Macro-Mesoscale Mechanical Properties of Basalt-Polyvinyl Alcohol Hybrid Fiber-Reinforced Low-Heat Portland Cement Concrete
Abstract
1. Introduction
2. Test Scheme
2.1. Performance of Raw Materials
2.2. Concrete Mix Proportion Design
2.3. Preparation and Maintenance of Specimens
2.4. Test Methods
3. Test Results and Analysis
3.1. Slump
3.2. Compressive Strength
3.3. Splitting Tensile Strength
3.4. Four-Point Flexural Strength
3.5. Comparison of Test Values with Codes Predictions
3.6. Synergy Effect of Hybrid Fibers in Concrete
3.6.1. Toughening Mechanism
3.6.2. Crack Resistance Mechanism
3.6.3. Mechanical Performance Improvement Mechanism
3.6.4. Economic Efficiency
4. Mesoscale Simulation Analysis of Hybrid Fiber-Reinforced LHPCC
4.1. Parametric Modeling of Fiber-Reinforced LHPCC
4.1.1. Establishment of the Mesoscale Model
4.1.2. Constitutive Relationship of Mesoscale Components of Fiber-Reinforced LHPCC
4.1.3. Determination of the Mechanical Parameters of the Mesoscale Component
4.2. Mesoscale Simulation of Mechanical Properties of LHPCC
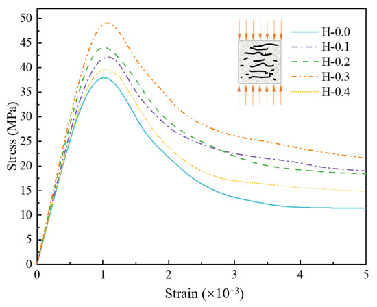
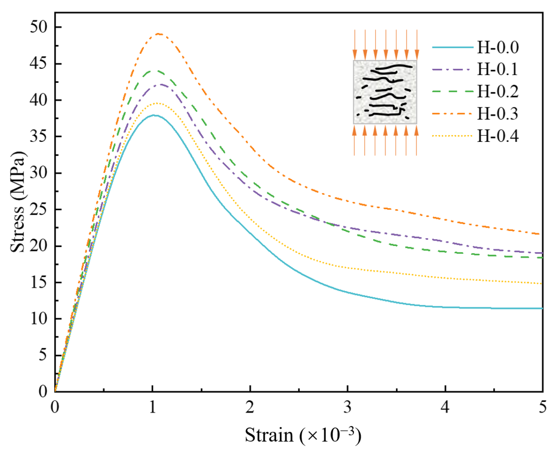
4.2.1. Uniaxial Compressive Simulation
4.2.2. Splitting Tensile Simulation
4.2.3. Effect of Coarse Aggregate Content on the Strength of LHPCC
5. Conclusions
- Within the research range of this study, the effect of total fiber content on the slump of fresh concrete is greater than that of different fiber hybrid proportions. When the proportions of the two fibers are 1:1 and the total content is 0.4%, the slump decreases the most, up to 54.55%;
- When BF and PVAF were in equal proportions, the compressive and flexural strengths were greatest when the fiber content was 0.3%, which increased by 29.34% and 35.41% compared to the control group. The splitting tensile strength was greatest when the fiber content was 0.4%, with an increase of 31.59% compared to the control group;
- When the total fiber content was 0.3%, the concrete compressive, splitting tensile, and flexural strengths presented tendencies of ascending and then decreasing as the occupancy of BF increased in the hybrid fiber. The corresponding optimal occupancy of BF was 50%, 75%, and 50%, and the strengths increased by 13.11%, 32.75%, and 16.24% compared with the control concrete;
- The errors in the compressive and splitting tensile strengths of the hybrid BF-PVAF-reinforced LHPCC obtained by numerical simulations and tests are within 5%. The mesoscale model can accurately verify the damage mechanism of concrete specimens, which validates the reliability of the mesoscale numerical model of hybrid BF-PVAF-reinforced LHPCC established in this study.
6. Limitations of the Study and Future Research Directions
- The data on the toughness and ductility of fiber-reinforced concrete are equally necessary, which is crucial to know in hybrid fiber-reinforced LHPCC;
- Concrete materials are brittle and prone to potential safety hazards in hydraulic buildings. Therefore, the fracture properties of hybrid BF and PVAF-reinforced LHPCC should be investigated to overcome the limitations of quasi-brittle fracture of the material;
- The durability study of hybrid BF and PVAF-reinforced LHPCC can be used for life prediction, such as antifreeze, sulfate corrosion resistance, chloride penetration resistance, anti-carbonation, and impermeability properties of concrete materials, for early application in the field of engineering practice.
