Polyimide-Derived Supramolecular Systems Containing Various Amounts of Azochromophore for Optical Storage Uses
Abstract
1. Introduction
2. Materials and Methods
2.1. Materials
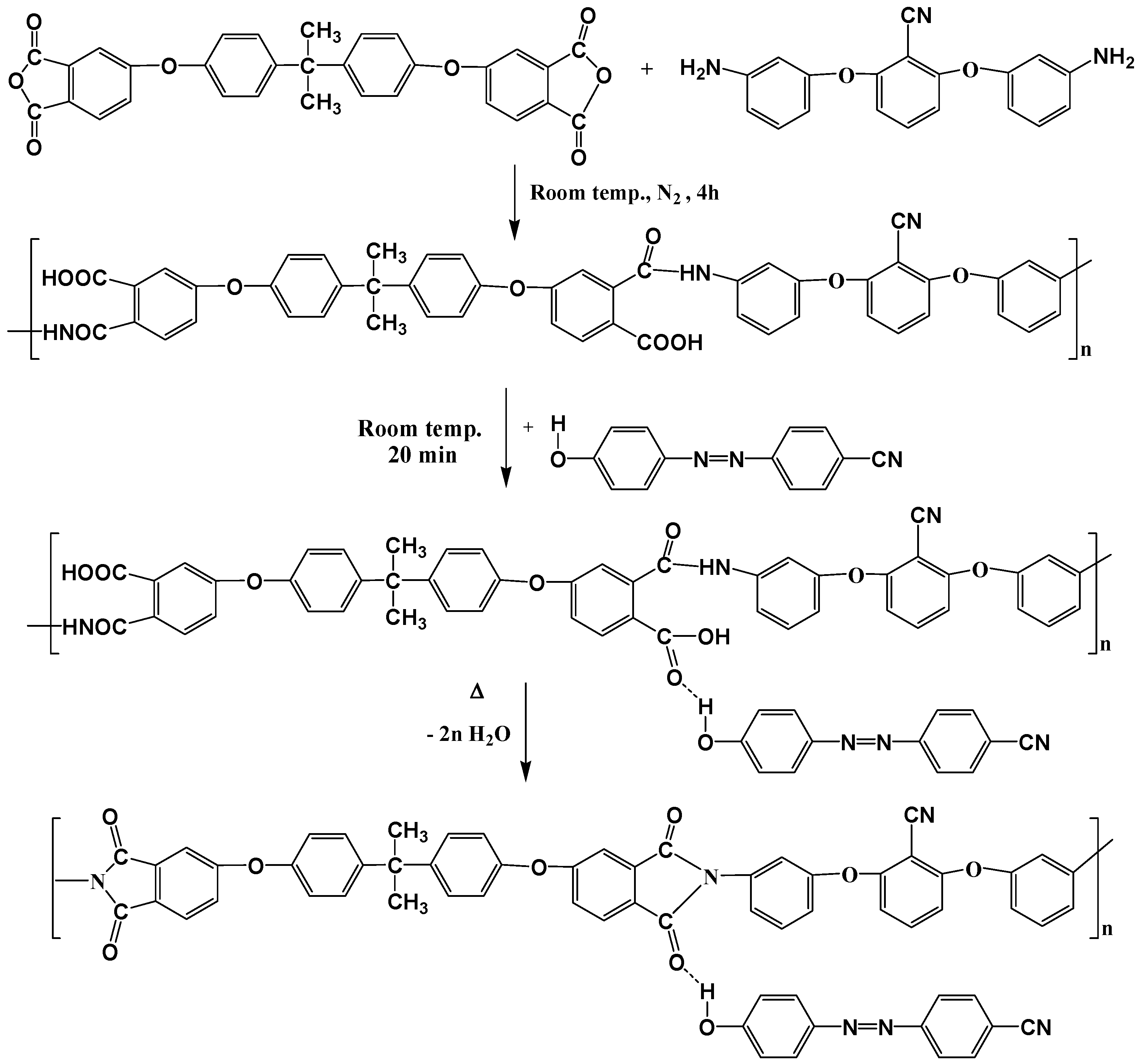
2.2. Polyamidic Acid (PAA) Synthesis
2.3. Polyimide-Based Supramolecular System
2.4. Laser Exposure
2.5. Characterization
3. Results and Discussion
3.1. Molecular Modeling
3.2. FTIR Investigation
3.3. Thermal Properties
3.4. Optical Microscopy
3.5. Optical Properties
3.5.1. Illuminance and Color Properties
3.5.2. Light Dispersion and Related Parameters
3.5.3. Birefringence
4. Conclusions
Supplementary Materials
Author Contributions
Funding
Institutional Review Board Statement
Data Availability Statement
Acknowledgments
Conflicts of Interest
References
- Sezer Hicyilmaz, A.; Celik Bedeloglu, A. Applications of polyimide coatings: A review. SN Appl. Sci. 2021, 3, 363. [Google Scholar] [CrossRef]
- Albu, R.M.; Hulubei, C.; Stoica, I.; Barzic, A.I. Semi-alicyclic polyimides as potential membrane oxygenators: Rheological implications on film processing, morphology and blood compatibility. Express Polym. Lett. 2019, 13, 349–364. [Google Scholar] [CrossRef]
- Ma, P.; Dai, C.; Wang, H.; Li, Z.; Liu, H.; Li, W.; Yang, C. A review on high temperature resistant polyimide films: Heterocyclic structures and nanocomposites. Compos. Commun. 2019, 16, 84–93. [Google Scholar] [CrossRef]
- Diaham, S. Polyimide in Electronics: Applications and Processability Overview. In Polyimide for Electronic and Electrical Engineering Applications; IntechOpen: London, UK, 2021. [Google Scholar]
- Barzic, A.I.; Stoica, I.; Popovici, D.; Ursu, C.; Gradinaru, L.M.; Hulubei, C. Physico-chemical insights on tuning the morphology of a photosensitive polyimide by UV laser irradiation. Mater. Plast. 2013, 50, 88–92. [Google Scholar]
- Stoica, I.; Barzic, A.I.; Hulubei, C. Fabrication of nanochannels on polyimide films using dynamic plowing lithography. Appl. Surf. Sci. 2017, 426, 307–314. [Google Scholar] [CrossRef]
- Wang, H.-Y.; Liu, T.-J.; Liu, S.-F.; Jeng, J.-L.; Guan, C.-E. Thermal and mechanical properties of stretched recyclable polyimide film. J. Appl. Polym. Sci. 2011, 122, 210–219. [Google Scholar] [CrossRef]
- McKeen, L.W. Polyimides. In Film Properties of Plastics and Elastomers; Elsevier: Amsterdam, The Netherlands, 2017; pp. 147–185. [Google Scholar]
- Wang, Y.; Tao, L.; Wang, T.; Wang, Q. Influence of monomer conformation on the mechanical and tribological properties of thermosetting polyimides. RSC Adv. 2015, 5, 101533–101543. [Google Scholar] [CrossRef]
- Sava, I.; Bruma, M.; Ronova, I.A. The influence of conformational parameters on some physical properties of polyimides containing naphthalene units. High Perform. Polym. 2015, 27, 583–589. [Google Scholar] [CrossRef]
