Effect of Polymer Matrix on Inelastic Strain Development in PI- and PEI-Based Composites Reinforced with Short Carbon Fibers under Low-Cyclic Fatigue
Abstract
1. Introduction
- The recording of acoustic emission signals, for example, to detect the initiation of cracks [42] or evaluate their subsequent propagation;
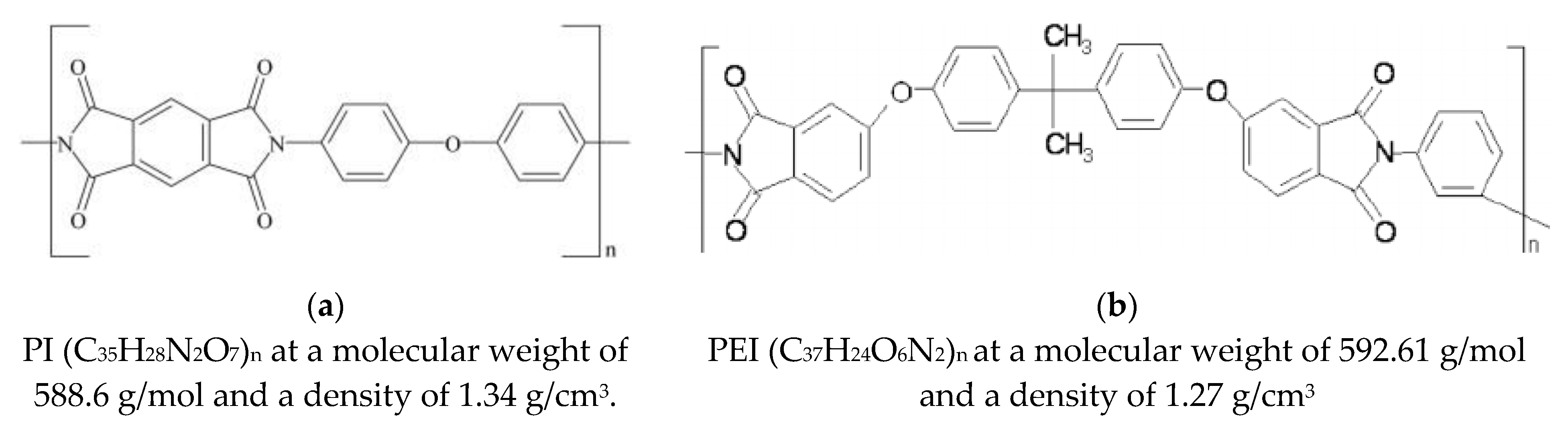
2. Materials and Methods
3. Results
3.1. Scanning Electron Microscopy
- A “cellular” pattern of the supermolecular structure formed in the neat PI (Figure 2a), whose element sizes were comparable to the particle diameter of the initial PI powder. In the neat PEI, such a “cellular” supermolecular structure was not observed (Figure 2b), although the mechanical properties of both polymers were similar in general (according to the static tensile test data described below).
- After loading both the PI and PEI with SCFs, the polymer matrix morphology remained similar to that of neat polymers. Simultaneously, the polymer wetting of graphitized 200 (AR = 20) and 2000 µm (AR = 200) SCFs was poor (Figure 2e–h).
3.2. FTIR, Raman, and XRD Spectra
3.3. Static Tensile Tests
- For the neat polymers, the main characteristics of the PI and PEI were comparable in general. In the PEI case, the elastic modulus of 3.4 GPa was higher by ~180 MPa/5.5%; the strain at a failure value was 1.2 times lower (εf = 6.6%); and the offset yield stress was higher by 2.5 MPa/4.8% (OYS0.2 = 54.9 MPa).
- Loading with CF100 at AR = 10 (according to Table 2) was accompanied by an increase in both the elastic modulus for both polymers (by 910 and 710 MPa for the PI- and PEI-based composites, respectively) and their offset yield stress. This practically equalized the composites in terms of these parameters. The ultimate tensile strength increased slightly for the PI-based composite but decreased for the PEI-based one. At the same time, the strain at failure values decreased.
- Loading with CF200 at AR = 20 resulted in enhancing both the elastic modulus and the offset yield stress compared to the neat polymers. For the PI-based composite, a twofold increase in the elastic modulus was observed, while its increase was only 1.6 times for the PEI-based one (up to 6.9 and 5.5 GPa, respectively). The offset yield stress increased by factors of 1.7 and 1.4 for the PI- and PEI-based composites, respectively. As expected, the strain at failure values decreased (down to 2.3% and 3.2%, respectively).
- The maximum increase in the elastic modulus was for the PI-based composite loaded with CF2000 at AR = 200, which was greater by 1200 MPa than it was in the CF200 case. For the PEI/CF2000 specimen, the elastic modulus differed by 1360 MPa after loading with SCFs 200 and 2000 µm long. The PI/CF2000 composite (121 MPa) had a higher offset yield stress and, accordingly, a lower strain at a failure value of 1.9%.
