way of preparing food: A review. Int. J. Gastron. Food Sci. 2020, 22, 100260. [Google Scholar] [CrossRef]
- ASTM F2792; Standard Terminology for Additive Manufacturing Technologies, Standard. American Society for Testing Materials: West Conshohocken, PA, USA, 2012.
- Herpel, C.; Tasaka, A.; Higuchi, S.; Finke, D.; Kühle, R.; Odaka, K.; Rues, S.; Lux, C.J.; Yamashita, S.; Rammerlsberg, P.; et al. Accuracy of 3D printing compared with milling—A multi-center analysis of try-in dentures. J. Dent. 2021, 110, 103681. [Google Scholar] [CrossRef]
- Ezeh, O.H.; Susmel, L. Fatigue strength of additively manufactured polylactide (PLA): Effect ofraster angle and non-zero mean stresses. Int. J. Fatigue 2019, 126, 319–326. [Google Scholar] [CrossRef]
- Qin, Y.; Ge, G.; Yun, J.; Tian, X.; Liu, X.; Han, J.; Gao, S. Enhanced impregnation behavior and interfacial bonding in CF/PEEK prepreg filaments for 3D printing application. J. Mater. Res. Technol. 2022, 20, 4608–4623. [Google Scholar] [CrossRef]
- Davoudinejad, A.; Khosravani, M.R.; Pedersen, D.; Tosello, G. Influence of thermal ageing on the fracture and lifetime of additively manufactured mold inserts. Eng. Fail. Anal. 2020, 115, 104694. [Google Scholar] [CrossRef]
- Dialami, N.; Chiumenti, M.; Cervera, M.; Chasco, U.; Reyes-Pozo, G.; Perez, M.A. A review on additive manufacturing of polymer-fiber composites. Compos. Struct 2022, 298, 115998. [Google Scholar] [CrossRef]
- Khosravani, M.R.; Soltani, P.; Reinicke, T. Fracture and structural performance of adhesively bonded 3D-printed PETG single lap joints under different printing parameters. Theor. Appl. Fract. Mech. 2022, 116, 103087. [Google Scholar] [CrossRef]
- Atakok, G.; Kam, M.; Koc, B.H. Tensile, three-point bending and impact strength of 3D printed parts using PLA and recycled PLA filaments: A statistical investigation. J. Mater. Res. Technol. 2022, 18, 1542–1554. [Google Scholar] [CrossRef]
- Peng, C.; Tran, P.; Mouritz, A.P. A review on additive manufacturing of polymer-fiber composites. Compos. Struct. 2022, 300, 116167. [Google Scholar] [CrossRef]
- Nurizada, A.; Kirane, K. Induced anisotropy in the fracturing behavior of 3D printed parts analyzed by the size effect method. Eng. Fract. Mech. 2020, 239, 107304. [Google Scholar] [CrossRef]
- Khosravani, M.R.; Soltani, P.; Weinberg, K.; Reinicke, T. Structural integrity of adhesively bonded 3D-printed joints. Polym. Test. 2021, 100, 107262. [Google Scholar] [CrossRef]
- Stoia, D.I.; Marsavina, L.; Linul, E. Mode I critical energy release rate of additively manufactured polyamide samples. Theor. Appl. Fract. Mech. 2021, 114, 102968. [Google Scholar] [CrossRef]
- Luke, S.S.; Soares, D.; Marshall, J.V.; Shedden, J.; Keles, Ö. Effect of fiber content and fiber orientation on mechanical behavior of fused filament fabricated continuous-glass-fiber-reinforced nylon. Rapid Prototyp. J. 2021, 27, 1346–1354. [Google Scholar] [CrossRef]
- Maqsood, N.; Rimasauskas, M. Tensile and flexural response of 3D printed solid and porous CCFRPC structures and fracture interface study using image processing technique. J. Mater. Res. Technol. 2021, 14, 731–742. [Google Scholar] [CrossRef]
- Nash, R.J.; Li, Y. Experimental and numerical analysis of 3D printed suture joints under shearing load. Eng. Fract. Mech. 2021, 253, 107912. [Google Scholar] [CrossRef]
- Nabavi-Kivi, A.; Ayatollahi, M.R.; Rezaeian, P.; Razavi, S.M.J. Investigating the effect of printing speed and mode mixity on the fracture behavior of FDM-ABS specimens. Theor. Appl. Fract. Mech 2022, 117, 103223. [Google Scholar] [CrossRef]
- Khosravani, M.R.; Rezaei, S.; Ruan, H.; Reinicke, T. Fracture behavior of anisotropic 3D-printed parts: Experiments and numerical simulations. J. Mater. Res. Technol. 2022, 19, 1260–1270. [Google Scholar] [CrossRef]
- ASTM D638; Standard Test Method for Tensile Properties of Plastics, Standard. American Society for Testing Materials: West Conshohocken, PA, USA, 2014.
- ASTM D5961; Standard Test Method for Bearing Response of Polymer Matrix Composite Laminates, Standard. American Society for Testing Materials: West Conshohocken, PA, USA, 2013.