- Damaceanu, M.-D. Progress on Polymers Containing Imide Rings for Advanced Technologies: A Contribution from ICMPP of the Romanian Academy. Chemistry 2022, 4, 1339–1359. [Google Scholar] [CrossRef]
- Lin, B.; Xu, X. Preparation and Properties of Cyano-Containing Polyimide Films Based on 2,6-Bis(4-aminophenoxy)- benzonitrile. Polym. Bull. 2007, 59, 243–250. [Google Scholar] [CrossRef]
- Zhang, P.; Lan, Z.; Wei, J.; Yu, Y. Photodeformable Azobenzene-Containing Polyimide with Flexible Linkers and Molecular Alignment. ACS Macro Lett. 2021, 10, 469–475. [Google Scholar] [CrossRef] [PubMed]
- Babusca, D.; Morosanu, A.C.; Benchea, A.C.; Dimitriu, D.G.; Dorohoi, D.O. Spectral and quantum mechanical study of some azo-derivatives. J. Mol. Liq. 2018, 269, 940–946. [Google Scholar] [CrossRef]
- Ionita, I.; Albu, A.-M.; Rădulescu, C.; Dulama, I.D.; Gavrila, I. The effects of UV irradiation in azo-derivatives. Proc. SPIE 2012, 8411, 84111J. [Google Scholar]
- Sava, I.; Burescu, A.; Stoica, I.; Musteata, V.; Cristea, M.; Mihaila, I.; Pohoata, V.; Topala, I. Properties of some azo-copolyimide thin films used in the formation of photoinduced surface relief gratings. RSC Adv. 2015, 5, 10125–10133. [Google Scholar] [CrossRef]
- Bujak, K.; Kozanecka-Szmigiel, A.; Schab-Balcerzak, E.; Konieczkowska, J. Azobenzene Functionalized “T-Type” Poly(Amide Imide)s vs. Guest-Host Systems—A Comparative Study of Structure-Property Relations. Materials 2020, 13, 1912. [Google Scholar] [CrossRef]
- Hagen, R.; Bieringer, T. Photoaddressable Polymers for Optical Data Storage. Adv. Mater. 2001, 13, 1805–1810. [Google Scholar] [CrossRef]
- Kozanecka-Szmigiel, A.; Switkowski, K.; Schab-Balcerzak, E.; Grabiec, E. Two-photon-induced birefringence in azo-dye bearing polyimide; the birefringence changes versus the writing power. Appl. Phys. B 2011, 105, 851–855. [Google Scholar] [CrossRef]
- Liu, Y.; Xu, B.; Sun, S.; Wei, J.; Wu, L.; Yu, Y. Humidity- and Photo-Induced Mechanical Actuation of Cross-Linked Liquid Crystal Polymers. Adv. Mater. 2017, 29, 1604792. [Google Scholar] [CrossRef]
- Wie, J.J.; Chatterjee, S.; Wang, D.H.; Tan, L.-S.; Ravi Shankar, M.; White, T.J. Azobenzene-functionalized polyimides as wireless actuators. Polymer 2014, 55, 5915–5923. [Google Scholar] [CrossRef]
- Si, J.; Mitsuyu, T.; Ye, P.; Shen, Y.; Hirao, K. Optical poling and its application in optical storage of a polyimide film with high glass transition temperature. Appl. Phys. Lett. 1998, 72, 762–764. [Google Scholar] [CrossRef]
- Meng, X.; Natansohn, A.; Rochon, P. Azo polymers for reversible optical storage: 13. Photoorientation of rigid side groups containing two azo bonds. Polymer 1997, 38, 2677–2682. [Google Scholar] [CrossRef]
- Stracke, A.; Wendorff, J.H.; Goldmann, D.; Janietz, D.; Stiller, B. Gain Effects in Optical Storage: Thermal Induction of a Surface Relief Grating in a Smectic Liquid Crystal. Adv. Mater. 2000, 12, 282–285. [Google Scholar] [CrossRef]
