Experimental and Computational Exploration of Chitin, Pectin, and Amylopectin Polymers as Efficient Eco-Friendly Corrosion Inhibitors for Mild Steel in an Acidic Environment: Kinetic, Thermodynamic, and Mechanistic Aspects
Abstract
1. Introduction
2. Experimental Section
2.1. Materials
2.2. Techniques
3. Results and Discussion
3.1. OCP Measurements
3.2. PDP Measurements
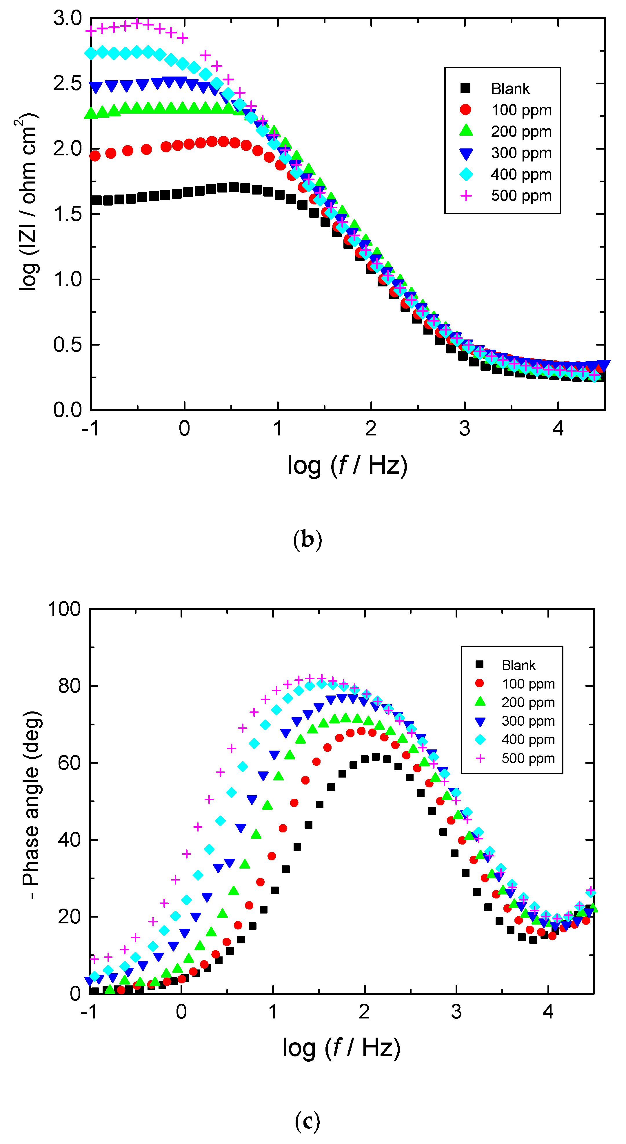
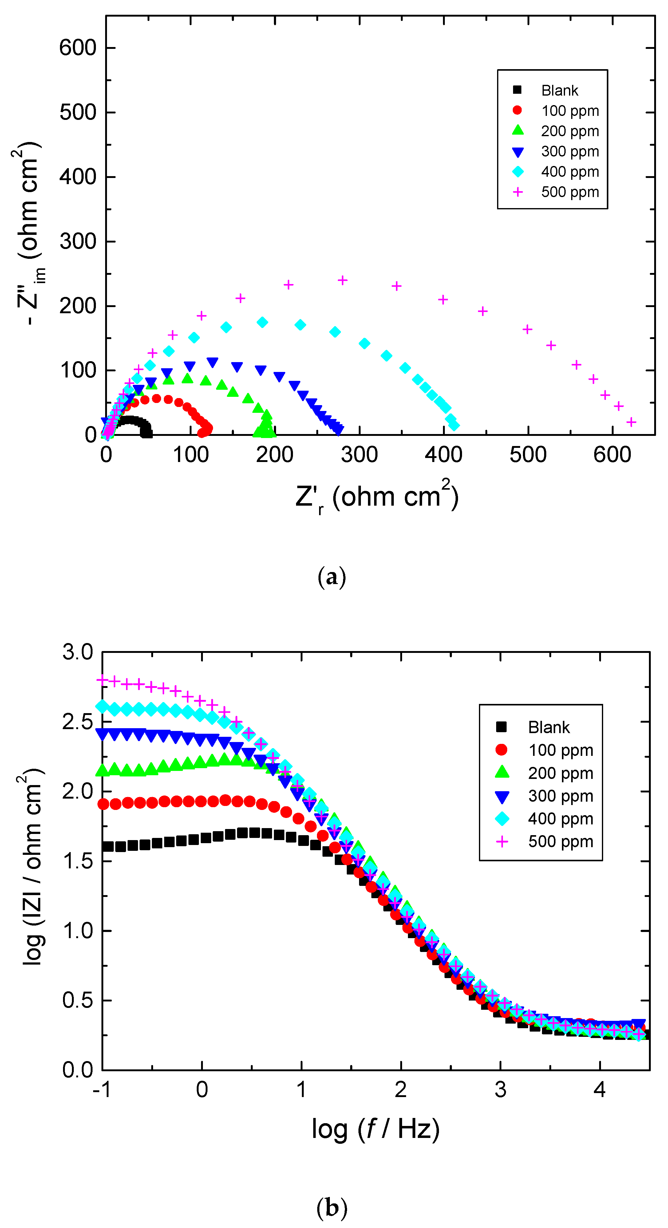
3.3. EIS Measurements
3.4. WL Measurements
3.4.1. Influence of Corrosive Medium
3.4.2. Effect of Inhibitors’ Concentrations
3.4.3. Effect of Time of Immersion on % IEs
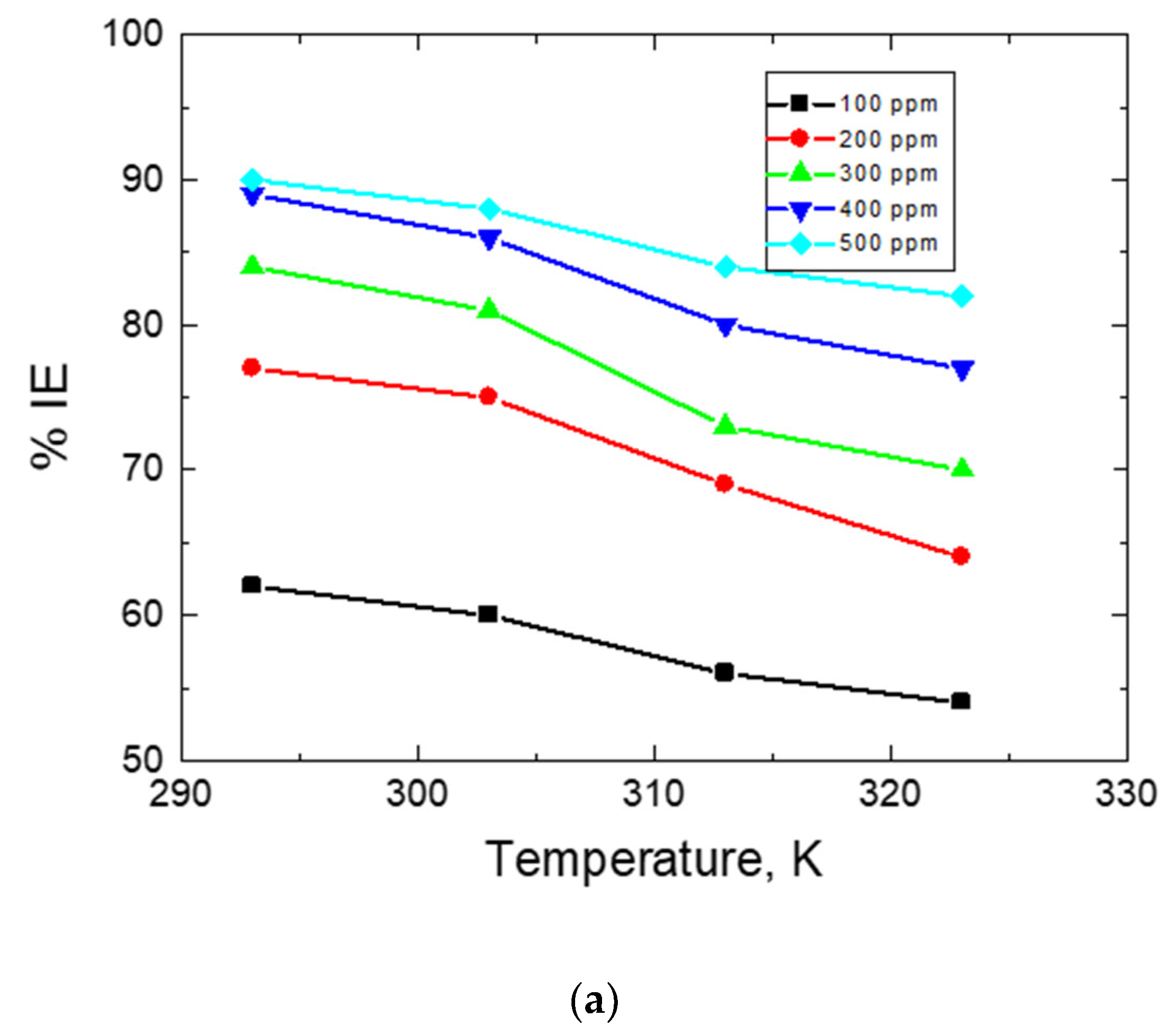
3.4.4. Effect of Temperature
3.4.5. Adsorption Considerations
3.4.6. Thermodynamic Parameters
3.4.7. Kinetic Parameters
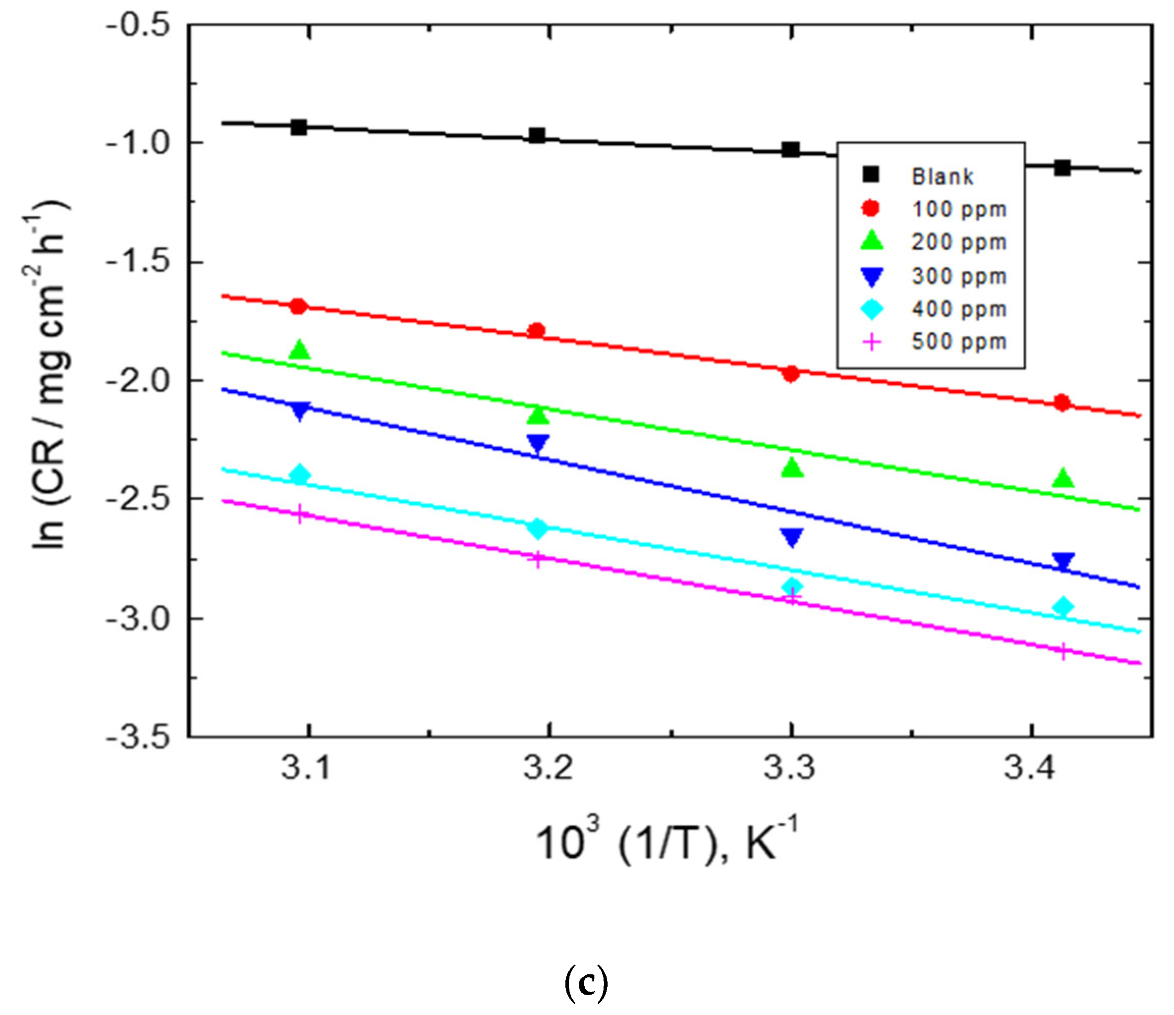
3.4.8. Kinetics of Corrosion
3.5. SEM Investigation
3.6. DFT Study
3.7. MD Simulation Study
3.8. Mechanism of Corrosion and Corrosion Inhibition
4. Conclusions
Author Contributions
Funding
Institutional Review Board Statement
Informed Consent Statement
Data Availability Statement
Acknowledgments
Conflicts of Interest
References
- Toghan, A.; Fawzy, A.; Al Bahir, A.; Alqarni, N.; Sanad, M.M.S.; Khairy, M.; Alakhras, A.I.; Farag, A.A. Computational Foretelling and Experimental Implementation of the Performance of Polyacrylic Acid and Polyacrylamide Polymers as Eco-Friendly Corrosion Inhibitors for Copper in Nitric Acid. Polymers 2022, 14, 4802. [Google Scholar] [CrossRef]
- Fawzy, A.; Abdallah, M.; Zaafarany, I.; Ahmed, S.; Althagafi, I. Thermodynamic, kinetic and mechanistic approach to the corrosion inhibition of carbon steel by new synthesized amino acids-based surfactants as green inhibitors in neutral and alkaline aqueous media. J. Mol. Liq. 2018, 265, 276–291. [Google Scholar] [CrossRef]
- Alqarni, N. Investigation of Expired Ticarcillin and Carbenicillin Drugs for Inhibition of Aluminum Corrosion in Hydrochloric Acid Solution. Int. J. Electrochem. Sci. 2022, 17, 2212113. [Google Scholar] [CrossRef]
- El-Lateef, H.M.A.; Shaaban, S.; Khalaf, M.M.; Toghan, A.; Shalabi, K. Synthesis, experimental, and computational studies of water soluble anthranilic organoselenium compounds as safe corrosion inhibitors for J55 pipeline steel in acidic oilfield formation water. Colloids Surf. A Physicochem. Eng. Asp. 2021, 625, 126894. [Google Scholar] [CrossRef]
- Fawzy, A.; Abdallah, M.; Alfakeer, M.; Ali, H.M. Corrosion inhibition of Sabic iron in different media using synthesized sodium N-dodecyl arginine surfactant. Int. J. Electrochem. Sci. 2019, 14, 2063–2084. [Google Scholar] [CrossRef] [PubMed]
- Farag, A.A.; Mohamed, E.A.; Toghan, A. The new trends in corrosion control using superhydrophobic surfaces: A review. Corros. Rev. 2022. [Google Scholar] [CrossRef]
- El-Lateef, H.M.A.; El-Beltagi, H.S.; Mohamed, M.E.M.; Kandeel, M.; Bakir, E.; Toghan, A.; Shalabi, K.; Tantawy, A.H.; Khalaf, M.M. Novel Natural Surfactant-Based Fatty Acids and Their Corrosion-Inhibitive Characteristics for Carbon Steel-Induced Sweet Corrosion: Detailed Practical and Computational Explorations. Front. Mater. 2022, 9, 29. [Google Scholar] [CrossRef]
- Toghan, A.; Fawzy, A.; Alqarni, N.; Abdelkader, A.; Alakhras, A.I. Inhibition Effects of Citrulline and Glutamine for Mild Steel Corrosion in Sulfuric Acid Environment: Thermodynamic and Kinetic Aspects. Int. J. Electrochem. Sci. 2021, 16, 211118. [Google Scholar] [CrossRef]
- Toghan, A. Electrochemical and Theoretical Examination of Some Imine Compounds as Corrosion Inhibitors for Carbon Steel in Oil Wells Formation Water. Int. J. Electrochem. Sci. 2022, 17, 2212108. [Google Scholar] [CrossRef]
