Preparation of Anionic Surfactant-Based One-Dimensional Nanostructured Polyaniline Fibers for Hydrogen Storage Applications
Abstract
1. Introduction
2. Materials and Methods
2.1. Synthesis of Polyaniline
2.2. Synthesis of Polyanilinefibers at Ice Temperature
2.3. Characterization Techniques
3. Results and Discussion
3.1. FTIR Spectra
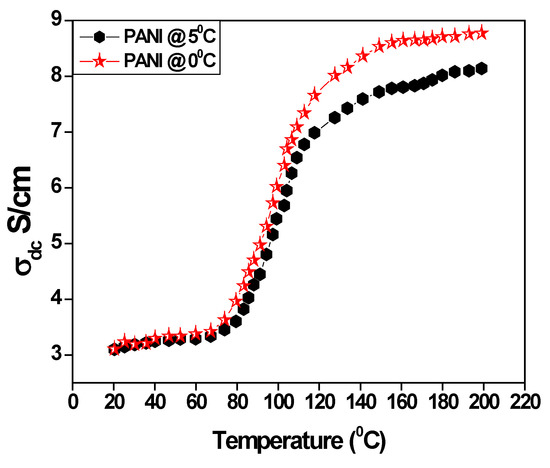
3.2. Dielectric Study
3.3. Hydrogen Sorption Measurements of PANI Fibers
4. Conclusions
Author Contributions
Funding
Institutional Review Board Statement
Informed Consent Statement
Data Availability Statement
Conflicts of Interest
References
- Attia, N.F.; Lee, S.M.; Kim, H.J.; Geckeler, K.E. Nanoporous polypyrrole: Preparation and hydrogen storage properties. Int. J. Energy Res. 2014, 38, 466–476. [Google Scholar] [CrossRef]
- Andreas, Z. Materials for hydrogen storage. Mater. Today 2003, 6, 24–33. [Google Scholar]
- Attia, N.F.; Menemparabath, M.M.; Arepalli, S.; Geckeler, K.E. Inorganic nanotube composites based on polyaniline: Potential room-temperature hydrogen storage materials. Int. J. Hydrogen Energy 2013, 38, 9251–9262. [Google Scholar] [CrossRef]
- Sk, S.; Vennapoosa, C.S.; Tiwari, A.; Abraham, B.M.; Ahmadipour, M.; Pal, U. Polyaniline encapsulated Ti-MOF/CoS for efficient photocatalytic hydrogen evolution. Int. J. Hydrogen Energy 2022, 47, 33955–33965. [Google Scholar] [CrossRef]
- Attia, N.F.; Geckeler, K.E. Polyaniline as a Material for Hydrogen Storage Applications. Macromol. Rapid Commun. 2013, 34, 1043–1055. [Google Scholar] [CrossRef] [PubMed]
- Germain, J.; Frèchet, J.; Svec, F. Nanoporous, hypercrosslinked polypyrroles: Effect of crosslinking moiety on pore size and selective gas adsorption. Chem. Commun. 2009, 12, 1526–1528. [Google Scholar] [CrossRef]
- Cho, S.J.; Song, K.S.; Kim, J.W.; Kim, T.H.; Choo, K. Hydrogen Sorption in HCl-Treated Polyaniline and Polyoyrrole: New Potential Hydrogen Storage Media. In Proceedings of the Fuel Chemistry Division, 224th National Meeting of the American Chemical Society, Boston, MA, USA, 18–22 August 2002; Volume 47, p. 790. [Google Scholar]
- Hardy, B.; Tamburello, D.; Corgnale, C. Hydrogen storage adsorbent systems acceptability envelope. Int. J. Hydrogen Energy 2018, 43, 19528–19539. [Google Scholar] [CrossRef]
- Sevilla, M.; Fuertes, A.B.; Mokaya, R. Preparation and hydrogen storage capacity of highly porous activated carbon materials derived from polythiophene. Int. J. Hydrogen Energy 2011, 36, 15658–15663. [Google Scholar] [CrossRef]
- Joubert, J.M.; Latroche, M.; Percheron-Guégan, A. Metallic Hydrides II: Materials for Electrochemical Storage. MRS Bull. 2002, 27, 694–698. [Google Scholar] [CrossRef]
- Attia, N.F.; Geckeler, K.E. Polyaniline–Polypyrrole Composites with Enhanced Hydrogen Storage Capacities. Macromol. Rapid Commun. 2013, 34, 931–937. [Google Scholar] [CrossRef]
- Sakintuna, B.; Lamari-Darkrim, F.; Hirscher, M. Metal hydride materials for solid hydrogen storage: A review. Int. J. Hydrogen Energy 2007, 32, 1121–1140. [Google Scholar] [CrossRef]
- Nicolais, L.; Carotenuto, G. Metal-Polymer Nanocomposites. 2005. Available online: http://search.ebscohost.com/login.aspx?direct=true&scope=site&db=nlebk&db=nlabk&AN=124404 (accessed on 17 March 2023).