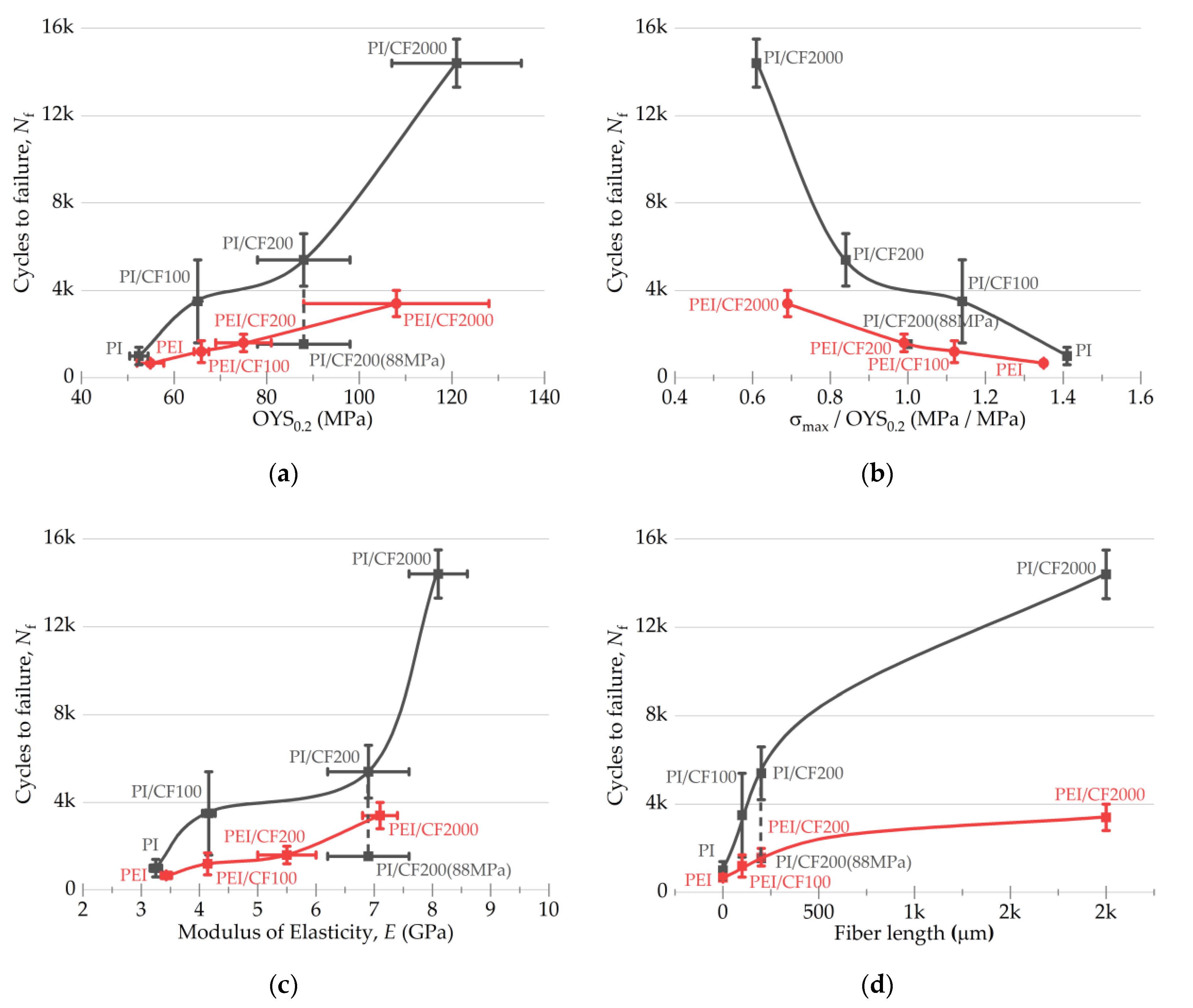
3.4. Fatigue Tests
- It was greater than the OYS0.2 levels for both the neat PI and PEI (52.4 and 54.9 MPa, respectively), as well as the composites loaded with CF100 (65.1 and 65.9 MPa, for the PI and PEI matrices, respectively);
- It was comparable to or higher than the OYS0.2 levels for the composites filled with CF200 (88 and 75 MPa, for the PI and PEI matrices, respectively);