- Schreier, H.; Orteu, J.; Sutton, M.A. Image Correlation for Shape, Motion and Deformation Measurements; Springer: Berlin/Heidelberg, Germany, 2009. [Google Scholar]
- Bahrami, B.; Ayatollahi, M.R.; Torabi, A.R. Application of digital image correlation method for determination of mixed mode stress intensity factors in sharp notches. Opt. Lasers Eng. 2020, 124, 105830. [Google Scholar] [CrossRef]
- Kale, A.B.; Singh, J.; Kim, B.K.; Kim, D.; Choi, S.H. Effect of initial microstructure on the deformation heterogeneities of 316L stainless steels fabricated by selective laser melting processing. J. Mater. Res. Technol. 2020, 9, 8867–8883. [Google Scholar] [CrossRef]
- Khosravani, M.R.; Forhn-Sörensen, P.; Reuter, J.; Engel, B.; Reinicke, T. Fracture studies of 3D-printed continuous glass fiber reinforced composites. Theor. Appl. Fract. Mech. 2022, 119, 103317. [Google Scholar] [CrossRef]
- Ansari, F.; Lyons, C.; Siskey, R. Mechanical characterization and fractography of PC, ABS and PMMA-A comparison of tensile, impact and ESC fracture surfaces. In Proceedings of the Plastics Technology Conference (ANTEC), Anaheim, CA, USA, 8–10 May 2017; pp. 1220–1227. [Google Scholar]











| Parameters | PLA | ABS |
|---|---|---|
| Nozzle temperature (°C) | 220 | 235 |
| Bed temperature (°C) | 60 | 100 |
| Nozzle speed (mm/s) | 60 | 60 |
| Infill percentage (%) | 100 | 100 |
| Density (gr/cm3) | 1.29 | 1.13 |
| Layer width (mm) | 0.42 | 0.42 |
| Layer height (mm) | 0.25 | 0.25 |
| Number of contours | 2 | 2 |
| Raster angle (°) |
| Material | Failure Load (N) | Stiffness (N/mm) | Typical Failure Mode | ||
|---|---|---|---|---|---|
| PLA | 3 | 1.5 | 3595 ± 123 | 989 | Net-tension |
| 6 | 3 | 3218 ± 20 | 832 | Bearing | |
| 9 | 4.5 | 2850 ± 49 | 785 | Bearing | |
| 12 | 6 | 2761 ± 90 | 768 | Bearing | |
| ABS | 3 | 1.5 | 3646 ± 143 | 1093 | Cleavage |
| 6 | 3 | 3521 ± 52 | 1083 | Cleavage | |
| 9 | 4.5 | 3081 ± 73 | 843 | Bearing | |
| 12 | 6 | 2833 ± 72 | 769 | Bearing |
| Material | (MPa) | ||
|---|---|---|---|
| PLA | 3 | 1.5 | 60 ± 2 |
| 6 | 3 | 107 ± 1 | |
| 9 | 4.5 | 143 ± 2 | |
| 12 | 6 | 184 ± 6 | |
| ABS | 3 | 1.5 | 61 ± 2 |
| 6 | 3 | 117 ± 2 | |
| 9 | 4.5 | 154 ± 4 | |
| 12 | 6 | 189 ± 5 |
Disclaimer/Publisher’s Note: The statements, opinions and data contained in all publications are solely those of the individual author(s) and contributor(s) and not of MDPI and/or the editor(s). MDPI and/or the editor(s) disclaim responsibility for any injury to people or property resulting from any ideas, methods, instructions or products referred to in the content. |
© 2023 by the authors. Licensee MDPI, Basel, Switzerland. This article is an open access article distributed under the terms and conditions of the Creative Commons Attribution (CC BY) license (https://creativecommons.org/licenses/by/4.0/).
Share and Cite
Khosravani, M.R.; Sadeghian, H.; Ayatollahi, M.R.; Reinicke, T. On the Pin-Bearing Strength of Additively Manufactured Polymer Parts. Polymers 2023, 15, 1660. https://doi.org/10.3390/polym15071660
Khosravani MR, Sadeghian H, Ayatollahi MR, Reinicke T. On the Pin-Bearing Strength of Additively Manufactured Polymer Parts. Polymers. 2023; 15(7):1660. https://doi.org/10.3390/polym15071660
Chicago/Turabian StyleKhosravani, Mohammad Reza, Hadi Sadeghian, Majid R. Ayatollahi, and Tamara Reinicke. 2023. "On the Pin-Bearing Strength of Additively Manufactured Polymer Parts" Polymers 15, no. 7: 1660. https://doi.org/10.3390/polym15071660
APA StyleKhosravani, M. R., Sadeghian, H., Ayatollahi, M. R., & Reinicke, T. (2023). On the Pin-Bearing Strength of Additively Manufactured Polymer Parts. Polymers, 15(7), 1660. https://doi.org/10.3390/polym15071660

