Experimental Investigation of Effect of L-Profile Hybrid Aluminium/GFRP to the Axial and Lateral Characteristic
Abstract
1. Introduction
2. Materials and Methods
2.1. Materials and Specimen Preparations
2.2. Compression Test and Calculations
3. Results and Discussion
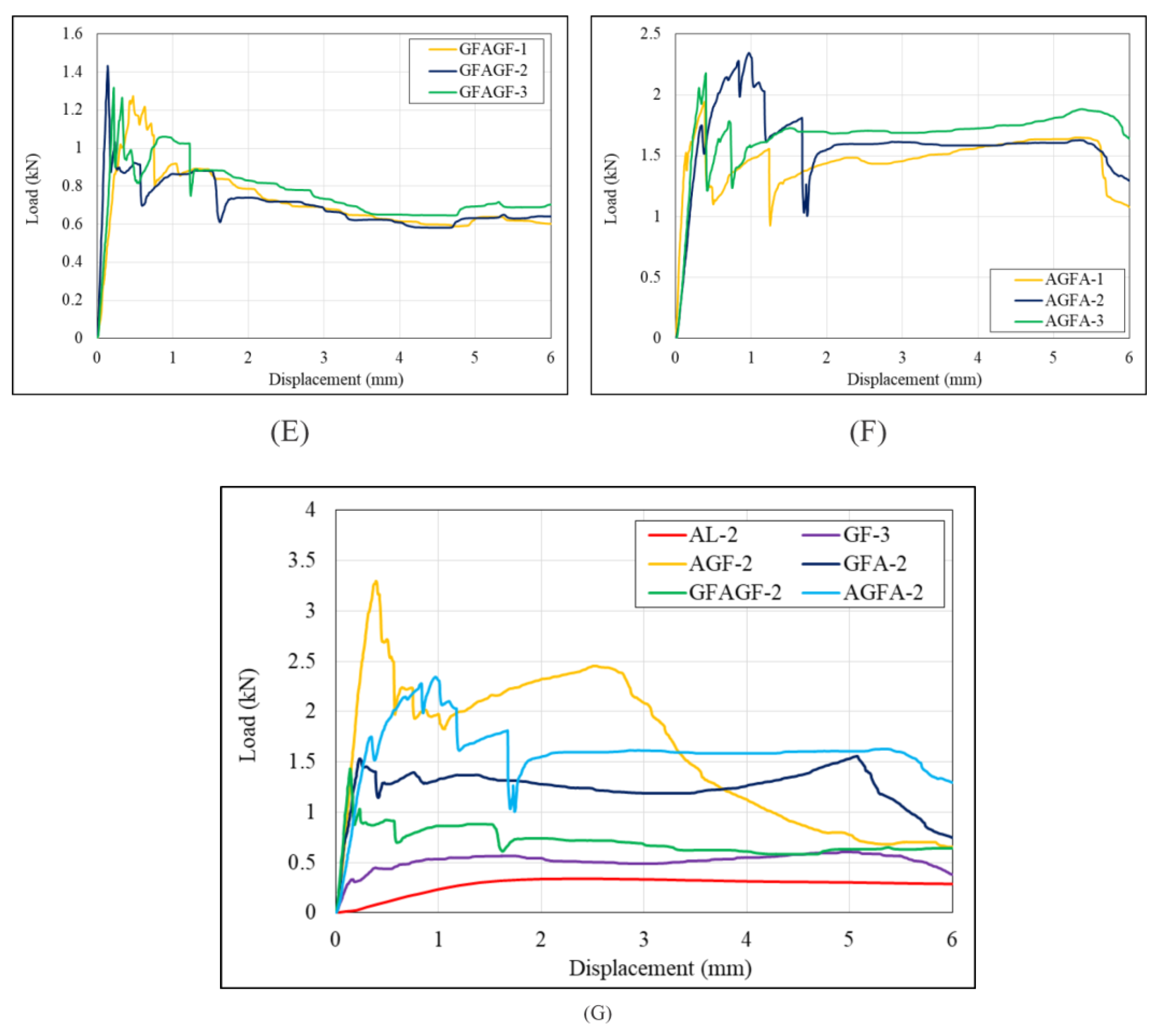
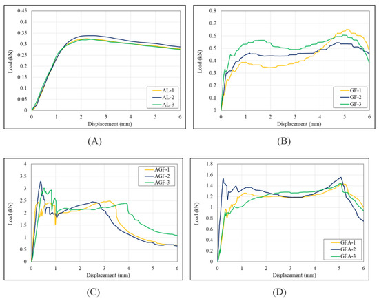
3.1. Experimental Result of Axial Compression Test
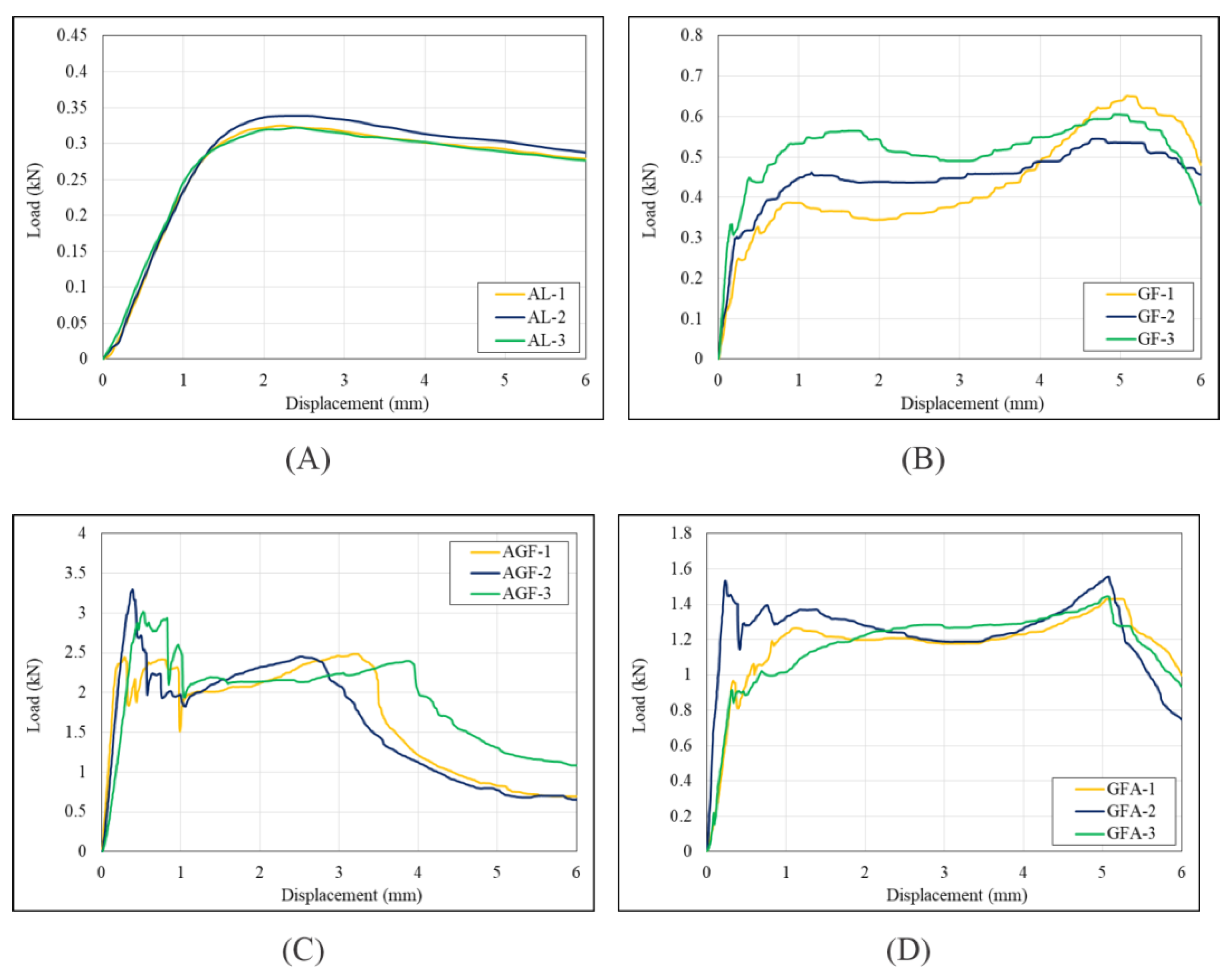
3.2. Experimental Result of Lateral Compression Test
3.3. Discussion
4. Conclusions
- In the axial compression test, the aluminium/GFRP hybrid tends to crush in a more progressive and stable failure mode compared with the net aluminium and net GFRP specimens, with a relatively more stable load-carrying capacity throughout the experimental tests. The addition of a thin aluminium structure is also effective in increasing the initial peak crushing force of the specimen, as it could be observed that every hybrid specimen had a higher PCF value than the net GFRP specimens.
- Comparing the aluminium/GFRP hybrid specimens in axial loading, it can be observed that the AGFA stacking sequence’s PCF is significantly higher than any of the other stacking sequences and its energy absorption capacity slightly higher, attributable to its having two pieces of thin aluminium structure. However, the AGF stacking sequence was second at energy absorption capacity, with a very slight difference compared to AGFA (145.31 kJ versus 157.19 kJ, respectively).
- In the lateral compression test, a significant increase in load carrying and energy absorption capacity could be observed from the aluminium/GFRP hybrid specimens over the net GFRP specimens. This indicates that adding the thin aluminium structure on the L-profile GFRP effectively increases its lateral crushing capability.