- It was noticeably lower than after reinforcing with CF2000 (121 and 108 MPa for the PI and PEI composites, respectively).
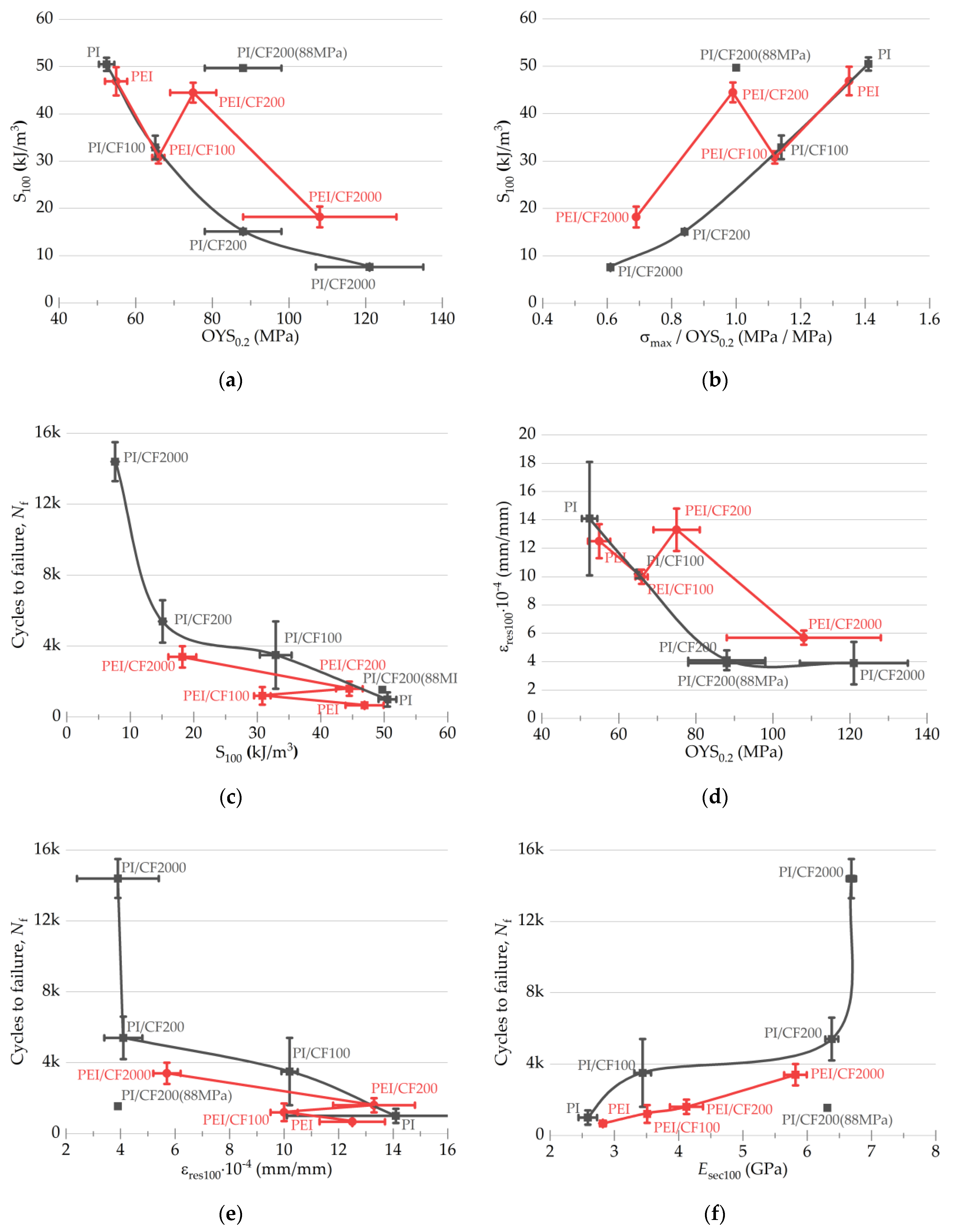
3.4.1. Energy loss due to hysteresis (loop area)
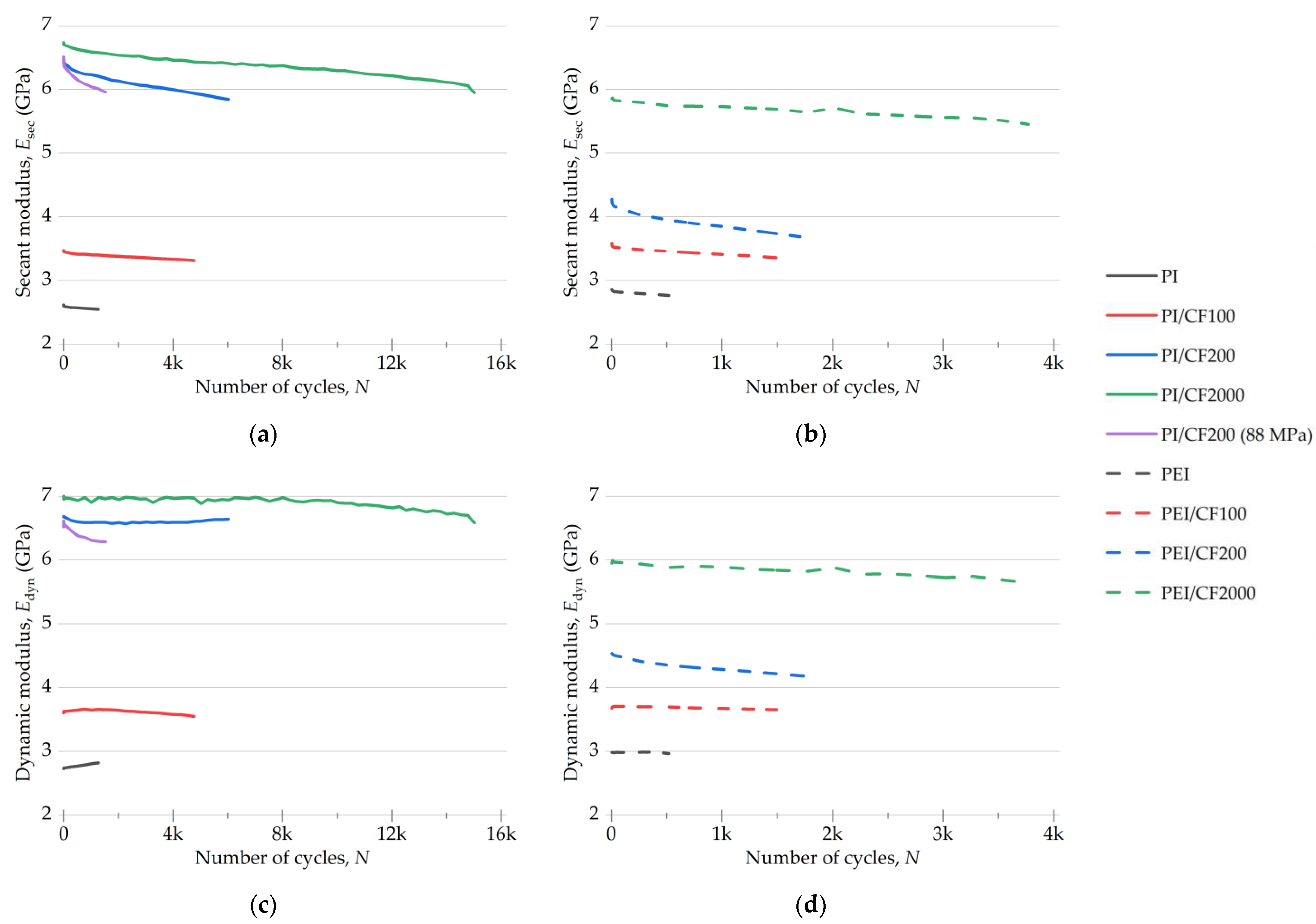
3.4.2. The Secant and Dynamic Modules
3.4.3. Residual Strain
- The residual strain was higher by ~12% for the neat PI than that for the neat PEI (13.9·10−4 and 12.4·10−4 mm/mm, respectively, according to Figure 10a,b). The increase rates were comparable for both materials (up to ~500 cycles).
