Theoretical–Experimental Study of the Action of Trace Amounts of Formaldehyde, Propionaldehyde, and Butyraldehyde as Inhibitors of the Ziegler–Natta Catalyst and the Synthesis of an Ethylene–Propylene Copolymer
Abstract
1. Introduction
2. Experimental
2.1. Materials and Methods
2.1.1. Standards and Reagents
2.1.2. Green Ethylene Production Process by Microwave-Assisted Ethanol Dehydration
2.1.3. Copolymer Synthesis Process Using Green Ethylene as a Sustainable Feedstock
2.1.4. Gas Chromatography with Selective Mass Detector (GC-MSD)
2.1.5. The Melt Flow Index (MFI)
2.1.6. Thermogravimetric Analysis (TGA)
2.1.7. Fourier Transform Infrared (FTIR)
2.1.8. Mechanical Properties of Copolymer
2.1.9. Computational Details to Study the Reaction of the ZN Catalyst with Formaldehyde, Propanaldehyde and Butyraldehyde Residues
3. Results and Discussion
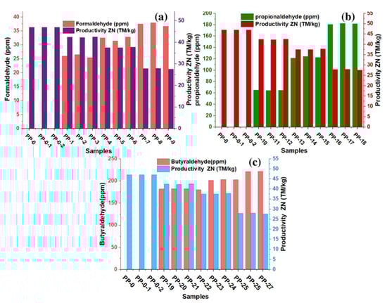
3.1. Effects of Traces of Formaldehyde, Propianoldehyde and Butyraldehyde on the Polymerization Process of Random Copolymer Rat
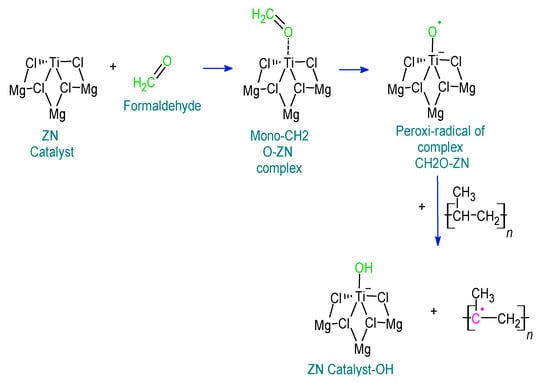
3.2. Computational Study of Formaldehyde, Propionaldehyde and Butyraldehyde Interaction with the Active Center of Ti (Poison-Ti Interaction)
3.3. Effects of Formaldehyde, Propionaldehyde and Butyraldehyde on the Thermal Properties of the Random Copolymer
3.4. Effect of Trace Formaldehyde, Propionaldehyde and Butyraldehyde on the TGA of the Copolymer
3.5. Effects of Formaldehyde, Propionaldehyde and Butyraldehyde on the Random Copolymer’s Mechanical Properties (Tensile, Flexural, and Impact)
4. Conclusions
Author Contributions
Funding
Institutional Review Board Statement
Informed Consent Statement
Data Availability Statement
Conflicts of Interest
References
- Fan, D.; Dai, D.J.; Wu, H.S. Ethylene formation by catalytic dehydration of ethanol with industrial considerations. Materials 2012, 6, 101–115. [Google Scholar] [CrossRef]
- Hernández-Fernández, J.; Guerra, Y.; Espinosa, E. Development and Application of a Principal Component Analysis Model to Quantify the Green Ethylene Content in Virgin Impact Copolymer Resins During Their Synthesis on an Industrial Scale. J. Polym. Environ. 2022, 30, 4800–4808. [Google Scholar] [CrossRef]
- Penteado, A.T.; Kim, M.; Godini, H.R.; Esche, E.; Repke, J.U. Biogas as a renewable feedstock for green ethylene production via oxidative coupling of methane: Preliminary feasibility study. Chem. Eng. Trans. 2017, 61, 589–594. [Google Scholar]
- Abril, A.; Navarro, E.A. Etanol a Partir de Biomasa Lignocelulósica; Aleta: Valencia, Spain, 2012; pp. 46–47. [Google Scholar]
- Himmelmann, R.; Otterstaetter, R.; Franke, O.; Brand, S.; Wachsen, O.; Mestl, G.; Efenberger, F.; Klemm, E. Selective oxidation of ethanol to ethylene oxide with a dual-layer concept. Catal. Commun. 2022, 167, 106424. [Google Scholar] [CrossRef]
- Hu, Y.S.; Kamdar, A.R.; Ansems, P.; Chum, S.P.; Hiltner, A.; Baer, E. Crystallization of a miscible propylene/ethylene copolymer blend. Polymer 2006, 47, 6387–6397. [Google Scholar] [CrossRef]
- Du, Z.X.; Xu, J.T.; Dong, Q.; Fan, Z.Q. Thermal fractionation and efect of comonomer distribution on the crystal structure of ethylene-propylene copolymers. Polymer 2009, 50, 2510–2515. [Google Scholar] [CrossRef]