- Comparing the hybrid specimen, it could be observed that the AGF stacking sequence had the highest PCF, EA, and SEA value compared to the other specimens, despite only having one piece of thin aluminium structure. However, a few trade-offs in adding the thin aluminium structure could be observed from the other crashworthiness indicators, namely the lower specific energy absorption, caused by the extra weight of the aluminium, and the lower crush force efficiency (CFE).
- The Al and GF specimens had the worst number in all categories. It is essential to have a stacking sequence in terms of compression test, axially and laterally. By adding and varying stacking as reinforcement, the specimen’s ability for its crashworthiness will increase significantly.
Author Contributions
Funding
Data Availability Statement
Acknowledgments
Conflicts of Interest
Appendix A
Appendix A.1. Experimental Result of Axial Compression Test
| Specimen | No | PCF, kN | Favg, kN | EA, J | SEA, J.g−1 | CFE |
|---|---|---|---|---|---|---|
| Al | 1 | 2.43 | 0.76 | 4.59 | 1.31 | 0.31 |
| 2 | 2.17 | 0.70 | 4.18 | 1.19 | 0.32 | |
| 3 | 2.30 | 0.73 | 4.37 | 1.25 | 0.32 | |
| GF | 1 | 8.04 | 5.95 | 117.07 | 11.71 | 0.74 |
| 2 | 8.39 | 7.21 | 143.16 | 14.32 | 0.86 | |
| 3 | 8.14 | 8.13 | 159.94 | 15.53 | 1.00 | |
| AGF | 1 | 13.70 | 8.21 | 164.29 | 14.41 | 0.60 |
| 2 | 12.98 | 5.40 | 108.04 | 9.73 | 0.42 | |
| 3 | 13.95 | 8.18 | 163.59 | 14.35 | 0.59 | |
| GFA | 1 | 12.45 | 6.99 | 139.79 | 10.43 | 0.56 |
| 2 | 10.22 | 7.17 | 143.37 | 10.24 | 0.70 | |
| 3 | 11.61 | 5.37 | 107.36 | 8.39 | 0.46 | |
| GFAGA | 1 | 13.08 | 4.72 | 94.37 | 7.26 | 0.36 |
| 2 | 15.85 | 4.46 | 89.22 | 7.02 | 0.28 | |
| 3 | 15.88 | 4.28 | 85.55 | 7.01 | 0.27 | |
| AGFA | 1 | 25.30 | 8.81 | 176.16 | 10.49 | 0.35 |
| 2 | 26.81 | 6.97 | 139.42 | 8.11 | 0.26 | |
| 3 | 21.67 | 7.80 | 156.00 | 10.00 | 0.36 |
| Specimen | PCF, kN | Favg, kN | EA, J | SEA, J.g−1 | CFE |
|---|---|---|---|---|---|
| Al | 2.30 | 0.73 | 4.38 | 1.25 | 0.32 |
| GF | 8.19 | 7.09 | 140.06 | 13.85 | 0.87 |
| AGF | 13.54 | 7.43 | 145.31 | 12.83 | 0.55 |
| GFA | 11.42 | 6.51 | 130.17 | 9.69 | 0.58 |
| GFAGF | 14.94 | 4.49 | 89.71 | 7.10 | 0.30 |
| AGFA | 24.59 | 7.86 | 157.19 | 9.53 | 0.32 |