- Hazazi, O.A.; Fawzy, A.; Awad, M.I. Sulfachloropyridazine as an eco-friendly inhibitor for corrosion of mild steel in H2SO4 solution. Chem. Sci. Rev. Lett. 2015, 4, 67–79. [Google Scholar]
- Heikal, M.; Ali, A.; Ibrahim, B.; Toghan, A. Electrochemical and physico-mechanical characterizations of fly ash-composite cement. Constr. Build. Mater. 2020, 243, 118309. [Google Scholar] [CrossRef]
- Bawazeer, T.M.; El Ghamry, H.A.; Farghaly, T.A.; Fawzy, A. Novel 1,3,4 thiadiazolethiosemi-carbazones derivatives and their divalent cobalt complexes: Synthesis, characterization and their efficiencies for acidic corrosion inhibition of carbon steel. J. Inorg. Organomet. Polym. Mater. 2020, 30, 1609–1620. [Google Scholar] [CrossRef]
- Takroni, K.M.; El-Ghamry, H.A.; Fawzy, A. Evaluation of the Catalytic Activities of Some Synthesized Divalent and Trivalent Metal Complexes and Their Inhibition Efficiencies for the Corrosion of Mild Steel in Sulfuric Acid Medium. J. Inorg. Organomet. Polym. Mater. 2019, 29, 1927–1940. [Google Scholar] [CrossRef]
- Hazazi, O.A.; Fawzy, A.; Awad, M.I. Synergistic effect of halides on the corrosion inhibition of mild steel in H2SO4 by a triazole derivative: Kinetics and thermodynamic studies. Int. J. Electrochem. Sci. 2014, 9, 4086–4103. [Google Scholar]
- Abdallah, M.; Al Jahdaly, B.A.; Salem, M.M.; Fawzy, A.; Abdel Fattah, A.A. Pitting corrosion of nickel alloys and stainless steel in chloride solutions and its inhibition using some inorganic compounds. J. Mater. Environ. Sci. 2017, 8, 2599–2607. [Google Scholar]
- Abdallah, M.; Salem, M.M.; Zaafarany, I.A.; Fawzy, A.; Fattah, A.A.A. Corrosion Performance of Stainless Steel and Nickel Alloys in Aqueous Sodium Hydroxide as Revealed from Cyclic Voltammetry and Potentiodynamic Anodic Polarization. Orient. J. Chem. 2017, 33, 2875–2883. [Google Scholar] [CrossRef]
- Ravi Kumar, M.N.V. A review of chitin and chitosan applications. React. Funct. Polym. 2000, 46, 1–27. [Google Scholar] [CrossRef]
- Farag, A.A.; Badr, E.A. Non-ionic surfactant loaded on gel capsules to protect downhole tubes from produced water in acidizing oil wells. Corros. Rev. 2020, 38, 151–164. [Google Scholar] [CrossRef]
- Merzendorfer, H.; Cohen, E. Chitin/Chitosan: Versatile Ecological, Industrial, and Biomedical Applications. In Extracellular Sugar-Based Biopolymers Matrices; Springer: Berlin, Germany, 2019; Volume 12, pp. 541–624. [Google Scholar] [CrossRef]
- Zhao, Z.Y.; Liang, L.; Fan, X.; Yu, Z.; Hotchkiss, A.; Wilk, B.J.; Eliaz, I. The role of modified citrus pectin as an effective chelator of lead in children hospitalized with toxic lead levels. Altern. Ther. Health Med. 2008, 14, 34–38. [Google Scholar]
- Green, M.M.; Blankenhorn, G.; Hart, H. Which starch fraction is water-soluble, amylose or amylopectin? J. Chem. Educ. 1975, 52, 729. [Google Scholar] [CrossRef]
- Toghan, A.; Gouda, M.; Shalabi, K.; El-Lateef, H. Preparation, Characterization, and Evaluation of Macrocrystalline and Nanocrystalline Cellulose as Potential Corrosion Inhibitors for SS316 Alloy during Acid Pickling Process: Experimental and Computational Methods. Polymers 2021, 13, 2275. [Google Scholar] [CrossRef] [PubMed]
- Al-Gamal, A.G.; Farag, A.A.; Elnaggar, E.M.; Kabel, K.I. Comparative impact of doping nano-conducting polymer with carbon and carbon oxide composites in alkyd binder as anti-corrosive coatings. Compos. Interfaces 2018, 25, 959–980. [Google Scholar] [CrossRef]