- Jermolovicius, L.A.; Pouzada, E.V.S.; Do Nascimento, R.B.; de Castro, E.R.; Senise, J.T.; Mente, B.B.; Martins, M.C.; Yamaguchi, S.M.; Sanchez, V.C. Greening the green ethylene with microwaves. Chem. Eng. Process 2018, 127, 238–248. [Google Scholar] [CrossRef]
- Wang, Z.; Shi, R.; Zhang, T. Three-phase electrochemistry for green ethylene production. Curr. Opin. Electroche. 2021, 30, 100789. [Google Scholar] [CrossRef]
- Fernández, A.; Expósito, M.T.; Peña, B.; Berger, R.; Shu, J.; Graf, R.; Spiess, H.W.; García-Muñoz, R.A. Molecular structure and local dynamic in impact polypropylene copolymers studied by preparative TREF, solid state NMR spectroscopy, and SFM microscopy. Polymer 2015, 61, 87–98. [Google Scholar] [CrossRef]
- Hernández-Fernández, J.; Marulanda, K.; Puello-Polo, E. A new Valorization Route of Petrochemical Wastewater: Recovery of Phenolic Derivatives and their Subsequent Application in a PP Matrix for the Im-provement of their Durability in Multiple Applications. J. Polym. Environ. 2023, 1–10. [Google Scholar] [CrossRef]
- Hernández-Fernández, J.; Cano, H.; Aldas, M. Impact of Traces of Hydrogen Sulfide on the Efficiency of Ziegler–Natta Catalyst on the Final Properties of Polypropylene. Polymers 2022, 14, 3910. [Google Scholar] [CrossRef]
- Nikolaeva, M.; Mikenas, T.; Matsko, M.; Zakharov, V. Effect of AlEt3 and an External Donor on the Distribution of Active Sites According to Their Stereospecificity in Propylene Polymerization over TiCl4/MgCl2 Catalysts with Different Titanium Content. Macromol. Chem. Phys. 2016, 217, 1384–1395. [Google Scholar] [CrossRef]
- Bahri-Laleh, N. Interaction of Different Poisons with MgCl2/TiCl4 Based Ziegler-Natta Catalysts. Appl. Surf. Sci. 2016, 379, 395–401. [Google Scholar] [CrossRef]
- Hernández Fernández, J.A. Uso de Aditivos Sostenibles en la Estabilización Térmica del Polipropileno en su Proceso de Síntesis (Doctoral dissertation, Universitat Politècnica de València). Ph.D. Thesis, Universitat Politècnica de València, Alcoy, España, 2018. [Google Scholar]
- Hernández-Fernández, J. Quantifcation of oxygenates, sulphides, thiols and permanent gases in propylene: A multiple linear regression model to predict the loss of efciency in polypropylene production on an industrial scale. J. Chromatogr. A 2020, 1628, 461478. [Google Scholar] [CrossRef]
- Hernández-Fernández, J.; Vivas-Reyes, R.; Toloza, C.A. Experimental Study of the Impact of Trace Amounts of Acetylene and Methylacetylene on the Synthesis, Mechanical and Thermal Properties of Polypropylene. Int. J. Mol. Sci. 2022, 23, 12148. [Google Scholar] [CrossRef]
- Frisch, M.J.; Trucks, G.W.; Schlegel, H.B.; Scuseria, G.E.; Robb, M.A.; Cheeseman, J.R.; Scalmani, G.; Barone, V.; Mennucci, B.; Petersson, G.A.; et al. The Effects of Oxidation States, Spin States and Solvents on Molecular Structure, Stability and Spectroscopic Properties of Fe-Catechol Complexes: A Theoretical Study. Adv. Chem. Eng. Sci. 2017, 7, 137–153. [Google Scholar]
- Ernzerhof, M.; Perdew, J. Generalized gradient approximation to the angleand system-averaged exchange hole. J. Chem. Phys. 1998, 109, 3313. [Google Scholar] [CrossRef]
- Schäfer, C.; Ahlrichs, H.R. Fully optimized contracted gaussian basis sets of triple zeta valence quality for atoms Li to Kr. J. Chem. Phys. 1994, 100, 5829–5835. [Google Scholar] [CrossRef]