- Georgiev, A.; Karamancheva, I.; Dimov, D.; Spassova, E.; Assa, J.; Danev, G. Polyimide coatings containing azo-chromophores as structural units. J. Phys. Conf. Ser. 2008, 113, 012032. [Google Scholar] [CrossRef]
- Konieczkowska, J.; Kozanecka-Szmigiel, A.; Janeczek, H.; Małecki, J.; Wójtowicz, M.; Schab-Balcerzak, E. No effect of the hydrogen bonds on the physicochemical properties of the guest-host poly(amide imide) azosystems and efficiency of chromophore orientation. Dye. Pigment. 2018, 156, 250–259. [Google Scholar] [CrossRef]
- Schab-Balcerzak, E.; Konieczkowska, J.; Siwy, M.; Sobolewska, A.; Wojtowicz, M.; Wiacek, M. Comparative studies of polyimides with covalently bonded azo-dyes with their supramolecular analoges: Thermo-optical and photoinduced properties. Opt. Mater. 2014, 36, 892–902. [Google Scholar] [CrossRef]
- Tan, S.; Sha, Y.; Zhu, T.; Rahman, M.A.; Tang, C. Photoresponsive supramolecular polymers based on quadruple hydrogen-bonding and a photochromic azobenzene motif. Polym. Chem. 2018, 9, 5395–5401. [Google Scholar] [CrossRef]
- Sava, I.; Stoica, I.; Topala, I.; Mihaila, I.; Barzic, A.I. Photodesign and fabrication of surface relief gratings on films of polyimide-based supramolecular systems obtained using host-guest strategy. Polymer 2022, 249, 124829. [Google Scholar] [CrossRef]
- Stoica, I.; Epure, E.-L.; Barzic, A.I.; Mihaila, I.; Constantin, C.-P.; Sava, I. The Impact of the Azo-Chromophore Sort on the Features of the Supramolecular Azopolyimide Films Desired to Be Used as Substrates for Flexible Electronics. Int. J. Mol. Sci. 2022, 23, 15223. [Google Scholar] [CrossRef]
- Bacosca, I.; Hamciuc, E.; Bruma, M.; Ronova, I.A. Study of Aromatic Polyimides Containing Cyano Groups. High Perform. Polym. 2010, 22, 703–714. [Google Scholar] [CrossRef]
- Bacoşcǎ, I.; Hamciuc, E.; Brumǎ, M.; Szesztay, M. Modified aromatic polyimides with flexible groups. Rev. Roum. Chim. 2009, 54, 1023–1029. [Google Scholar]
- Wirth, D.; Heath, J. Aminophenoxy Benzonitriles. U.S. Patent 3763211, 2 October 1973. [Google Scholar]
- Bruma, M.; Schulz, B.; Mercer, F.W. Polyamide Copolymers Containing Hexafluoroisopropylene Groups. J. Macromol. Sci. Part A 1995, 32, 259–286. [Google Scholar] [CrossRef]
- Saxena, A.; Prabhakaran, P.; Rao, V.L.; Ninan, K. Synthesis and characterization of polyamides and poly(amide-imide)s derived from 2,6-bis(3-aminophenoxy)benzonitrile or 2,6-bis(4-aminophenoxy)benzonitrile. Polym. Int. 2005, 54, 544–552. [Google Scholar] [CrossRef]
- Sava, I.; Köpnick, T. Synthesis and characterization of new diamines containing side substituted azobenzene groups. Rev. Roum. Chim. 2014, 59, 585–592. [Google Scholar]
- Ehm, C.; Vittoria, A.; Goryunov, G.P.; Izmer, V.V.; Kononovich, D.S.; Samsonov, O.V.; Di Girolamo, R.; Budzelaar, P.H.M.; Voskoboynikov, A.Z.; Busico, V.; et al. An Integrated High Throughput Experimentation/Predictive QSAR Modeling Approach to ansa-Zirconocene Catalysts for Isotactic Polypropylene. Polymers 2020, 12, 1005. [Google Scholar] [CrossRef]