- Al-Sabagh, A.M.; Abdou, M.I.; Migahed, M.A.; Abd-Elwanees, S.; Fadl, A.M.; Deibac, A. Investigations using potentiodynamic polarization measurements, cure durability, ultra violet immovability and abrasion resistance of polyamine cured ilmenite epoxy coating for oil and gas storage steel tanks in petroleum sector. Egypt. J. Pet. 2018, 27, 415–425. [Google Scholar] [CrossRef]
- Farag, A.A.; Ismail, A.S.; Migahed, M.A. Squid By-product Gelatin Polymer as an Eco-friendly Corrosion Inhibitor for Carbon Steel in 0.5 M H2SO4 Solution: Experimental, Theoretical, and Monte Carlo Simulation Studies. J. Bio-Tribo-Corros. 2019, 6, 16. [Google Scholar] [CrossRef]
- Mohamed, H.A.; Farag, A.A.; Badran, B.M. Corrosion inhibitiob of mild steel using emulsified thiazole adduct in Different binder systems. Eurasian Chem. J. 2008, 10, 67–77. [Google Scholar]
- Shaban, S.M.; a Badr, E.; Shenashen, M.; Farag, A. Fabrication and characterization of encapsulated Gemini cationic surfactant as anticorrosion material for carbon steel protection in down-hole pipelines. Environ. Technol. Innov. 2021, 23, 101603. [Google Scholar] [CrossRef]
- Farag, A. Oil-in-water emulsion of a heterocyclic adduct as a novel inhibitor of API X52 steel corrosion in acidic solution. Corros. Rev. 2018, 36, 575–588. [Google Scholar] [CrossRef]
- Abdallah, M.; Fawzy, A.; Hawsawi, H. Estimation of water-soluble polymeric materials (Poloxamer and Pectin) as corrosion inhibitors for carbon steel in acidic medium. Int. J. Electrochem. Sci. 2020, 15, 8129–8144. [Google Scholar] [CrossRef]
- Fares, M.M.; Maayta, A.; Al-Qudah, M.M. Pectin as promising green corrosion inhibitor of aluminum in hydrochloric acid solution. Corros. Sci. 2012, 60, 112–117. [Google Scholar] [CrossRef]
- Grassino, A.N.; Halambek, J.; Djaković, S.; Brnčić, S.R.; Dent, M.; Grabarić, Z. Utilization of tomato peel waste from canning factory as a potential source for pectin production and application as tin corrosion inhibitor. Food Hydrocoll. 2016, 52, 265–274. [Google Scholar] [CrossRef]
- Abdallah, M.; Fawzy, A.; Hawsawi, H. Maltodextrin and chitosan polymers as inhibitors for the corrosion of carbon steel in 1.0 M hydrochloric acid. Int. J. Electrochem. Sci. 2020, 15, 5650–5663. [Google Scholar] [CrossRef]
- Fawzy, A.; Abdallah, M.; Alfakeer, M.; Altass, H.M.; Althagafi, I.I.; El Ossaily, Y.A. Performance of unprecedented synthesized biosurfactants as green inhibitors for the corrosion of mild steel-37-2 in neutral solutions: A mechanistic approach. Green Chem. Lett. Rev. 2021, 14, 488–499. [Google Scholar] [CrossRef]
- Abdallah, M.; Fawzy, A.; Alfakeer, M.; Altass, H.M. Expired azithromycin and roxithromycin drugs as environmentally friendly inhibitors for mild steel corrosion in H2SO4 solutions. Green Chem. Lett. Rev. 2021, 14, 509–518. [Google Scholar] [CrossRef]
- Li, X.; Deng, S.; Fu, H.; Mu, G. Synergistic inhibition effect of rare earth cerium(IV) ion and 3,4-dihydroxybenzaldehye on the corrosion of cold rolled steel in H2SO4 solution. Corros. Sci. 2009, 51, 2639–2651. [Google Scholar] [CrossRef]
- Fawzy, A.; Farghaly, T.A.; Al Bahir, A.A.; Hameed, A.M.; Alharbi, A.; El-Ossaily, Y.A. Investigation of three synthesized propane bis-oxoindoline derivatives as inhibitors for the corrosion of mild steel in sulfuric acid solutions. J. Mol. Struct. 2020, 1223, 129318. [Google Scholar] [CrossRef]
- Li, X.; Tang, L.; Li, L.; Mu, G.; Liu, G. Synergistic inhibition between o-phenanthroline and chloride ion for steel corrosion in sulphuric acid. Corros. Sci. 2006, 48, 308–321. [Google Scholar] [CrossRef]
- Williams, D.A.; Holifield, P.K.; Looney, J.R.; McDougall, L.A. Inhibited Acid System for Acidizing Wells. U.S. Patent 5,209,859, 11 May 1993. [Google Scholar]