- Correa, A.; Piemontesi, F.; Morini, G.; Cavallo, L. Key elements in the structure and function relationship of the MgCl2/TiCl4/Lewis base Ziegler-Natta catalytic system. Macromolecules 2007, 40, 9181–9189. [Google Scholar] [CrossRef]
- Choudhary, K.D.; Nayyar, A.; Dasgupta, M.S. Effect of Compression Ratio on Combustion and Emission Characteristics of C.I. Engine Operated with Acetylene in Conjunction with Diesel Fuel. Fuel 2018, 214, 489–496. [Google Scholar] [CrossRef]
- Davis, T.E.; Tobias, R.L.; Peterli, E.B. Thermal Degradation of Polypropylene. J. Polym. Sci. 1962, 56, 485–499. [Google Scholar] [CrossRef]
- Hernández-Fernández, J.; Rodriguez, E. Dermination of phenolic antioxidants additives in industrial wastewater from polypropylene production using soild phase extraction with high-performance liquid chromatography. J. Chromatogr. A 2010, 1607, 460442. [Google Scholar] [CrossRef]
- Hernández Fernández, J.; Rayon, E.; Lopez, J.; Arrieta, M. Enchancing the termal stability of polypropylene by blending with low amounts of natural antioxidants. Macromol. Mater. Eng. 2019, 304, 1900379. [Google Scholar] [CrossRef]
- Hernández Fernández, J.; Lopez Martinez, J.; Barceló, D. Quantification and elimination of substituted synthetic phenols and volatile organic compounds in the wastewater treatment plant during the production of industrial scale. Chemosphere 2021, 263, 128027. [Google Scholar] [CrossRef]
- Hernández Fernández, J.; Lopez, J. Quantification pf poisons for Ziegler Natta Catalysts and effects on the production of polypropylene by gas chromatographic with simultaneous detection: Pulsed discharge helium. J. Chromatogr. A 2020, 1614, 460736. [Google Scholar]
- Hernández-Fernández, J. Quantification of arsine and phosphine in industrial atmospheric emissions in Spain and Colombia. Implementation of modified zeolites to reduce the environmental impact of emissions. Atmos. Pollut. Res. 2021, 12, 167–176. [Google Scholar] [CrossRef]
- Hernández-Fernández, J. Films Base don Thermoplastic Starch Blended with Pine Resin Derivatives for Food Packaging. Foods 2021, 10, 1171. [Google Scholar]
- Bonachela, S.; Lopez, J.; Granados, M.; Magan, J.; Hernandez, J.; Baille, A. Effects of gravel mulch on surface energy balance and soil termal regime in an unheated plastic Greenhouse. Biosyst. Eng. 2020, 192, 1–13. [Google Scholar] [CrossRef]
- Hernández-Fernández, J.; Lopez, J. Experimental study of the autocatalytic effect of triethylaluminum and TiCl4 residuals at the onset of nonadditive polypropylene degradation and their impacto n thermo-oxidative degradation and pyrolysis. J. Anal. Appl. Pyrolysis 2021, 155, 105052. [Google Scholar] [CrossRef]
- Hernández-Fernández, J.; Martinez, J. Autocatalytic influence of different levels of arsin o the termal stability and pyrolysis of polypropylene. J. Anal. Appl. Pyrolysis 2022, 161, 105385. [Google Scholar]
- Hernández-Fernández, J.; Lopez Martinez, J.; Barceló, D. Development and validation of a methodology for quantifying part-per-billion levels opf arsine and phosphine in nitrogen, hydrogen and liquefied petroleum gas using a variable. J. Chromatogr. A 2021, 1637, 461833. [Google Scholar] [CrossRef]
- Hernández-Fernández, J. Effects of Different Concentrations of Arsine on the Synthesis and Final Properties of polypropylene. Polymers 2022, 14, 3132. [Google Scholar] [CrossRef]