- Ioan, S.; Hulubei, C.; Popovici, D.; Musteata, V.E. Origin of dielectric response and conductivity of some alicyclic polyimides. Polym. Eng. Sci. 2013, 53, 1430–1447. [Google Scholar] [CrossRef]
- das Neves, U.M.; dos Santos, D.S., Jr.; Giacometti, J.A.; Zílio, S.C.; Misoguti, L.; Balogh, D.T.; de Oliveira, O.N., Jr.; Mendonça, C.R. Optical storage properties in cast films of an azopolymer. Mater. Res. 2003, 6, 409–414. [Google Scholar] [CrossRef]
- Bicerano, J. Prediction of Polymers, 3rd ed.; Revised and Expanded; CRC Press: Boca Raton, FL, USA, 2002; ISBN 0824708210. [Google Scholar]
- Oliveira, O.N.; dos Santos, D.S.; Balogh, D.T.; Zucolotto, V.; Mendonça, C.R. Optical storage and surface-relief gratings in azobenzene-containing nanostructured films. Adv. Colloid Interface Sci. 2005, 116, 179–192. [Google Scholar] [CrossRef]
- Sharma, L.; Matsuoka, T.; Kimura, T.; Matsuda, H. Investigation into the surface relief grating mechanism via XPS in new azobenzene based optical material. Polym. Adv. Technol. 2002, 13, 481–486. [Google Scholar] [CrossRef]
- Ohta, N.; Robertson, A.R.; Robertson, A. Colorimetry: Fundamentals and Applications, 1st ed.; Wiley: Chichester, UK, 2005; Volume 30, ISBN 3175723993. [Google Scholar]
- Abdelrazek, E.M.; Abdelghany, A.M.; Mekhael, M.S.; Algamal, A.H. Structural and optical properties of azo dye doped polyether sulfone. Mater. Sci.—An Indian J. 2014, 10, 257–268. [Google Scholar]
- Cimrová, V.; Neher, D.; Kostromine, S.; Bieringer, T. Optical Anisotropy in Films of Photoaddressable Polymers. Macromolecules 1999, 32, 8496–8503. [Google Scholar] [CrossRef]
- Borah, D.J.; Mostako, A.T.T. Investigation on dispersion parameters of Molybdenum Oxide thin films via Wemple–DiDomenico (WDD) single oscillator model. Appl. Phys. A 2020, 126, 818. [Google Scholar] [CrossRef]
- Yakuphanoglu, F.; Cukurovali, A.; Yilmaz, İ. Single-oscillator model and determination of optical constants of some optical thin film materials. Phys. B Condens. Matter 2004, 353, 210–216. [Google Scholar] [CrossRef]
- Tanaka, K. Optical properties and photoinduced changes in amorphous AsS films. Thin Solid Films 1980, 66, 271–279. [Google Scholar] [CrossRef]
- Albu, R.M.; Stoica, I.; Barzic, A.I.; Postolache, M.; Angheluta, M.-D.; Dorohoi, D.O. Effect of mechanical treatments on orientation behavior and spectral properties of azoderivative dyes incorporated in poly(vinyl alcohol) films. Polym. Eng. Sci. 2021, 61, 2453–2465. [Google Scholar] [CrossRef]













| Sample Code | Polyamidic Acid Mol (g) | Azo Monomer (Azo CN) Mol (g) |
|---|---|---|
| SPIN25 | 0.1806 × 10−4 (0.151) | 0.045 × 10−4 (0.01007) |
| SPIN50 | 0.1806 × 10−4 (0.151) | 0.09 × 10−4 (0.020137) |