- Liu, Y.; Zhang, B.; Zhang, Y.; Ma, L.; Yang, P. Electrochemical polarization study on crude oil pipeline corrosion by the produced water with high salinity. Eng. Fail. Anal. 2016, 60, 307–315. [Google Scholar] [CrossRef]
- Hsissou, R.; Dagdag, O.; Abbout, S.; Benhiba, F.; Berradi, M.; El Bouchti, M.; Berisha, A.; Hajjaji, N.; Elharfi, A. Novel derivative epoxy resin TGETET as a corrosion inhibition of E24 carbon steel in 1.0 M HCl solution. Experimental and computational (DFT and MD simulations) methods. J. Mol. Liq. 2019, 284, 182–192. [Google Scholar] [CrossRef]
- Farag, A.A.; Mohamed, E.A.; Sayed, G.H.; Anwer, K.E. Experimental/computational assessments of API steel in 6 M H2SO4 medium containing novel pyridine derivatives as corrosion inhibitors. J. Mol. Liq. 2021, 330, 115705. [Google Scholar] [CrossRef]
- Dagdag, O.; Hsissou, R.; El Harfi, A.; Berisha, A.; Safi, Z.; Verma, C.; Ebenso, E.; Touhami, M.E.; El Gouri, M. Fabrication of polymer based epoxy resin as effective anti-corrosive coating for steel: Computational modeling reinforced experimental studies. Surf. Interfaces 2020, 18, 100454. [Google Scholar] [CrossRef]
- Evans, U.R. The Corrosion of Metals; Edward Arnold: London, UK, 1960; p. 898. [Google Scholar]
- Farag, A.A.; Toghan, A.; Mostafa, M.S.; Lan, C.; Ge, G. Environmental Remediation through Catalytic Inhibition of Steel Corrosion by Schiff’s Bases: Electrochemical and Biological Aspects. Catalysts 2022, 12, 838. [Google Scholar] [CrossRef]
- Amin, M.A.; Khaled, K.F. Monitoring corrosion and corrosion control of iron in HCl by non-ionic surfactants of the TRITON-X series – Part I. Tafel polarisation, ICP-AES and EFM studies. Corros. Sci. 2010, 52, 1762. [Google Scholar] [CrossRef]
- Toghan, A.; Dardeer, H.M.; Gadow, H.S.; Elabbasy, H.M. New promising halogenated cyclic imides derivatives as Potential Corrosion Inhibitors for Carbon Steel in Acidic Environment. J. Mol. Liq. 2021, 325, 115136. [Google Scholar] [CrossRef]
- Abdallah, M.; Al Bahir, A.; Altass, H.; Fawzy, A.; El Guesmi, N.; Al-Gorair, A.S.; Benhiba, F.; Warad, I.; Zarrouk, A. Anticorrosion and adsorption performance of expired antibacterial drugs on Sabic iron corrosion in HCl solution: Chemical, electrochemical and theoretical approach. J. Mol. Liq. 2021, 330, 115702. [Google Scholar] [CrossRef]
- Abdallah, M.; Al-Gorair, A.S.; Fawzy, A.; Hawsawi, H.; Hameed, R.S.A. Enhancement of adsorption and anticorrosion performance of two polymeric compounds for the corrosion of SABIC carbon steel in hydrochloric acid. J. Adhes. Sci. Technol. 2021, 36, 35–53. [Google Scholar] [CrossRef]
- Sayed, S.Y.; El-Deab, M.S.; El-Anadouli, B.E.; Ateya, B.G. Synergistic effects of ben- zotriazole and copper ions on the electrochemical impedance spectroscopy and corrosion behavior of iron in sulfuric acid. J. Phys. Chem. B 2003, 107, 5575. [Google Scholar] [CrossRef]
- Manjula, P.; Manonmani, S.; Jayaram, P.; Rajendran, S. Corrosion behaviour of carbon steel in the presence of N-cetyl-N,N,N-trimethylammonium bromide, Zn2+ and calcium gluconate. Anti-Corros. Methods Mater. 2001, 48, 319–324. [Google Scholar] [CrossRef]
- Bjelopavlic, M.; Ralston, J.; Reynolds, G. Adsorption of Monoalkyl Phosphates at the Zircon–Aqueous Solution Interface. J. Coll. Int. Sci. 1998, 208, 183. [Google Scholar] [CrossRef]
- Singh, A.; Ansari, K.; Haque, J.; Dohare, P.; Lgaz, H.; Salghi, R.; Quraishi, M. Effect of electron donating functional groups on corrosion inhibition of mild steel in hydrochloric acid: Experimental and quantum chemical study. J. Taiwan Inst. Chem. Eng. 2018, 82, 233–251. [Google Scholar] [CrossRef]