- At the beginning of the tests, the residual strain values were close for the PI/CF100 and the PEI/CF100 composites (10.1·10−4 and 9.8·10−4 mm/mm, respectively). The increase rates for this parameter were also similar.
- For the PEI/CF200 composite, the residual strain level was three times higher than that of the PI/CF200 (4·10−4 versus 13·10−4 mm/mm). The increase rate was also greater for the PEI/CF200 specimen. At the load stress of 88 MPa, the fatigue test results for the PI/CF200 composite exhibited a similar residual strain value as that at 74 MPa.
- For the PI/CF2000, the residual strain value of 3.9·10−4 mm/mm was minimal and increased by almost three times. In the PEI/CF2000 case, this parameter was higher (5.7·10−4 mm/m), but the increase rate was similar in the magnitude and dynamics under cyclic loads.
3.4.4. XRD Spectra
- Since the studied materials belonged to the amorphous class, any pronounced peaks did not appear on the spectrograms.
- Despite the fact that the reflection intensity in the XRD spectra was plotted in relative units, the intensity of the main (broadened) maximum was more than two times higher for PEI than for PI (170 and 350 a.u., respectively).
- After the fatigue tests, the intensity of the main maximum in the XRD spectrum significantly decreased for all tested specimens, both neat polymers and their composites.
- Greater “orderliness” of the amorphous structure of both the neat PEI and its composites, which may be the reason for the lower dispersion in the fatigue life for the PEI-based specimens.
- A significant decrease in the intensity of the main maximum in the XRD spectrum as a result of the fatigue tests, which indicated a change in the internal structure of both polymers and their composites. This was primarily due to the formation of microscopic damage. This result was very relevant, since such scattered damage was small and almost impossible to observe with available methods of non-destructive testing.
4. Discussion
5. Conclusions
- The resistance to fatigue cracks of the neat PI and PEI, as well as their composites, determined their fatigue life to a minimum level (even at a reinforcing frame of SCFs 2000 µm long).
- Unlike the PEI, the PI was less prone to the development of creep processes, probably because of the greater rigidity of the polymer molecules, which was consistent with the data of the Raman spectra, which revealed the absence of any characteristic peaks in the PI (due to its non-polar nature and the lack of hinged oxygen atoms).
- The monotonous decrease in the normalized value of the dynamic modulus for the PEI-based composite indicated the continuous formation of scattered damage, while such a change began in the PI-based specimens at a value of at least 50% from its fracture point.
- In the case of SCFs 2000 µm long, the length of SCFs was comparable to the specimen thickness, causing the formation of a spatial framework of unattached SCFs at AR = 200. The lower rigidity of the polymer matrix provided more effective resistance to the accumulation of scattered damage with the simultaneous higher creep resistance. Under such conditions, the adhesion factor had a lesser effect.
- The determining role of the accumulation of cyclic damage in the neat PI and PEI, as well as their composites reinforced with SCFs, was confirmed by the results of the XRD spectra analysis.
Supplementary Materials
Author Contributions
Funding
Institutional Review Board Statement
Informed Consent Statement
Data Availability Statement
Acknowledgments
Conflicts of Interest
References
- Jean, M. High Performance Polymers-Polyimides Based—From Chemistry to Applications; Abadie, M., Ed.; InTech: Rijeka, Croatia, 2012; ISBN 978-953-51-0899-3. [Google Scholar]
- Fink, J.K. High Performance Polymers; William Andrew Inc.: Norwich, NY, USA, 2008; Volume 4, ISBN 978-0-81551-580-7. [Google Scholar]
- Friedrich, K. Polymer Composites for Tribological Applications. Adv. Ind. Eng. Polym. Res. 2018, 1, 3–39. [Google Scholar] [CrossRef]
- McKeen, L.W. Chapter 7-Polyimides. In Fatigue and Tribological Properties of Plastics and Elastomers; William Andrew: Oxford, UK, 2010; pp. 149–173. ISBN 978-0-08-096450-8. [Google Scholar]