| SPIN75 | 0.1806 × 10−4 (0.151) | 0.135 × 10−4 (0.0302) |
| SPIN100 | 0.1806 × 10−4 (0.151) | 0.18 × 10−4 (0.04027) |
| Sample Code | Vw (Å3) | P0 (Å3) |
|---|---|---|
| SPIN25 | 2923.65 | 375.15 |
| SPIN50 | 3147.13 | 402.11 |
| SPIN75 | 3358.33 | 426.95 |
| SPIN100 | 3700.15 | 452.36 |
| Sample Code | Tg (°C) | αv (1/°C) |
|---|---|---|
| SPIN0 | 190.84 | 4.75 × 10−4 |
| SPIN25 | 176.60 | 5.08 × 10−4 |
| SPIN50 | 171.30 | 5.21 × 10−4 |
| SPIN75 | 164.68 | 5.38 × 10−4 |
| SPIN100 | 163.91 | 5.41 × 10−4 |
| Sample Code | Ed (eV) | E0 (eV) | Eg (eV) | n0 | ζ (1) (e.s.u.) | (e.s.u.) | nNL, (e.s.u.) |
|---|---|---|---|---|---|---|---|
| SPIN25 | 12.66 | 7.83 | 3.92 | 2.272 | 0.1287 | 4.6609 | 7.7314 |
| SPIN50 | 12.09 | 7.52 | 3.76 | 2.268 | 0.1280 | 4.5564 | 7.5700 |
| SPIN75 | 11.69 | 7.31 | 3.65 | 2.265 | 0.1273 | 4.4684 | 7.4216 |
| SPIN100 | 11.38 | 7.12 | 3.56 | 2.264 | 0.1272 | 4.4508 | 7.4066 |
| SPIN25-L | 10.57 | 6.65 | 3.33 | 2.261 | 0.1266 | 4.3531 | 7.2553 |
| SPIN50-L | 10.21 | 6.45 | 3.23 | 2.258 | 0.1260 | 4.2820 | 7.1451 |
| SPIN75-L | 10.08 | 6.38 | 3.19 | 2.257 | 0.1258 | 4.2496 | 7.0947 |
| SPIN100-L | 9.85 | 6.25 | 3.12 | 2.256 | 0.1255 | 4.2108 | 7.0344 |
Disclaimer/Publisher’s Note: The statements, opinions and data contained in all publications are solely those of the individual author(s) and contributor(s) and not of MDPI and/or the editor(s). MDPI and/or the editor(s) disclaim responsibility for any injury to people or property resulting from any ideas, methods, instructions or products referred to in the content. |
© 2023 by the authors. Licensee MDPI, Basel, Switzerland. This article is an open access article distributed under the terms and conditions of the Creative Commons Attribution (CC BY) license (https://creativecommons.org/licenses/by/4.0/).
Share and Cite
Barzic, A.I.; Sava, I.; Albu, R.M.; Ursu, C.; Lisa, G.; Stoica, I. Polyimide-Derived Supramolecular Systems Containing Various Amounts of Azochromophore for Optical Storage Uses. Polymers 2023, 15, 1056. https://doi.org/10.3390/polym15041056
Barzic AI, Sava I, Albu RM, Ursu C, Lisa G, Stoica I. Polyimide-Derived Supramolecular Systems Containing Various Amounts of Azochromophore for Optical Storage Uses. Polymers. 2023; 15(4):1056. https://doi.org/10.3390/polym15041056
Chicago/Turabian StyleBarzic, Andreea Irina, Ion Sava, Raluca Marinica Albu, Cristian Ursu, Gabriela Lisa, and Iuliana Stoica. 2023. "Polyimide-Derived Supramolecular Systems Containing Various Amounts of Azochromophore for Optical Storage Uses" Polymers 15, no. 4: 1056. https://doi.org/10.3390/polym15041056
APA StyleBarzic, A. I., Sava, I., Albu, R. M., Ursu, C., Lisa, G., & Stoica, I. (2023). Polyimide-Derived Supramolecular Systems Containing Various Amounts of Azochromophore for Optical Storage Uses. Polymers, 15(4), 1056. https://doi.org/10.3390/polym15041056