- Melendres, C.A.; Camillone, N., III; Tipton, T. Laser raman spectroelectrochemical studies of anodic corrosion and film formation on iron in phosphate solutions. Electrochim. Acta 1989, 34, 281–286. [Google Scholar] [CrossRef]
- Toghan, A.; Abo-baker, A.M.; Rageh, H.M.; Abd-Elsabour, M. Green Electrochemical Strategy for One-step Synthesis of New Catechol Derivatives. RSC Adv. 2019, 9, 13145. [Google Scholar] [CrossRef] [PubMed]
- Alfakeer, M.; Abdallah, M.; Fawzy, A. Corrosion inhibition effect of expired ampicillin and flucloxacillin drugs for mild steel in aqueous acidic medium. Int. J. Electrochem. Sci. 2020, 15, 3283–3297. [Google Scholar] [CrossRef]
- Abdallah, M.; Fawzy, A.; Alfakeer, M. Inhibition potentials and adsorption performance of two sulfonylurea antibiotic expired drugs on the corrosion of mild steel in 0.5 M H2SO4. Int. J. Electrochem. Sci. 2020, 15, 10289–10303. [Google Scholar] [CrossRef]
- Christov, M.; Popova, A. Adsorption characteristics of corrosion inhibitors from corrosion rate measurements. Corros. Sci. 2004, 46, 1613–1620. [Google Scholar] [CrossRef]
- Fawzy, A.; Toghan, A. Inhibition Evaluation of Chromotrope Dyes for the Corrosion of Mild Steel in an Acidic Environment: Thermodynamic and Kinetic Aspects. ACS Omega 2021, 6, 4051–4061. [Google Scholar] [CrossRef] [PubMed]
- Shukla, S.K.; Quraishi, M. Cefotaxime sodium: A new and efficient corrosion inhibitor for mild steel in hydrochloric acid solution. Corros. Sci. 2009, 51, 1007–1011. [Google Scholar] [CrossRef]
- Abdallah, M.; Sobhi, M.; Altass, H. Corrosion inhibition of aluminum in hydrochloric acid by pyrazinamide derivatives. J. Mol. Liq. 2016, 223, 1143–1150. [Google Scholar] [CrossRef]
- Shaban, M.M.; Negm, N.; Farag, R.; Fadda, A.; Gomaa, A.E.; Farag, A.; Migahed, M. Anti-corrosion, antiscalant and anti-microbial performance of some synthesized trimeric cationic imidazolium salts in oilfield applications. J. Mol. Liq. 2022, 351, 118610. [Google Scholar] [CrossRef]
- Zhao, T.P.; Mu, G.N. The adsorption and corrosion inhibition of anion surfactants on aluminium surface in hydrochloric acid. Corros. Sci. 1999, 41, 1937–1944. [Google Scholar] [CrossRef]
- Bentiss, F.; Traisnel, M.; Lagrenee, M. The substituted 1,3,4-oxadiazoles: A new class of corrosion inhibitors of mild steel in acidic media. Corros. Sci. 2000, 42, 127–146. [Google Scholar] [CrossRef]
- Durnie, W.; De Marco, R.; Jefferson, A.; Kinsella, B. Development of a Structure-Activity Relationship for Oil Field Corrosion Inhibitors. J. Electrochem. Soc. 1999, 146, 1751–1756. [Google Scholar] [CrossRef]
- ElAchouri, M.; Hajji, M.S.; Salem, M.; Kertit, S.; Aride, J.; Coudert, R.; Essassi, E. Some Nonionic Surfactants as Inhibitors of the Corrosion of Iron in Acid Chloride Solutions. Corrosion 1996, 52, 103–108. [Google Scholar] [CrossRef]
- Xu, B.; Liu, Y.; Yin, X.; Yang, W.; Chen, Y. Experimental and theoretical study of corrosion inhibition of 3-pyridinecarbozalde thiosemicarbazone for mild steel in hydrochloric acid. Corros. Sci. 2013, 74, 206–213. [Google Scholar] [CrossRef]
- Bockris, J.O.M.; Reddy, A.K.N. Modern Electrochemistry, 2; Plenum Press: New York, NY, USA, 1977. [Google Scholar]
- Marsh, J. Advanced Organic Chemistry, 3rd ed.; Wiley: Eastern New Delhi, India, 1988. [Google Scholar]
- Migahed, M.A.; Farag, A.A.; Elsaed, S.M.; Kamal, R.; Abd El-Bary, H. Corrosion inhibition of carbon steel in formation water of oil wells by some schiff base non ionic surfactants. In Proceedings of the EUROCORR 2009, Nice, France, 6–10 September 2009; Available online: http://www.scopus.com/inward/record.url?eid=2-s2.0-77953707807&partnerID=MN8TOARS (accessed on 31 January 2023).