Appendix A.2. Experimental Result of Lateral Compression Test
| Specimen | No | PCF, kN | Favg, kN | EA, J | SEA, J.g−1 | CFE |
|---|---|---|---|---|---|---|
| Al | 1 | 0.33 | 0.24 | 1.62 | 0.46 | 0.75 |
| 2 | 0.34 | 0.25 | 1.68 | 0.48 | 0.74 | |
| 3 | 0.32 | 0.27 | 1.62 | 0.46 | 0.82 | |
| GF | 1 | 0.39 | 0.44 | 2.61 | 0.24 | 1.13 |
| 2 | 0.46 | 0.46 | 2.70 | 0.25 | 0.99 | |
| 3 | 0.56 | 0.52 | 3.10 | 0.30 | 0.92 | |
| AGF | 1 | 2.45 | 1.54 | 10.05 | 0.90 | 0.63 |
| 2 | 3.30 | 1.53 | 9.67 | 0.84 | 0.46 | |
| 3 | 3.20 | 1.89 | 11.52 | 0.94 | 0.59 | |
| GFA | 1 | 1.27 | 1.19 | 7.02 | 0.47 | 0.94 |
| 2 | 1.53 | 1.24 | 7.47 | 0.51 | 0.81 | |
| 3 | 1.03 | 1.18 | 7.01 | 0.47 | 1.15 | |
| GFAGF | 1 | 1.27 | 0.73 | 4.33 | 0.33 | 0.58 |
| 2 | 1.43 | 0.71 | 4.23 | 0.31 | 0.49 | |
| 3 | 1.32 | 0.78 | 4.62 | 0.35 | 0.59 | |
| AGFA | 1 | 1.95 | 1.47 | 8.76 | 0.48 | 0.76 |
| 2 | 2.35 | 1.60 | 9.64 | 0.56 | 0.68 | |
| 3 | 2.18 | 1.70 | 10.06 | 0.56 | 0.78 |
| Specimen | PCF, kN | Favg, kN | EA, J | SEA, J.g−1 | CFE |
|---|---|---|---|---|---|
| Al | 0.33 | 0.25 | 1.64 | 0.47 | 0.77 |
| GF | 0.47 | 0.47 | 2.80 | 0.26 | 1.02 |
| AGF | 2.98 | 1.65 | 10.41 | 0.89 | 0.56 |
| GFA | 1.28 | 1.21 | 7.17 | 0.48 | 0.97 |
| GFAGF | 1.34 | 0.74 | 4.40 | 0.33 | 0.55 |
| AGFA | 2.16 | 1.59 | 9.49 | 0.54 | 0.74 |
References
- Zhu, G.; Yu, Q.; Zhao, X.; Wei, L.; Chen, H. Energy-absorbing mechanisms and crashworthiness design of CFRP multi-cell structures. Compos. Struct. 2020, 233, 111631. [Google Scholar] [CrossRef]
- Sun, G.; Deng, M.; Zheng, G.; Li, Q. Design for cost performance of crashworthy structures made of high strength steel. Thin-Walled Struct. 2019, 138, 458–472. [Google Scholar] [CrossRef]
- Kumar, V.V.; Ramakrishna, S.; Rajendran, S.; Surendran, S. Enhancing the material properties of carbon fiber epoxy composite by incorporating electrospun polyacrylonitrile nanofibers. Mater. Today Proc. 2022, 67, 1–4. [Google Scholar] [CrossRef]
- Acanfora, V.; Baldieri, F.; Garofano, A.; Fittipaldi, F.; Riccio, A. On the Crashworthiness Behaviour of Innovative Sandwich Shock Absorbers. Polymers 2022, 14, 4163. [Google Scholar] [CrossRef]