- Mazínová, I.; Florian, P. Materials Selection in Mechanical Design; Butterworth-Heinemann: Burlington, MA, USA, 2014; Volume 16, ISBN 978-0-08095-223-9. [Google Scholar]
- Hegde, S.; Satish Shenoy, B.; Chethan, K.N. Review on Carbon Fiber Reinforced Polymer (CFRP) and Their Mechanical Performance. Mater. Today Proc. 2019, 19, 658–662. [Google Scholar] [CrossRef]
- Mortazavian, S.; Fatemi, A. Fatigue of Short Fiber Thermoplastic Composites: A Review of Recent Experimental Results and Analysis. Int. J. Fatigue 2017, 102, 171–183. [Google Scholar] [CrossRef]
- Mahmoud Zaghloul, M.Y.; Yousry Zaghloul, M.M.; Yousry Zaghloul, M.M. Developments in Polyester Composite Materials—An in-Depth Review on Natural Fibres and Nano Fillers. Compos. Struct. 2021, 278. [Google Scholar] [CrossRef]
- Zaghloul, M.Y.; Zaghloul, M.M.Y.; Zaghloul, M.M.Y. Influence of Stress Level and Fibre Volume Fraction on Fatigue Performance of Glass Fibre-Reinforced Polyester Composites. Polymers 2022, 14, 2662. [Google Scholar] [CrossRef]
- Mahmoud Zaghloul, M.Y.; Yousry Zaghloul, M.M.; Yousry Zaghloul, M.M. Physical Analysis and Statistical Investigation of Tensile and Fatigue Behaviors of Glass Fiber-Reinforced Polyester via Novel Fibers Arrangement. J. Compos. Mater. 2023, 57, 147–166. [Google Scholar] [CrossRef]
- Zaghloul, M.M.Y.; Mohamed, Y.S.; El-Gamal, H. Fatigue and Tensile Behaviors of Fiber-Reinforced Thermosetting Composites Embedded with Nanoparticles. J. Compos. Mater. 2019, 53, 709–718. [Google Scholar] [CrossRef]
- Zaghloul, M.M.Y.; Zaghloul, M.M.Y. Influence of Flame Retardant Magnesium Hydroxide on the Mechanical Properties of High Density Polyethylene Composites. J. Reinf. Plast. Compos. 2017, 36, 1802–1816. [Google Scholar] [CrossRef]
- Zaghloul, M.M.Y.; Zaghloul, M.Y.M.; Zaghloul, M.M.Y. Experimental and Modeling Analysis of Mechanical-Electrical Behaviors of Polypropylene Composites Filled with Graphite and MWCNT Fillers. Polym. Test. 2017, 63, 467–474. [Google Scholar] [CrossRef]
- Zaghloul, M.M.Y.M. Mechanical Properties of Linear Low-Density Polyethylene Fire-Retarded with Melamine Polyphosphate. J. Appl. Polym. Sci. 2018, 135, 1–12. [Google Scholar] [CrossRef]
- Xie, K.; Wang, W.; Li, Y.; Xu, M.; Han, Z.; Zhang, Y.; Gao, W. Study on Structure-Performance Relationship of RGO Enhanced Polypropylene Composites with Improved Atomic Oxygen Resistance. Compos. Part B Eng. 2022, 239. [Google Scholar] [CrossRef]
- Xie, K.; Xu, S.; Hao, W.; Wang, J.; Huang, A.; Zhang, Y. Surface Effect of the MgCl2 Support in Ziegler–Natta Catalyst for Ethylene Polymerization: A Computational Study. Appl. Surf. Sci. 2022, 589, 153002. [Google Scholar] [CrossRef]
- Shchegolkov, A.V.; Nachtane, M.; Stanishevskiy, Y.M.; Dodina, E.P.; Rejepov, D.T.; Vetcher, A.A. The Effect of Multi-Walled Carbon Nanotubes on the Heat-Release Properties of Elastic Nanocomposites. J. Compos. Sci. 2022, 6, 333. [Google Scholar] [CrossRef]
- Wu, J.; Kou, Z.; Cui, G. The Tribological Properties of Carbon Fiber Reinforced Polyimide Matrix Composites under Distilled Water Condition. Ind. Lubr. Tribol. 2016, 68, 212–219. [Google Scholar] [CrossRef]
- Zhang, X.; Pei, X.; Wang, Q. The Tribological Properties of Acid- and Diamine-Modified Carbon Fiber Reinforced Polyimide Composites. Mater. Chem. Phys. 2009, 115, 825–830. [Google Scholar] [CrossRef]
- Valueva, M.I.; Zelenina, I.V.; Zharinov, M.A.; Khaskov, M.A. High-Temperature Carbon Fiber Reinforced Plastics Based on a Thermoreactive Polyimide Binder. Inorg. Mater. Appl. Res. 2021, 12, 1581–1589. [Google Scholar] [CrossRef]
- Dong, F.; Hou, G.; Cao, F.; Yan, F.; Liu, L.; Wang, J. The Lubricity and Reinforcement of Carbon Fibers in Polyimide at High Temperatures. Tribol. Int. 2016, 101, 291–300. [Google Scholar] [CrossRef]
- Nie, P.; Min, C.; Song, H.J.; Chen, X.; Zhang, Z.; Zhao, K. Preparation and Tribological Properties of Polyimide/Carboxyl-Functionalized Multi-Walled Carbon Nanotube Nanocomposite Films under Seawater Lubrication. Tribol. Lett. 2015, 58, 1–12. [Google Scholar] [CrossRef]
- Jianguo, Z.; Gang, D. Mechanical Properties of Polyimide Composite Reinforced with Carbon Nanotubes and Carbon Fibers. J. Thermoplast. Compos. Mater. 2015, 28, 1250–1259. [Google Scholar] [CrossRef]