- Noor, E.A. The inhibition of mild steel corrosion in phosphoric acid solutions by some N-heterocyclic compounds in the salt form. Corros. Sci. 2005, 47, 33. [Google Scholar] [CrossRef]
- Aoun, S.B. Highly Efficient Corrosion Inhibition of Carbon Steel in Aggressive Acidic Media with a Pyridazinium-based Ionic Liquid. Int. J. Electrochem. Sci. 2013, 8, 10788–10804. [Google Scholar]
- Fawzy, A.; Farghaly, T.A.; El-Ghamry, H.A.; Bawazeer, T.M. Investigation of the inhibition efficiencies of novel synthesized cobalt complexes of 1,3,4-thiadiazolethiosemicarbazone derivatives for the acidic corrosion of carbon steel. J. Mol. Struct. 2019, 1203, 127447. [Google Scholar] [CrossRef]
- Hashem, H.E.; Farag, A.A.; Mohamed, E.A.; Azmy, E.M. Experimental and theoretical assessment of benzopyran compounds as inhibitors to steel corrosion in aggressive acid solution. J. Mol. Struct. 2022, 1249, 131641. [Google Scholar] [CrossRef]
- Mohamed, E.A.; Hashem, H.E.; Azmy, E.M.; Negm, N.A.; Farag, A.A. Synthesis, structural analysis, and inhibition approach of novel eco-friendly chalcone derivatives on API X65 steel corrosion in acidic media assessment with DFT & MD studies. Environ. Technol. Innov. 2021, 24, 101966. [Google Scholar] [CrossRef]
- Jessima, S.H.M.; Subhashini, S.; Berisha, A.; Oral, A.; Srikandan, S.S. Corrosion mitigation performance of disodium EDTA functionalized chitosan biomacromolecule—Experimental and theoretical approach. Int. J. Biol. Macromol. 2021, 178, 477–491. [Google Scholar] [CrossRef]
- Cao, Z.; Tang, Y.; Cang, H.; Xu, J.; Lu, G.; Jing, W. Novel benzimidazole derivatives as corrosion inhibitors of mild steel in the acidic media. Part II: Theoretical studies. Corros. Sci. 2014, 83, 292–298. [Google Scholar] [CrossRef]
- Olasunkanmi, L.O.; Obot, I.B.; Kabanda, M.M.; Ebenso, E.E. Some Quinoxalin-6-yl Derivatives as Corrosion Inhibitors for Mild Steel in Hydrochloric Acid: Experimental and Theoretical Studies. J. Phys. Chem. C 2015, 119, 16004–16019. [Google Scholar] [CrossRef]
- Farag, A.A.; Eid, A.M.; Shaban, M.M.; Mohamed, E.A.; Raju, G. Integrated modeling, surface, electrochemical, and biocidal investigations of novel benzothiazoles as corrosion inhibitors for shale formation well stimulation. J. Mol. Liq. 2021, 336, 116315. [Google Scholar] [CrossRef]
- Shahraki, M.; Dehdab, M.; Elmi, S. Theoretical studies on the corrosion inhibition performance of three amine derivatives on carbon steel: Molecular dynamics simulation and density functional theory approaches. J. Taiwan Inst. Chem. Eng. 2016, 62, 313–321. [Google Scholar] [CrossRef]
- Haque, J.; Srivastava, V.; Chauhan, D.S.; Lgaz, H.; Quraishi, M.A. Microwave-Induced Synthesis of Chitosan Schiff Bases and Their Application as Novel and Green Corrosion Inhibitors: Experimental and Theoretical Approach. ACS Omega 2018, 3, 5654–5668. [Google Scholar] [CrossRef] [PubMed]
- Farag, A.A.; Abdallah, H.E.; Badr, E.A.; Mohamed, E.A.; Ali, A.I.; El-Etre, A. The inhibition performance of morpholinium derivatives on corrosion behavior of carbon steel in the acidized formation water: Theoretical, experimental and biocidal evaluations. J. Mol. Liq. 2021, 341, 117348. [Google Scholar] [CrossRef]
- Verma, C.; Quraishi, M.A.; Kluza, K.; Makowska-Janusik, M.; Olasunkanmi, L.O.; Ebenso, E.E. Corrosion inhibition of mild steel in 1M HCl by D-glucose derivatives of dihydropyrido [2,3-d:6,5-d′] dipyrimidine-2, 4, 6, 8(1H,3H, 5H,7H)-tetraone. Sci. Rep. 2017, 7, srep44432. [Google Scholar] [CrossRef]
- Kadhim, A.; Al-Okbi, A.K.; Jamil, D.M.; Qussay, A.; Al-Amiery, A.A.; Gaaz, T.S.; Kadhum, A.A.H.; Mohamad, A.B.; Nassir, M.H. Experimental and theoretical studies of benzoxazines corrosion inhibitors. Results Phys. 2017, 7, 4013–4019. [Google Scholar] [CrossRef]
- Farag, A.A.; Ismail, A.S.; Migahed, M. Inhibition of carbon steel corrosion in acidic solution using some newly polyester derivatives. J. Mol. Liq. 2015, 211, 915–923. [Google Scholar] [CrossRef]