- Mamalis, A.G.; Manolakos, D.E.; Ioannidis, M.B.; Papapostolou, D.P. On the response of thin-walled CFRP composite tubular components subjected to static and dynamic axial compressive loading: Experimental. Compos. Struct. 2005, 69, 407–420. [Google Scholar] [CrossRef]
- Chen, D.; Sun, G.; Jin, X.; Li, Q. Quasi-static bending and transverse crushing behaviors for hat-shaped composite tubes made of CFRP, GFRP and their hybrid structures. Compos. Struct. 2020, 239, 111842. [Google Scholar] [CrossRef]
- Bambach, M.R.; Elchalakani, M.; Zhao, X.L. Composite steel-CFRP SHS tubes under axial impact. Compos. Struct. 2009, 87, 282–292. [Google Scholar] [CrossRef]
- Bouchet, J.; Jacquelin, E.; Hamelin, P. Dynamic axial crushing of combined composite aluminium tube: The role of both reinforcement and surface treatments. Compos. Struct. 2002, 56, 87–96. [Google Scholar] [CrossRef]
- Huang, Z.; Zhang, X.; Yang, C. Experimental and numerical studies on the bending collapse of multi-cell Aluminum/CFRP hybrid tubes. Compos. B Eng. 2020, 181, 107527. [Google Scholar] [CrossRef]
- Kumar, V.V.; Balaganesan, G.; Lee, J.K.Y.; Neisiany, R.E.; Surendran, S.; Ramakrishna, S. A review of recent advances in nanoengineered polymer composites. Polymers 2019, 11, 644. [Google Scholar] [CrossRef] [PubMed]
- Kumar, V.V.; Ramakrishna, S.; Yoong, J.L.K.; Neisiany, R.E.; Surendran, S.; Balaganesan, G. Electrospun nanofiber interleaving in fiber reinforced composites—Recent trends. Mater. Des. Process. Commun. 2019, 1, e24. [Google Scholar] [CrossRef]
- Kumar, V.; Rajendran, S.; Ramakrishna, S.; Surendran, S. Experimental investigation of carbon and glass hybrid composite under ballistic impact for marine applications. Trends Marit. Technol. Eng. 2022, 1, 135–139. [Google Scholar]
- Kumar, V.V.; Rajendran, S.; Balaganesan, G.; Surendran, S.; Selvan, A.; Ramakrishna, S. High velocity impact behavior of Hybrid composite under hydrostatic preload. J. Compos. Mater. 2022, 56, 3769–3779. [Google Scholar] [CrossRef]