- Song, J.; Yu, Y.; Zhao, G.; Qiu, J.; Ding, Q. Improved Tribological Properties of Polyimide Composites by Micro–Nano Reinforcement. J. Appl. Polym. Sci. 2019, 136, 1–9. [Google Scholar] [CrossRef]
- Zhang, Y.Y.; Mo, X.L.; Guan, B.W.; Chen, Q.; Huang, P.; Li, Y.Q.; Fu, S.Y. Experimental and Theoretical Investigations of the Viscoelastic Behaviour of Short Carbon Fiber Reinforced Polyetherimide Composites. Compos. Struct. 2022, 298, 116016. [Google Scholar] [CrossRef]
- Lee, E.S.; Lee, C.H.; Chun, Y.S.; Han, C.J.; Lim, D.S. Effect of Hydrogen Plasma-Mediated Surface Modification of Carbon Fibers on the Mechanical Properties of Carbon-Fiber-Reinforced Polyetherimide Composites. Compos. Part B Eng. 2017, 116, 451–458. [Google Scholar] [CrossRef]
- Sun, Z.; Li, Y.Q.; Huang, P.; Cao, H.J.; Zeng, W.; Li, J.; Li, F.; Sun, B.G.; Shi, H.Q.; Zhou, Z.L.; et al. Temperature-Dependent Mechanical Properties of Polyetherimide Composites Reinforced by Graphene Oxide-Coated Short Carbon Fibers. Compos. Struct. 2021, 270, 114075. [Google Scholar] [CrossRef]
- Yongxin, P.; Yilin, C.; Weimin, D.; Dongming, S. Wear Properties of Polyetherimide and Carbon Fiber-Reinforced Polyetherimide Composite. J. Thermoplast. Compos. Mater. 2014, 27, 949–957. [Google Scholar] [CrossRef]
- Zhang, Y.Y.; Sun, Z.; Huang, P.; Li, Y.Q.; Chen, Q.; Fu, S.Y. Experimental and Numerical Investigations of Wear Behaviors of Short-Carbon-Fiber Reinforced Polyetherimide Composite. Compos. Struct. 2021, 270, 114057. [Google Scholar] [CrossRef]
- SABIC Innovative Plastics Ultem* and Siltem* Resins—Products and Markets Guide. Available online: https://www.sabic.com/en/search/search-everything?q=Innovative+Plastics+Ultem*+and+Siltem*+Resins+-+Products+and+Markets+Guide (accessed on 27 February 2023).
- SABIC Innovative Plastics. Engineering Design Data. Available online: https://www.sabic.com/en/search/search-everything?q=Innovative+Plastics+Engineering+Design+Data (accessed on 27 February 2023).
- DuPont Properties of DuPont VESPEL. Available online: https://www.dupont.com/solution-finder/results.html?BU=vespel (accessed on 27 February 2023).
- Friedrich, K.; Schulte, K.; Horstenkamp, G.; Chou, T.W. Fatigue Behaviour of Aligned Short Carbon-Fibre Reinforced Polyimide and Polyethersulphone Composites. J. Mater. Sci. 1985, 20, 3353–3364. [Google Scholar] [CrossRef]
- Schulte, K.; Friedrich, K.; Horstenkamp, G. Temperature-Dependent Mechanical Behaviour of PI and PES Resins Used as Matrices for Short-Fibre Reinforced Laminates. J. Mater. Sci. 1986, 21, 3561–3570. [Google Scholar] [CrossRef]
- Ansari, M.T.A.; Singh, K.K.; Azam, M.S. Fatigue Damage Analysis of Fiber-Reinforced Polymer Composites—A Review. J. Reinf. Plast. Compos. 2018, 37, 636–654. [Google Scholar] [CrossRef]
- Mortazavian, S.; Fatemi, A. Fatigue Behavior and Modeling of Short Fiber Reinforced Polymer Composites: A Literature Review. Int. J. Fatigue 2015, 70, 297–321. [Google Scholar] [CrossRef]
- Sieberer, S.; Nonn, S.; Schagerl, M. Fatigue Behaviour of Discontinuous Carbon-Fibre Reinforced Specimens and Structural Parts. Int. J. Fatigue 2020, 131, 105289. [Google Scholar] [CrossRef]
- Stadler, G.; Primetzhofer, A.; Jerabek, M.; Pinter, G.; Grün, F. Investigation of the Influence of Viscoelastic Behaviour on the Lifetime of Short Fibre Reinforced Polymers. Polymers 2020, 12, 2874. [Google Scholar] [CrossRef]
- Magino, N.; Köbler, J.; Andrä, H.; Welschinger, F.; Müller, R.; Schneider, M. Accounting for Viscoelastic Effects in a Multiscale Fatigue Model for the Degradation of the Dynamic Stiffness of Short-Fiber Reinforced Thermoplastics. Comput. Mech. 2022, 71, 493–515. [Google Scholar] [CrossRef]
- Hwang, W.; Han, K.S. Fatigue of Composites—Fatigue Modulus Concept and Life Prediction. J. Compos. Mater. 1986, 20, 154–165. [Google Scholar] [CrossRef]
- Cain, K.J.; Glinka, G.; Plumtree, A. Cyclic Damage Characterization of an Off-Axis Unidirectional Graphite Bismaleimide Composite. Can. Metall. Q. 2006, 45, 433–440. [Google Scholar] [CrossRef]
- Krummenacker, J.; Hausmann, J. Determination of Fatigue Damage Initiation in Short Fiber-Reinforced Thermoplastic through Acoustic Emission Analysis. J. Compos. Sci. 2021, 5, 221. [Google Scholar] [CrossRef]