- Mahato, N.; Jang, H.; Dhyani, A.; Cho, S. Recent Progress in Conducting Polymers for Hydrogen Storage and Fuel Cell Applications. Polymers 2020, 12, 2480. [Google Scholar] [CrossRef] [PubMed]
- Liu, Z.; Hussain, T.; Karton, A.; Er, S. Empowering hydrogen storage properties of haeckelite monolayers via metal atom functionalization. Appl. Surf. Sci. 2021, 556, 149709. [Google Scholar] [CrossRef]
- Germain, J.; Fréchet, J.M.J.; Svec, F. Nanoporous polymers for hydrogen storage. Small 2009, 5, 1098–1111. [Google Scholar] [CrossRef] [PubMed]
- Germain, J.; Hradil, J.; Fréchet, J.M.J.; Svec, F. High Surface Area Nanoporous Polymers for Reversible Hydrogen Storage. Chem. Mater. 2006, 18, 4430–4435. [Google Scholar] [CrossRef]
- Niemann, M.U.; Srinivasan, S.S.; Phani, A.R.; Kumar, A.; Goswami, D.Y.; Stefanakos, E.K. Room temperature reversible hydrogen storage in polyaniline (PANI) nanofibers. J. Nanosci. Nanotechnol. 2009, 9, 4561–4565. [Google Scholar] [CrossRef]
- Cho, S.J.; Choo, K.; Kim, D.P.; Kim, J.W. H2 sorption in HCl-treated polyaniline and polypyrrole. Catal. Today 2007, 120, 336–340. [Google Scholar] [CrossRef]
- Nath, K.; Das, N.C. Conjugated Polymer-Based Fibers: Synthesis, Properties, and Applications. In Conjugated Polymers for Next-Generation Applications; Woodhead Publishing Series in Electronic and Optical Materials; Woodhead Publishing: Sawston, UK, 2022; Volume 1, pp. 1–38. [Google Scholar]
- Nikitin, A.; Li, X.; Zhang, Z.; Ogasawara, H.; Dai, H.; Nilsson, A. Hydrogen storage in carbon nanotubes through the formation of stable C–H bonds. Nano Lett. 2008, 8, 162–167. [Google Scholar] [CrossRef]
- Chen, Y.; Zhu, H.; Liu, Y. Preparation of activated rectangular polyaniline-based carbon tubes and their application in hydrogen adsorption. Int. J. Hydrogen Energy 2011, 36, 11738–11745. [Google Scholar] [CrossRef]
- Ghosh, S.; Maiyalagan, T.; Basu, R.N. Nanostructured conducting polymers for energy applications: Towards a sustainable platform. Nanoscale 2016, 8, 6921–6947. [Google Scholar] [CrossRef]
- Jena, P. Materials for hydrogen storage: Past, present, and future. J. Phys. Chem. Lett. 2011, 2, 206–211. [Google Scholar] [CrossRef]
- Srinivasan, S.S.; Ratnadurai, R.; Niemann, M.U.; Phani, A.R.; Goswami, D.Y.; Stefanakos, E.K. Reversible hydrogen storage in electrospun polyaniline fibers. Int. J. Hydrogen Energy 2010, 35, 225–230. [Google Scholar] [CrossRef]
- Schlapbach, L.; Züttel, A. Hydrogen-storage materials for mobile applications. Nature 2001, 414, 353–358. [Google Scholar] [CrossRef]
- Eberle, U.; Felderhoff, M.; Schüth, F. Chemical and physical solutions for hydrogen storage. Angew. Chem. Int. Ed. 2009, 48, 6608–6630. [Google Scholar] [CrossRef] [PubMed]
- Balikile, R.D.; Roy, A.S.; Nagaraju, S.C.; Ramgopal, G. Conductivity properties of hollow ZnFe2O4 Nanofibers doped Polyaniline Nanocomposites. J. Mater. Sci. Mater. Electron. 2017, 28, 7368–7375. [Google Scholar] [CrossRef]
- Roy, A.S. Antistatic and Dielectric properties of one-dimensional Al2+:Nd2O3 nanowire doped polyaniline nanocomposites for electronic application. Sens. Actuators A Phys. 2018, 280, 1–7. [Google Scholar] [CrossRef]
- Qi, Y.-N.; Chu, H.-L.; Xu, F.; Sun, L.-X.; Zhang, Y.; Zhang, J.; Qiu, S.-J.; Yuan, H. Effect of polyaniline on hydrogen absorption–desorption properties and discharge capacity of AB3 alloy. Int. J. Hydrogen Energy 2007, 32, 3395–3401. [Google Scholar] [CrossRef]
- Rahy, A.; Yang, D.J. Synthesis of highly conductive polyaniline nanofibers. Mater. Lett. 2008, 62, 4311–4314. [Google Scholar] [CrossRef]