- Muflikhun, M.A.; Yokozeki, T. Experimental and numerical analysis of CFRP-SPCC hybrid laminates for automotive and structural applications with cost analysis assessment. Compos. Struct. 2021, 263, 113707. [Google Scholar] [CrossRef]
- Muflikhun, M.A.; Yokozeki, T. Steel plate cold commercial—Carbon fiber reinforced plastics hybrid laminates for automotive applications: Curing perspective with thermal residual effect. J. Mater. Res. Technol. 2021, 14, 2700–2714. [Google Scholar] [CrossRef]
- Muflikhun, M.A.; Chua, A.Y. Load-displacement experimental data from axial tensile loading of CFRP-SPCC hybrid laminates. Data Brief. 2020, 29, 105306. [Google Scholar] [CrossRef] [PubMed]
- Zhu, K.; Zheng, X.; Zhang, C.; Chen, N.; Han, Y.; Yan, L.; Quaresimin, M. Compressive response and energy absorption of all-composite sandwich panels with channel cores. Compos. Struct. 2022, 289, 115461. [Google Scholar] [CrossRef]
- Lykakos, S.S.A.; Kostazos, P.K.; Venetsanos, O.-V.; Manolakos, D.E. Crashworthiness Performance of Aluminium, GFRP and Hybrid Aluminium/GFRP Circular Tubes under Quasi-Static and Dynamic Axial Loading Conditions: A Comparative Experimental Study. Dynamics 2021, 1, 22–48. [Google Scholar] [CrossRef]
- Yuping, E.; Yang, G.; Zhu, X.; Lu, G.; Sun, J. Experimental study on the flat-wise compression of foldcore sandwich paperboard. Thin-Walled Struct. 2022, 181, 110017. [Google Scholar] [CrossRef]
- Wu, C.; Tian, J.; Ding, Y.; Feng, P. Axial compression behavior of pultruded GFRP channel sections. Compos. Struct. 2022, 289, 115438. [Google Scholar] [CrossRef]
- Muflikhun, M.A.; Fiedler, B. Failure Prediction and Surface Characterization of GFRP Laminates: A Study of Stepwise Loading. Polymers 2022, 14, 4322. [Google Scholar] [CrossRef] [PubMed]
- Sun, G.; Li, S.; Liu, Q.; Li, G.; Li, Q. Experimental study on crashworthiness of empty/aluminum foam/honeycomb-filled CFRP tubes. Compos. Struct. 2016, 152, 969–993. [Google Scholar] [CrossRef]