- Hernández-Fernández, J.; Guerra, Y.; Puello-Polo, E.; Marquez, E. Identification and Quantification of Microplastics in Effluents of Wastewater Treatment Plant by Differential Scanning Calorimetry (DSC). Sustainability 2022, 14, 4920. [Google Scholar] [CrossRef]
- Hernández-Fernández, J. Comparative Characterization of gum rosins for their use as sustainable additives in polymeric matrices. J. Appl. Polym. Sci. 2021, 14, 4920. [Google Scholar]
- Hernandez-Fernandez, J.; Cano, H.; Guerra, Y. Detection of Bisphenol A and Four Analogues in Atmospheric Emissions in Petrochemical Complexes Producing Polypropylene in South America. Molecules 2022, 27, 4832. [Google Scholar] [CrossRef]
- Chacon, H.; Cano, H.; Hernandez, J.; Guerra, Y.; Puello Polo, E.; Rio Rojas, J.F.; Ruiz, Y. Effect of Addition of polyurea as an Aggregate in Mortars: Analysis of Microstructure and Strength. Polymers 2022, 14, 1753. [Google Scholar] [CrossRef]







| Computational Data | ZN Inhibitors | Monomers | |||
|---|---|---|---|---|---|
| Formaldehyde | Propionaldehyde | Butyraldehyde | Propylene | Ethylene | |
| (kcal mol−1) | −40.5 | −47.22 | −49.75 | −5.2 | −1.3 |
| Ead b | −31.5 | −39.6 | −41.7 | -- | -- |
| Had b | −25.6 | −33.4 | −35.1 | -- | -- |
| Gad b | −24.5 | −30.2 | −35.2 | -- | -- |
Disclaimer/Publisher’s Note: The statements, opinions and data contained in all publications are solely those of the individual author(s) and contributor(s) and not of MDPI and/or the editor(s). MDPI and/or the editor(s) disclaim responsibility for any injury to people or property resulting from any ideas, methods, instructions or products referred to in the content. |
© 2023 by the authors. Licensee MDPI, Basel, Switzerland. This article is an open access article distributed under the terms and conditions of the Creative Commons Attribution (CC BY) license (https://creativecommons.org/licenses/by/4.0/).
Share and Cite
Hernández-Fernández, J.; Ortega-Toro, R.; Castro-Suarez, J.R. Theoretical–Experimental Study of the Action of Trace Amounts of Formaldehyde, Propionaldehyde, and Butyraldehyde as Inhibitors of the Ziegler–Natta Catalyst and the Synthesis of an Ethylene–Propylene Copolymer. Polymers 2023, 15, 1098. https://doi.org/10.3390/polym15051098
Hernández-Fernández J, Ortega-Toro R, Castro-Suarez JR. Theoretical–Experimental Study of the Action of Trace Amounts of Formaldehyde, Propionaldehyde, and Butyraldehyde as Inhibitors of the Ziegler–Natta Catalyst and the Synthesis of an Ethylene–Propylene Copolymer. Polymers. 2023; 15(5):1098. https://doi.org/10.3390/polym15051098
Chicago/Turabian StyleHernández-Fernández, Joaquín, Rodrigo Ortega-Toro, and John R. Castro-Suarez. 2023. "Theoretical–Experimental Study of the Action of Trace Amounts of Formaldehyde, Propionaldehyde, and Butyraldehyde as Inhibitors of the Ziegler–Natta Catalyst and the Synthesis of an Ethylene–Propylene Copolymer" Polymers 15, no. 5: 1098. https://doi.org/10.3390/polym15051098
APA StyleHernández-Fernández, J., Ortega-Toro, R., & Castro-Suarez, J. R. (2023). Theoretical–Experimental Study of the Action of Trace Amounts of Formaldehyde, Propionaldehyde, and Butyraldehyde as Inhibitors of the Ziegler–Natta Catalyst and the Synthesis of an Ethylene–Propylene Copolymer. Polymers, 15(5), 1098. https://doi.org/10.3390/polym15051098