- Zhang, D.; Wang, Y. Synthesis and applications of one-dimensional nano-structured polyaniline: An overview. Mater. Sci. Eng. B 2006, 134, 9–19. [Google Scholar] [CrossRef]
- Panella, B.; Kossykh, L.; Dettlaff-Weglikowska, U.; Hirscher, M.; Zerbi, G.; Roth, S. Volumetric measurement of hydrogen storage in HCl-treated polyaniline and polypyrrole. Synth. Met. 2005, 151, 208–210. [Google Scholar] [CrossRef]
- Jurczyk, M.U.; Kumar, A.; Srinivasan, S.S.; Stefanakos, E.K. Polyaniline-based nanocomposite materials for hydrogen storage. Int. J. Hydrogen Energy 2007, 32, 1010–1015. [Google Scholar] [CrossRef]
- Jeon, K.-J.; Theodore, A.; Wu, C.-Y.; Cai, M. Hydrogen absorption/desorption kinetics of magnesium nano-nickel composites synthesized by dry particle coating technique. Int. J. Hydrogen Energy 2007, 32, 1860–1868. [Google Scholar] [CrossRef]
- Virji, S.; Kaner, R.B.; Weiller, B.H. Hydrogen sensors based on conductivity changes in polyaniline nanofibers. J. Phys. Chem. B 2006, 110, 22266–22270. [Google Scholar] [CrossRef] [PubMed]
- Lenin, R.; Singh, A.; Bera, C. Effect of dopants and morphology on the electrical properties of polyaniline for various applications. J. Mater. Sci. Mater. Electron. 2021, 32, 24710–24725. [Google Scholar] [CrossRef]
- Ensafi, A.A.; Jafari-Asl, M.; Nabiyan, A.; Rezaei, B.; Dinari, M. Hydrogen storage in hybrid of layered double hydroxides/reduced graphene oxide using spillover mechanism. Energy 2016, 99, 103–114. [Google Scholar] [CrossRef]
- Kamarudin, S.; Asmal Rani, M.S.; Mohammad, M.; Mohammed, N.H.; Su’ait, M.S.; Ibrahim, M.A.; Asim, N.; Razali, H. Investigation on size and conductivity of polyaniline nanofiber synthesised by surfactant-free polymerization. J. Mater. Res. Technol. 2021, 14, 255–261. [Google Scholar] [CrossRef]
- Bednarczyk, K.; Matysiak, W.; Tański, T.; Janeczek, H.; Schab-Balcerzak, E.; Libera, M. Effect of polyaniline content and protonating dopants on electroconductive composites. Sci. Rep. 2021, 11, 7487. [Google Scholar] [CrossRef]
- Mohammadi, B.; Pirsa, S.; Alizadeh, M. Preparing chitosan–polyaniline nanocomposite film and examining its mechanical, electrical, and antimicrobial properties. Polym. Polym. Compos. 2019, 27, 507–517. [Google Scholar] [CrossRef]
- Liu, W.; Chang, Y.C.; Zhang, J.; Liu, H. Wet-Spun Side-by-Side Electrically Conductive Composite Fibers. ACS Appl. Electron. Mater. 2022, 4, 1979–1988. [Google Scholar] [CrossRef]
- Santim, R.H.; Sanches, A.O.; Silva, M.J.; McMahan, C.M.; Malmonge, J.A. Electrically conductive nanocomposites produced by in situ polymerization of pyrrole in pre-vulcanized natural rubber latex. Polym. Compos. 2022, 43, 2972–2979. [Google Scholar] [CrossRef]
- Moussa, M.A.; Abdel Rehim, M.H.; Ghoneim, A.M.; Khairy, S.A.; Soliman, M.A.; Turky, G.M. Dielectric investigations and charge transport in PS-PAni composites with ionic and nonionic surfactants. J. Phys. Chem. Solids 2019, 133, 163–170. [Google Scholar] [CrossRef]
- Perdigão, P.; Morais Faustino, B.M.; Faria, J.; Canejo, J.P.; Borges, J.P.; Ferreira, I.; Baptista, A.C. Conductive Electrospun Polyaniline/Polyvinylpyrrolidone Nanofibers: Electrical and Morphological Characterization of New Yarns for Electronic Textiles. Fibers 2020, 8, 24. [Google Scholar] [CrossRef]
- Roy, A.S.; Parveen, A.; Deshpande, R.; Bhat, R.; Anilkumar, K.R. Microscopic and Dielectric studies of ZnO nanoparticles loaded in ortho-chloropolyaniline nanocomposites. J. Nanopart. Res. 2013, 15, 1337. [Google Scholar] [CrossRef]