- Obradovic, J.; Boria, S.; Belingardi, G. Lightweight design and crash analysis of composite frontal impact energy absorbing structures. Compos. Struct. 2012, 94, 423–430. [Google Scholar] [CrossRef]
- Liu, Q.; Ma, J.; He, Z.; Hu, Z.; Hui, D. Energy absorption of bio-inspired multi-cell CFRP and aluminum square tubes. Compos. B Eng. 2017, 121, 134–144. [Google Scholar] [CrossRef]
- Li, S.; Guo, X.; Li, Q.; Sun, G. On lateral crashworthiness of aluminum/composite hybrid structures. Compos. Struct. 2020, 245, 112334. [Google Scholar] [CrossRef]
- Gowid, S.; Mahdi, E.; Renno, J.; Sassi, S.; Kharmanda, G.; Shokry, A. Experimental investigation of the crashworthiness performance of fiber and fiber steel-reinforced composites tubes. Compos. Struct. 2020, 251, 112655. [Google Scholar] [CrossRef]
- Sebaey, T.A.; Junaedi, H.; Alshahrani, H.; Alyamani, R.; Akkad, K. Effect of thermal aging on the crashworthiness of foam-filled CFRP composite tubes under lateral compression. J. Mater. Res. Technol. 2023, 23, 1–12. [Google Scholar] [CrossRef]
- Zuo, W.; Luo, Q.; Li, Q.; Sun, G. Effect of thermal and hydrothermal aging on the crashworthiness of carbon fiber reinforced plastic composite tubes. Compos. Struct. 2023, 303, 116136. [Google Scholar] [CrossRef]
- Sun, G.; Chen, D.; Wang, H.; Hazell, P.J.; Li, Q. High-velocity impact behaviour of aluminium honeycomb sandwich panels with different structural configurations. Int. J. Impact Eng. 2018, 122, 119–136. [Google Scholar] [CrossRef]
- Sun, G.; Wang, E.; Zhang, J.; Li, S.; Zhang, Y.; Li, Q. Experimental study on the dynamic responses of foam sandwich panels with different facesheets and core gradients subjected to blast impulse. Int. J. Impact Eng. 2020, 135, 103327. [Google Scholar] [CrossRef]
- Wang, E.; Li, Q.; Sun, G. Computational analysis and optimization of sandwich panels with homogeneous and graded foam cores for blast resistance. Thin-Walled Struct. 2020, 147, 106494. [Google Scholar] [CrossRef]















| Specimen | No. | L, mm | Y, mm | W, mm | T, mm | M, g | Vf |