- Li, A.; Huang, J.; Zhang, C. Enabling Rapid Fatigue Life Prediction of Short Carbon Fiber Reinforced Polyether-Ether-Ketone Using a Novel Energy Dissipation–Based Model. Compos. Struct. 2021, 272, 114227. [Google Scholar] [CrossRef]
- Shiozawa, D.; Sakagami, T.; Nakamura, Y.; Tamashiro, T.; Nonaka, S.; Hamada, K.; Shinchi, T. Fatigue Damage Evaluation of Short Carbon Fiber Reinforced Plastics Based on Thermoelastic Temperature Change and Second Harmonic Components of Thermal Signal. Materials 2021, 14, 4941. [Google Scholar] [CrossRef]
- Bogdanov, A.A.; Panin, S.V.; Lyubutin, P.S.; Eremin, A.V.; Buslovich, D.G.; Byakov, A.V. An Automated Optical Strain Measurement System for Estimating Polymer Degradation under Fatigue Testing. Sensors 2022, 22, 6034. [Google Scholar] [CrossRef]
- Shelestova, V.A.; Letova, L.N.; Kostelcev, V.V.; Shilko, I.S. Effect of the Type of a Carbon-Fiber Filler on the Properties of Fluororubber Compositions. Polym. Mater. Technol. 2019, 5, 76–81. [Google Scholar] [CrossRef]
- Scherillo, G.; Mensitieri, G.; Baldanza, A.; Loianno, V.; Musto, P.; Pannico, M.; Correa, A.; De Nicola, A.; Milano, G. Weak Interactions between Poly(Ether Imide) and Carbon Dioxide: A Multiscale Investigation Combining Experiments, Theory, and Simulations. Macromolecules 2022, 55, 10773–10787. [Google Scholar] [CrossRef]
- Larkin, P. Infrared and Raman Spectroscopy: Principles and Spectral Interpretation; Elsevier: Waltham, MA, USA, 2011; Volume 9, ISBN 978-0-12386-984-5. [Google Scholar]
- Panin, S.V.; Bogdanov, A.A.; Eremin, A.V.; Buslovich, D.G.; Alexenko, V.O. Estimating Low-and High-Cyclic Fatigue of Polyimide-CF-PTFE Composite through Variation of Mechanical Hysteresis Loops. Materials 2022, 15, 4656. [Google Scholar] [CrossRef]
- Sastri, V.R. High-Temperature Engineering Thermoplastics: Polysulfones, Polyimides, Polysulfides, Polyketones, Liquid Crystalline Polymers, Fluoropolymers, and Polyarylamides. In Plastics in Medical Devices; William Andrew: Oxford, UK, 2022; pp. 233–286. ISBN 978-0-32385-126-8. [Google Scholar]
- Johnson, R.O.; Burlhis, H.S. Polyetherimide: A New High-Performance Thermoplastic Resin. J. Polym. Sci. Polym. Symp. 1983, 143, 129–143. [Google Scholar] [CrossRef]
- Sônego, M.; Abibe, A.B.; Canevarolo, S.V.; Bettini, S.H.P.; Dos Santos, J.F.; Canto, L.B.; Amancio-Filho, S.T. Thermomechanical Degradation of Polyetherimide (PEI) by Friction-Based Joining and the Effects on Quasi-Static Mechanical Strength of Hybrid Joints. Int. Polym. Process. 2019, 34, 100–110. [Google Scholar] [CrossRef]
- Svetlichnyi, V.M.; Zhukova, T.I.; Kudriavtsev, V.V.; Yudin, V.E.; Gubanova, G.N.; Leksovskii, A.M. Aromatic Polyetherimides as Promising Fusible Film Binders. Polym. Eng. Sci. 1995, 35, 1321–1324. [Google Scholar] [CrossRef]
- Krasnov, A.P.; Askadskii, A.A.; Goroshkov, M.V.; Shaposhnikova, V.V.; Salazkin, S.N.; Naumkin, A.V.; Sorokin, A.E.; Solov’eva, V.A. Effect of the Chemical Structure of Heat-Resistant Thermoplastics on the Friction on Steel. Dokl. Chem. 2018, 479, 58–63. [Google Scholar] [CrossRef]
- Sanner, M.A.; Haralur, G.; May, A. Effect of Molecular Weight on Brittle-to-Ductile Transition Temperature of Polyetherimide. J. Appl. Polym. Sci. 2004, 92, 1666–1671. [Google Scholar] [CrossRef]
- Courvoisier, E.; Bicaba, Y.; Colin, X. Multi-Scale and Multi-Technical Analysis of the Thermal Degradation of Poly(Ether Imide). Polym. Degrad. Stab. 2018, 147, 177–186. [Google Scholar] [CrossRef]
- Rath, T.; Kumar, S.; Mahaling, R.N.; Mukherjee, M.; Das, C.K.; Pandey, K.N.; Saxena, A.K. The Flexible PEI Composites. Polym. Compos. 2006, 27, 533–538. [Google Scholar] [CrossRef]
- Alvaredo-Atienza, Á.; Chen, L.; San-Miguel, V.; Ridruejo, Á.; Fernández-Blázquez, J.P. Fabrication and Characterization of Peek/Pei Multilayer Composites. Polymers 2020, 12, 2765. [Google Scholar] [CrossRef]
- Toro, S.A.; Ridruejo, A.; González, C.; Monclús, M.A.; Fernández-Blázquez, J.P. Optimization of Processing Conditions and Mechanical Properties for PEEK/PEI Multilayered Blends. Polymers 2022, 14, 4597. [Google Scholar] [CrossRef]
- Kim, K.Y.; Ye, L.; Yan, C. Fracture Behavior of Polyetherimide (PEI) and Interlaminar Fracture of CF/PEI Laminates at Elevated Temperatures. Polym. Compos. 2005, 26, 20–28. [Google Scholar] [CrossRef]