- Varnaitė-Žuravliova, S.; Savest, N.; Abraitienė, A.; Baltušnikaitė-Guzaitienė, J.; Krumme, A. Investigation of influence of conductivity on the polyaniline fiber mats, produced via electrospinning. Mater. Res. Express 2018, 5, 055308. [Google Scholar] [CrossRef]
- Padmapriya, S.; Harinipriya, S.; Jaidev, K.; Sudha, V.; Deepak, K.; Pal, S. Storage and evolution of hydrogen in acidic medium by polyaniline. Int. J. Energy Res. 2018, 42, 1196–1209. [Google Scholar] [CrossRef]
- Singh, R.R.; Subodh, S.; Sharma, P.K.; Vinay, S.; Ram, G.; Nihal, S.; Sharma, S.S.; Vijay, Y.K. Synthesis of Graphene Oxide/Polyaniline Composites for Hydrogen Storage. Adv. Sci. Eng. Med. 2017, 9, 391–397. [Google Scholar]
- Ke, G.; Chowdhury, M.H.; Jin, X.; Li, W. Fabrication and properties of polyaniline/ramie composite fabric based on in situ polymerization. Polym. Polym. Compos. 2021, 29, S914–S925. [Google Scholar] [CrossRef]
- Ka, N.; Kapse, S.; Manoj, M.; Thapa, R.; Rout, C.S. 2D-black phosphorus/polyaniline hybrids for efficient supercapacitor and hydrogen evolution reaction applications. Sustain. Energy Fuels 2022, 6, 4285–4298. [Google Scholar] [CrossRef]
- Li, M.M.; Wang, C.C.; Zhou, Y.T.; Yang, C.C. Clarifying the polyaniline effect on superior electrochemical performances of hydrogen storage alloys. Electrochim. Acta 2021, 365, 137336. [Google Scholar] [CrossRef]
- Neto, G.R.A.; Matheus, F.H.; Beatrice, C.A.G.; Leiva, D.R.; Pessan, L.A. Fundamentals and recent advances in polymer composites with hydride-forming metals for hydrogen storage applications. Int. J. Hydrogen Energy 2022, 47, 34139–34164. [Google Scholar] [CrossRef]
- Shaban, M.; Rabia, M.; El-Sayed, A.M.A.; Ahmed, A.; Sayed, S. Photocatalytic properties of PbS/graphene oxide/polyaniline electrode for hydrogen generation. Sci. Rep. 2017, 7, 14100. [Google Scholar] [CrossRef] [PubMed]











Disclaimer/Publisher’s Note: The statements, opinions and data contained in all publications are solely those of the individual author(s) and contributor(s) and not of MDPI and/or the editor(s). MDPI and/or the editor(s) disclaim responsibility for any injury to people or property resulting from any ideas, methods, instructions or products referred to in the content. |
© 2023 by the authors. Licensee MDPI, Basel, Switzerland. This article is an open access article distributed under the terms and conditions of the Creative Commons Attribution (CC BY) license (https://creativecommons.org/licenses/by/4.0/).
Share and Cite
Al-Aoh, H.A.; Badi, N.; Roy, A.S.; Alsharari, A.M.; Abd El Wanees, S.; Albaqami, A.; Ignatiev, A. Preparation of Anionic Surfactant-Based One-Dimensional Nanostructured Polyaniline Fibers for Hydrogen Storage Applications. Polymers 2023, 15, 1658. https://doi.org/10.3390/polym15071658
Al-Aoh HA, Badi N, Roy AS, Alsharari AM, Abd El Wanees S, Albaqami A, Ignatiev A. Preparation of Anionic Surfactant-Based One-Dimensional Nanostructured Polyaniline Fibers for Hydrogen Storage Applications. Polymers. 2023; 15(7):1658. https://doi.org/10.3390/polym15071658
Chicago/Turabian StyleAl-Aoh, Hatem A., Nacer Badi, Aashis S. Roy, Abdulrhman M. Alsharari, Salah Abd El Wanees, Abdulrahman Albaqami, and Alex Ignatiev. 2023. "Preparation of Anionic Surfactant-Based One-Dimensional Nanostructured Polyaniline Fibers for Hydrogen Storage Applications" Polymers 15, no. 7: 1658. https://doi.org/10.3390/polym15071658
APA StyleAl-Aoh, H. A., Badi, N., Roy, A. S., Alsharari, A. M., Abd El Wanees, S., Albaqami, A., & Ignatiev, A. (2023). Preparation of Anionic Surfactant-Based One-Dimensional Nanostructured Polyaniline Fibers for Hydrogen Storage Applications. Polymers, 15(7), 1658. https://doi.org/10.3390/polym15071658