|---|---|---|---|---|---|---|---|
| Al | 1 | 49.9 | 29.5 | 19 | 0.8 | 3.5 | - |
| 2 | 50.1 | 29.5 | 19 | 0.8 | 3.5 | - | |
| 3 | 49.9 | 29.5 | 19 | 0.8 | 3.5 | - | |
| GF | 1 | 50.3 | 30.1 | 21.65 | 2.6 | 10 | 0.53 |
| 2 | 50.5 | 29.8 | 21.35 | 2.85 | 10 | 0.48 | |
| 3 | 50.4 | 30.2 | 21.85 | 2.75 | 10.3 | 0.50 | |
| AGF | 1 | 50.4 | 29.6 | 19.3 | 3.25 | 11.4 | 0.56 |
| 2 | 50.3 | 29.3 | 19.1 | 3.25 | 11.1 | 0.57 | |
| 3 | 50 | 29.4 | 19.35 | 3.3 | 11.4 | 0.55 | |
| GFA | 1 | 50.8 | 29.1 | 22.05 | 3.55 | 13.4 | 0.48 |
| 2 | 50.5 | 30.3 | 21.8 | 3.35 | 14 | 0.52 | |
| 3 | 49.9 | 29.9 | 21.2 | 3.4 | 12.8 | 0.52 | |
| GFAGF | 1 | 50 | 29.5 | 20.7 | 3.5 | 13 | 0.50 |
| 2 | 50.4 | 29.3 | 20.5 | 3.4 | 12.7 | 0.52 | |
| 3 | 49.9 | 29.6 | 20.1 | 3.6 | 12.2 | 0.49 | |
| AGFA | 1 | 49.8 | 30.6 | 22.5 | 4.25 | 16.8 | 0.48 |
| 2 | 50.1 | 30.2 | 22.6 | 4.25 | 17.2 | 0.48 | |
| 3 | 50 | 30.6 | 22.7 | 4.45 | 15.6 | 0.45 |
| Specimen | No. | L, mm | Y, mm | W, mm | T, mm | H, mm | M, g | Vf |
|---|---|---|---|---|---|---|---|---|
| Al | 1 | 50.3 | 29.5 | 18 | 0.8 | 13.7 | 3.5 | - |
| 2 | 49.6 | 29.5 | 18 | 0.8 | 13.7 | 3.5 | - | |
| 3 | 50.1 | 29.5 | 18 | 0.8 | 13.7 | 3.5 | - | |
| GF | 1 | 50.3 | 30.2 | 21.9 | 2.6 | 16.4 | 11.0 | 0.53 |
| 2 | 50.4 | 30.7 | 21.9 | 3.0 | 16.1 | 10.9 | 0.46 | |
| 3 | 50.0 | 30.8 | 21.9 | 2.95 | 16.0 | 10.4 | 0.47 | |
| AGF | 1 | 50.6 | 29.7 | 19.35 | 3.5 | 16.3 | 11.2 | 0.51 |
| 2 | 50.3 | 29.6 | 19.05 | 3.4 | 15.9 | 11.5 | 0.53 | |
| 3 | 49.9 | 29.3 | 19.05 | 3.5 | 15.9 | 12.2 | 0.52 | |
| GFA | 1 | 50.2 | 30.6 | 22.2 | 3.85 | 16.9 | 15 | 0.44 |
| 2 | 50.1 | 30.3 | 21.5 | 3.85 | 16.7 | 14.7 | 0.44 | |
| 3 | 50.2 | 29.0 | 22.3 | 3.6 | 16.5 | 15 | 0.48 | |
| GFAGF | 1 | 50.2 | 29.6 | 20.85 | 3.5 | 16.1 | 13.3 | 0.50 |
| 2 | 50.2 | 29.6 | 20.7 | 3.8 | 16.1 | 13.5 | 0.45 | |
| 3 | 50.2 | 29.9 | 20.6 | 3.4 | 15.9 | 13.3 | 0.52 | |
| AGFA | 1 | 49.9 | 30.6 | 23 | 4.75 | 19 | 18.1 | 0.41 |
| 2 | 49.8 | 30.3 | 22.9 | 4.8 | 18.9 | 17.2 | 0.40 | |