- Panin, S.V.; Luo, J.; Buslovich, D.G.; Alexenko, V.O.; Berto, F.; Kornienko, L.A. Effect of Transfer Film on Tribological Properties of Anti-Friction PEI- and PI-Based Composites at Elevated Temperatures. Polymers 2022, 14, 1215. [Google Scholar] [CrossRef] [PubMed]
- Soldatenkov, A.P.; Naydenkin, E.V.; Shanyavsky, A.A.; Mishin, I.P.; Eremin, A.V.; Bogdanov, A.A.; Panin, S.V. A Mesoscale Study of Fatigue Fracture of Near β Titanium Alloy VT22 after Radial Shear Rolling with Subsequent Aging. Phys. Mesomech. 2022, 25, 537–548. [Google Scholar] [CrossRef]















| Brand, Manufacturer | Density (25 °C), g/cm3 | Rockwell Hardness (M) | Glass Transition Temperature (Nitrogen Atmosphere), °C | Linear Expansion Coefficient of (23–30 °C), 1/°C | Oxygen Index (LOI), % |
|---|---|---|---|---|---|
| PI SolverPI-Powder 1600 | 1.38 | 110 | 260 | 3.68 ⋅ 10−5 | 46 |
| PEI ULTEM R00H | 1.27 | 109 | 217 | 5.2 ⋅ 10−5 | 47 |
| Brand, Manufacturer | Precursor | Length, µm | Aspect Ratio (AR) | Elastic Modulus, GPa | Ultimate Tensile Strength (UTS), MPa | Designation |
|---|---|---|---|---|---|---|
| UVI-12, MPRI NAS, Gomel, Belarus | Viscose | 100 | 10 | 60 | 1200 | PI/CF100 and PEI/CF100 |
| Tenax®-A, Teijin Carbon Europe Gmbh | PAN | 200 | 20 | 200 | 2600 | PI/CF200 and PEI/CF200 |
| Tenax®-A, Teijin Carbon Europe Gmbh | PAN | 2000 | 200 | 200 | 2600 | PI/CF2000 and PEI/CF2000 |
| Ultimate Tensile Strength, UTS (MPa) | Young Modulus, E (GPa) | Strain at Failure, εf (%) | Offset Yield Stress, OYS0.2 (MPa) | Fatigue Durability, Nf | ||
|---|---|---|---|---|---|---|
| Matrix | PI/PEI | PI/PEI | PI/PEI | PI/PEI | PI/PEI | |
| Filler | ||||||
| 0 | 107.0 ± 5.0/ | 3.35 ± 0.1 / | 8 ± 2.2 / | 52.4 ± 2 / | 1000 ± 400 / | |
| 112.0 ± 3.0 | 3.4 ± 0.1 | 6.6 ± 1.6 | 54.9 ± 2.9 | 670 ± 40 | ||
| 10 wt.% CF100 | 119.2 ± 0.9.0 / | 4.2 ± 0.1 / | 5.6 ± 0.1/ | 65.1 ± 0.6 / | 3500 ± 1900 / | |
| 102.0 ± 10.0 | 4.1 ± 0.1 | 3.7 ± 0.8 | 65.9 ± 1.6 | 1200 ± 500 | ||
| 10 wt.% CF200 | 111.0 ± 10.0 / | 6.9 ± 0.7 / | 2.3 ± 0.03 / | 88.0 ± 10.0 / | 5400 ± 1200 / | |
| 104.5 ± 1.6 | 5.5 ± 0.5 | 3.2 ± 0.7 | 75.0 ± 6.0 | 1600 ± 400 | ||
| 10 wt.% CF2000 | 128.0 ± 6.0 / | 8.1 ± 0.5 / | 1.9 ± 0.1 / | 121.0 ± 14.0 / | 14,400 ± 1100 / | |
| 120.0 ± 10.0 | 7.1 ± 0.3 | 2.1 ± 0.1 | 108.0 ± 20.0 | 3400 ± 600 | ||
Disclaimer/Publisher’s Note: The statements, opinions and data contained in all publications are solely those of the individual author(s) and contributor(s) and not of MDPI and/or the editor(s). MDPI and/or the editor(s) disclaim responsibility for any injury to people or property resulting from any ideas, methods, instructions or products referred to in the content. |
© 2023 by the authors. Licensee MDPI, Basel, Switzerland. This article is an open access article distributed under the terms and conditions of the Creative Commons Attribution (CC BY) license (https://creativecommons.org/licenses/by/4.0/).
Share and Cite
Panin, S.V.; Bogdanov, A.A.; Eremin, A.V.; Buslovich, D.G.; Shilko, I.S. Effect of Polymer Matrix on Inelastic Strain Development in PI- and PEI-Based Composites Reinforced with Short Carbon Fibers under Low-Cyclic Fatigue. Polymers 2023, 15, 1228. https://doi.org/10.3390/polym15051228
Panin SV, Bogdanov AA, Eremin AV, Buslovich DG, Shilko IS. Effect of Polymer Matrix on Inelastic Strain Development in PI- and PEI-Based Composites Reinforced with Short Carbon Fibers under Low-Cyclic Fatigue. Polymers. 2023; 15(5):1228. https://doi.org/10.3390/polym15051228
Chicago/Turabian StylePanin, Sergey V., Alexey A. Bogdanov, Alexander V. Eremin, Dmitry G. Buslovich, and Ivan S. Shilko. 2023. "Effect of Polymer Matrix on Inelastic Strain Development in PI- and PEI-Based Composites Reinforced with Short Carbon Fibers under Low-Cyclic Fatigue" Polymers 15, no. 5: 1228. https://doi.org/10.3390/polym15051228
APA StylePanin, S. V., Bogdanov, A. A., Eremin, A. V., Buslovich, D. G., & Shilko, I. S. (2023). Effect of Polymer Matrix on Inelastic Strain Development in PI- and PEI-Based Composites Reinforced with Short Carbon Fibers under Low-Cyclic Fatigue. Polymers, 15(5), 1228. https://doi.org/10.3390/polym15051228