- Huong, D.Q.; Duong, T.; Nam, P.C. Effect of the Structure and Temperature on Corrosion Inhibition of Thiourea Derivatives in 1.0 M HCl Solution. ACS Omega 2019, 4, 14478–14489. [Google Scholar] [CrossRef] [PubMed]
- Mulle, U. Inorganic Structure Chemistry; Wiley: Hoboken, NJ, USA, 2006; Volume 1, pp. 73–81. [Google Scholar]
- Trabanelli, G.; Carassiti, V. Advances in Corrosion Science and Technology; Plenum Press: New York, NY, USA, 1970; Volume 1, p. 147. [Google Scholar]































| Inhibitor | Inhibitor Concn. (ppm) | -Ecorr (mV(SCE)) | βa (mV/dec.) | -βc (mV/dec.) | icorr (µA/cm2) | Rp (ohm cm2) | % IE | θ |
|---|---|---|---|---|---|---|---|---|
| 0 | 464 | 98 | 103 | 344 | 63 | -- | -- | |
| Chi | 100 | 465 | 76 | 79 | 127 | 132 | 63 | 0.63 |
| 200 | 463 | 79 | 88 | 86 | 263 | 75 | 0.75 | |
| 300 | 461 | 66 | 78 | 55 | 324 | 84 | 0.84 | |
| 400 | 458 | 76 | 76 | 38 | 486 | 89 | 0.89 | |
| 500 | 455 | 74 | 77 | 28 | 564 | 92 | 0.92 | |
| Pec | 100 | 469 | 73 | 77 | 158 | 103 | 54 | 0.54 |
| 200 | 452 | 76 | 72 | 107 | 172 | 69 | 0.69 | |
| 300 | 462 | 78 | 64 | 72 | 224 | 79 | 0.79 | |
| 400 | 472 | 79 | 63 | 50 | 307 | 85 | 0.85 | |
| 500 | 470 | 77 | 65 | 41 | 388 | 88 | 0.88 | |
| A-Pec | 100 | 461 | 96 | 82 | 151 | 127 | 56 | 0.56 |
| 200 | 455 | 95 | 79 | 93 | 237 | 73 | 0.73 | |
| 300 | 452 | 85 | 78 | 58 | 305 | 83 | 0.83 | |
| 400 | 449 | 93 | 75 | 41 | 456 | 88 | 0.88 | |
| 500 | 448 | 90 | 76 | 34 | 527 | 90 | 0.90 |
| Inhibitor | Inhibitor Concn. (ppm) | Rs (ohm cm2) | Rct (ohm cm2) | CPE (µF/cm2) | % IE | θ |
|---|---|---|---|---|---|---|
| 0 | 1.28 | 51 | 312 | -- | -- | |
| Chi | 100 | 2.03 | 118 | 149 | 57 | 0.57 |
| 200 | 4.12 | 243 | 82 | 79 | 0.79 | |
| 300 | 4.62 | 418 | 54 | 88 | 0.88 | |
| 400 | 7.34 | 595 | 44 | 91 | 0.91 | |
| 500 | 3.20 | 756 | 39 | 93 | 0.93 | |
| Pec | 100 | 1.92 | 122 | 130 | 58 | 0.58 |
| 200 | 2.74 | 198 | 81 | 74 | 0.74 | |
| 300 | 3.91 | 276 | 61 | 82 | 0.82 | |
| 400 | 6.34 | 412 | 57 | 88 | 0.88 | |
| 500 | 6.81 | 595 | 51 | 91 | 0.91 | |
| A-Pec | 100 | 2.27 | 128 | 124 | 60 | 0.60 |
| 200 | 4.62 | 213 | 93 | 76 | 0.76 | |
| 300 | 3.70 | 355 | 56 | 86 | 0.86 | |
| 400 | 9.33 | 543 | 45 | 91 | 0.91 | |
| 500 | 6.05 | 696 | 41 | 93 | 0.93 |
| [HCl], M | 0.10 | 0.25 | 0.50 | 1.00 | 2.00 |
|---|---|---|---|---|---|
| CR (mpy) | 118 | 142 | 177 | 199 | 247 |
| Inhibitor | Inhibitor Concn. (ppm) | Temperature (K) | |||||||||||
|---|---|---|---|---|---|---|---|---|---|---|---|---|---|
| 293 | 303 | 313 | 323 | ||||||||||
| CR | % IE | θ | CR | % IE | θ | CR | % IE | θ | CR | % IE | θ | ||
| 0 | 145 | -- | -- | 157 | -- | -- | 166 | -- | -- | 172 | -- | -- | |
| Chi | 100 | 55 | 62 | 0.62 | 64 | 60 | 0.60 | 73 | 56 | 0.56 | 81 | 54 | 0.54 |
| 200 | 33 | 77 | 0.77 | 39 | 75 | 0.75 | 51 | 69 | 0.69 | 62 | 64 | 0.64 | |
| 300 | 23 | 84 | 0.84 | 30 | 81 | 0.81 | 45 | 73 | 0.73 | 52 | 70 | 0.70 | |
| 400 | 16 | 89 | 0.89 | 22 | 86 | 0.86 | 33 | 80 | 0.80 | 40 | 77 | 0.77 | |
| 500 | 15 | 90 | 0.90 | 19 | 88 | 0.88 | 27 | 84 | 0.84 | 31 | 82 | 0.82 | |
| Pec | 100 | 67 | 54 | 0.54 | 74 | 53 | 0.53 | 88 | 47 | 0.47 | 96 | 44 | 0.44 |
| 200 | 44 | 70 | 0.70 | 53 | 66 | 0.66 | 61 | 63 | 0.63 | 72 | 58 | 0.58 | |
| 300 | 28 | 81 | 0.81 | 39 | 75 | 0.75 | 48 | 71 | 0.71 | 58 | 66 | 0.66 | |
| 400 | 22 | 85 | 0.85 | 28 | 82 | 0.82 | 40 | 76 | 0.76 | 45 | 74 | 0.74 | |
| 500 | 20 | 86 | 0.86 | 25 | 84 | 0.84 | 33 | 80 | 0.80 | 40 | 77 | 0.77 | |
| A-Pec | 100 | 54 | 63 | 0.63 | 61 | 61 | 0.61 | 73 | 56 | 0.56 | 81 | 53 | 0.53 |
| 200 | 40 | 74 | 0.74 | 41 | 74 | 0.74 | 51 | 71 | 0.71 | 67 | 61 | 0.61 | |
| 300 | 28 | 81 | 0.81 | 31 | 80 | 0.80 | 46 | 78 | 0.78 | 53 | 69 | 0.69 | |
| 400 | 23 | 84 | 0.84 | 25 | 84 | 0.84 | 32 | 81 | 0.81 | 40 | 77 | 0.77 | |
| 500 | 19 | 87 | 0.87 | 24 | 85 | 0.85 | 28 | 83 | 0.83 | 34 | 80 | 0.80 | |
| Inhibitor | Temp. (K) | 10−3 Kads l mol−1 | ∆Goads kJ mol−1 | ∆Hoads kJ mol−1 | ∆Soads J mol−1 K−1 |
|---|---|---|---|---|---|
| Chi | 293 | 3.22 | −29.06 | −9.97 | 133.21 |
| 303 | 2.91 | −29.78 | 131.19 | ||