| 3 | 49.9 | 30.7 | 22.95 | 5.15 | 19.2 | 17.9 | 0.37 |
Disclaimer/Publisher’s Note: The statements, opinions and data contained in all publications are solely those of the individual author(s) and contributor(s) and not of MDPI and/or the editor(s). MDPI and/or the editor(s) disclaim responsibility for any injury to people or property resulting from any ideas, methods, instructions or products referred to in the content. |
© 2023 by the authors. Licensee MDPI, Basel, Switzerland. This article is an open access article distributed under the terms and conditions of the Creative Commons Attribution (CC BY) license (https://creativecommons.org/licenses/by/4.0/).
Share and Cite
Nugraha, A.D.; Alandro, D.; Kusumawanto, A.; Junianto, E.; Perwara, B.; Kumar, V.V.; Santos, G.N.C.; Sentanuhady, J.; Norcahyo, R.; Muflikhun, M.A. Experimental Investigation of Effect of L-Profile Hybrid Aluminium/GFRP to the Axial and Lateral Characteristic. Polymers 2023, 15, 1137. https://doi.org/10.3390/polym15051137
Nugraha AD, Alandro D, Kusumawanto A, Junianto E, Perwara B, Kumar VV, Santos GNC, Sentanuhady J, Norcahyo R, Muflikhun MA. Experimental Investigation of Effect of L-Profile Hybrid Aluminium/GFRP to the Axial and Lateral Characteristic. Polymers. 2023; 15(5):1137. https://doi.org/10.3390/polym15051137
Chicago/Turabian StyleNugraha, Ariyana Dwiputra, Daffa Alandro, Arif Kusumawanto, Endro Junianto, Budi Perwara, Vishnu Vijay Kumar, Gil Nonato C. Santos, Jayan Sentanuhady, Rachmadi Norcahyo, and Muhammad Akhsin Muflikhun. 2023. "Experimental Investigation of Effect of L-Profile Hybrid Aluminium/GFRP to the Axial and Lateral Characteristic" Polymers 15, no. 5: 1137. https://doi.org/10.3390/polym15051137
APA StyleNugraha, A. D., Alandro, D., Kusumawanto, A., Junianto, E., Perwara, B., Kumar, V. V., Santos, G. N. C., Sentanuhady, J., Norcahyo, R., & Muflikhun, M. A. (2023). Experimental Investigation of Effect of L-Profile Hybrid Aluminium/GFRP to the Axial and Lateral Characteristic. Polymers, 15(5), 1137. https://doi.org/10.3390/polym15051137