| 313 | 2.54 | −30.42 | 129.04 | ||
| 323 | 2.20 | −31.02 | 126.90 | ||
| Pec | 293 | 2.28 | −28.40 | −10.47 | 132.66 |
| 303 | 1.99 | −29.04 | 130.40 | ||
| 313 | 1.76 | −29.67 | 128.23 | ||
| 323 | 1.53 | −30.23 | 126.01 | ||
| A-Pec | 293 | 2.70 | −29.03 | −8.98 | 129.73 |
| 303 | 2.38 | −29.65 | 127.49 | ||
| 313 | 2.08 | −30.27 | 125.40 | ||
| 323 | 1.91 | −31.09 | 124.06 |
| Inhibitor | Inhibitors Concn. (mg l−1) | Ea* kJ mol−1 | ∆H* kJ mol−1 | ∆S* J mol−1 K−1 |
|---|---|---|---|---|
| 0 | 4.49 | 1.93 | −49.88 | |
| Chi | 100 | 10.23 | 7.65 | −38.24 |
| 200 | 16.96 | 6.69 | −19.95 | |
| 300 | 22.45 | 19.95 | −3.66 | |
| 400 | 24.94 | 22.28 | −1.41 | |
| 500 | 19.87 | 17.37 | −15.96 | |
| Pec | 100 | 9.89 | 7.32 | −38.24 |
| 200 | 12.72 | 10.16 | −31.59 | |
| 300 | 18.87 | 16.29 | −14.13 | |
| 400 | 19.70 | 17.13 | −13.30 | |
| 500 | 18.54 | 15.96 | −18.29 | |
| A-Pec | 100 | 10.97 | 8.40 | −35.75 |
| 200 | 14.38 | 11.81 | −27.43 | |
| 300 | 18.12 | 15.54 | −16.62 | |
| 400 | 14.96 | 12.31 | −29.93 | |
| 500 | 14.84 | 12.39 | −30.76 |
| Inhibitors Concn. (mg l−1) | 103 k1, h−1 | t1/2, h |
|---|---|---|
| 0 (Blank) | 89 | 7.79 |
| 100 | 73 | 9.49 |
| 200 | 66 | 10.50 |
| 300 | 57 | 12.16 |
| 400 | 51 | 13.59 |
| 500 | 49 | 14.14 |
| Parameters | Chi | Pec | A-Pec |
|---|---|---|---|
| EHOMO (ev) | −0.140 | −0.164 | −0.153 |
| ELUMO (ev) | −0.134 | −0.135 | −0.108 |
| Energy gap (ev) | 0.006 | 0.029 | 0.046 |
| Ionization potential (I) | 0.140 | 0.164 | 0.153 |
| Electron affinity (A) | 0.134 | 0.135 | 0.108 |
| Electronegativity (χ) | 0.137 | 0.149 | 0.130 |
| Global hardness (η) | 0.003 | 0.014 | 0.023 |
| Global softness (σ) | 335.008 | 69.686 | 43.802 |
| ΔN | 784.451 | 162.736 | 102.705 |
| Dipole moment (D) | 14.283 | 6.297 | 8.088 |
Disclaimer/Publisher’s Note: The statements, opinions and data contained in all publications are solely those of the individual author(s) and contributor(s) and not of MDPI and/or the editor(s). MDPI and/or the editor(s) disclaim responsibility for any injury to people or property resulting from any ideas, methods, instructions or products referred to in the content. |
© 2023 by the authors. Licensee MDPI, Basel, Switzerland. This article is an open access article distributed under the terms and conditions of the Creative Commons Attribution (CC BY) license (https://creativecommons.org/licenses/by/4.0/).
Share and Cite
Fawzy, A.; Toghan, A.; Alqarni, N.; Morad, M.; Zaki, M.E.A.; Sanad, M.M.S.; Alakhras, A.I.; Farag, A.A. Experimental and Computational Exploration of Chitin, Pectin, and Amylopectin Polymers as Efficient Eco-Friendly Corrosion Inhibitors for Mild Steel in an Acidic Environment: Kinetic, Thermodynamic, and Mechanistic Aspects. Polymers 2023, 15, 891. https://doi.org/10.3390/polym15040891
Fawzy A, Toghan A, Alqarni N, Morad M, Zaki MEA, Sanad MMS, Alakhras AI, Farag AA. Experimental and Computational Exploration of Chitin, Pectin, and Amylopectin Polymers as Efficient Eco-Friendly Corrosion Inhibitors for Mild Steel in an Acidic Environment: Kinetic, Thermodynamic, and Mechanistic Aspects. Polymers. 2023; 15(4):891. https://doi.org/10.3390/polym15040891
Chicago/Turabian StyleFawzy, Ahmed, Arafat Toghan, Nada Alqarni, Moataz Morad, Magdi E. A. Zaki, Moustafa M. S. Sanad, Abbas I. Alakhras, and Ahmed A. Farag. 2023. "Experimental and Computational Exploration of Chitin, Pectin, and Amylopectin Polymers as Efficient Eco-Friendly Corrosion Inhibitors for Mild Steel in an Acidic Environment: Kinetic, Thermodynamic, and Mechanistic Aspects" Polymers 15, no. 4: 891. https://doi.org/10.3390/polym15040891
APA StyleFawzy, A., Toghan, A., Alqarni, N., Morad, M., Zaki, M. E. A., Sanad, M. M. S., Alakhras, A. I., & Farag, A. A. (2023). Experimental and Computational Exploration of Chitin, Pectin, and Amylopectin Polymers as Efficient Eco-Friendly Corrosion Inhibitors for Mild Steel in an Acidic Environment: Kinetic, Thermodynamic, and Mechanistic Aspects. Polymers, 15(4), 891. https://doi.org/10.3390/polym15040891