Author Contributions
Funding
Institutional Review Board Statement
Informed Consent Statement
Data Availability Statement
Conflicts of Interest
Abbreviations
| BF | Basalt fiber |
| PVAF | Polyvinyl alcohol fiber |
| LHPCC | Low-heat Portland cement concrete |
| OPC | Ordinary Portland cement |
| HFRC | Hybrid fiber-reinforced concrete |
| ITZ | Interface transition zone |
| RVE | Representative volume elements |
| CDP | Concrete damaged plasticity |
References
- Hoque, M.H.; Numen, E.H.; Islam, N. Laboratory investigation on the strength gaining of brick aggregate concrete using Ordinary Portland cement and Portland Composite Cement. Int. J. Eng. Res. 2014, 2319–68902347. [Google Scholar]
- Khan, A.; Rukhsar, S.; Adnan, M.J.A.G.E.G. Assessment of Pozzolanic Material for Manufacturing of Portland Pozzolana Cement (PPC) by the Comparison of Ordinary Portland Cement (OPC). ACTA Geodyn. Geomater. 2022, 19, 119–126. [Google Scholar] [CrossRef]
- Qing, Y.; Huxing, C.; Yuqing, W.; Shangxian, W.; Zonghan, L. Effect of MgO and gypsum content on long-term expansion of low heat Portland slag cement with slight expansion. Cem. Concr. Compos. 2004, 26, 331–337. [Google Scholar] [CrossRef]
- Wang, N.; Luo, K.; Peng, K.; Li, J.; Lu, Z.; Xia, Y.; Lin, Y.; Zhong, W. Thermal deformation and microstructure characteristics of low-heat Portland cement-based concrete in a high plateau environment. J. Build. Eng. 2022, 58, 105025. [Google Scholar] [CrossRef]
- Wang, L.; Yang, H.Q.; Dong, Y.; Chen, E.; Tang, S.W. Environmental evaluation, hydration, pore structure, volume deformation and abrasion resistance of low heat Portland (LHP) cement-based materials. J. Clean. Prod. 2018, 203, 540–558. [Google Scholar] [CrossRef]
- Yang, S.L.; Tang, Z.Q.; Zhong, W.; Wang, S.F.; Zhang, R.; Yao, X.H. Effects of steel fibers on the dynamic properties and failure process of ultra-high performance concrete. J. Build. Eng. 2022, 62. [Google Scholar] [CrossRef]
- Oettel, V.; Schulz, M.; Haist, M. Empirical approach for the residual flexural tensile strength of steel fiber-reinforced concrete based on notched three-point bending tests. Struct. Concr. 2022, 23, 993–1004. [Google Scholar] [CrossRef]
- Zhang, C.Y.; Sun, Y.K.; Xu, J.G.; Wang, B. The Effect of Vibration Mixing on the Mechanical Properties of Steel Fiber Concrete with Different Mix Ratios. Materials 2021, 14, 3669. [Google Scholar] [CrossRef]
- Madhavi, K.; Harshith, V.V.; Gangadhar, M.; Kumar, V.C.; Raghavendra, T. External strengthening of concrete with natural and synthetic fiber composites. In Proceedings of the International Conference and Exposition on Mechanical, Material and Manufacturing Technology (ICE3MT), Hyderabad, India, 9–10 October 2020; pp. 2803–2809. [Google Scholar]
- Zainal, S.; Hejazi, F.; Abd Aziz, F.N.A.; Jaafar, M.S. The Synergistic Effects of Different Types of Hybridized Synthetic Fibers on Concrete Post-Crack Residual Strength. KSCE J. Civ. Eng. 2022, 26, 131–142. [Google Scholar] [CrossRef]
- Jamshaid, H.; Mishra, R.K.; Raza, A.; Hussain, U.; Rahman, M.L.; Nazari, S.; Chandan, V.; Muller, M.; Choteborsky, R. Natural Cellulosic Fiber Reinforced Concrete: Influence of Fiber Type and Loading Percentage on Mechanical and Water Absorption Performance. Materials 2022, 15, 874. [Google Scholar] [CrossRef]
- Chen, J.; Lv, Y.; Li, Z.X.; Chouw, N. Investigation of the Properties of Natural Fibre Reinforced Polymer-Concrete Composite. In Proceedings of the 25th Australasian Conference on the Mechanics of Structures and Materials (ACMSM), Brisbane, Australia, 4–7 December 2018; pp. 437–447. [Google Scholar]
- Dias, D.P.; Thaumaturgo, C. Fracture toughness of geopolymeric concretes reinforced with basalt fibers. Cem. Concr. Compos. 2005, 27, 49–54. [Google Scholar] [CrossRef]
- High, C.; Seliem, H.M.; El-Safty, A.; Rizkalla, S.H. Use of basalt fibers for concrete structures. Constr. Build. Mater. 2015, 96, 37–46. [Google Scholar] [CrossRef]
- Kabay, N. Abrasion resistance and fracture energy of concretes with basalt fiber. Constr. Build. Mater. 2014, 50, 95–101. [Google Scholar] [CrossRef]
- Zheng, Y.; Zhang, Y.; Zhuo, J.; Zhang, Y.; Wan, C. A review of the mechanical properties and durability of basalt fiber-reinforced concrete. Constr. Build. Mater. 2022, 359, 129360. [Google Scholar] [CrossRef]
- Khan, S.U.; Nuruddin, M.F.; Shafiq, N. Strength Development of Concrete incorporating Metakaolin and PVA fibres. In Applied Mechanics and Materials; Trans Tech Publications Ltd.: Zurich, Switzerland, 2014; pp. 505–510. [Google Scholar]
- Zhang, R.; Jin, L.; Tian, Y.; Dou, G.; Du, X. Static and dynamic mechanical properties of eco-friendly polyvinyl alcohol fiber-reinforced ultra-high-strength concrete. Struct. Concr. 2019, 20, 1051–1063. [Google Scholar] [CrossRef]
- Yurtseven, A.; Yaman, I.; Tokyay, M. Mechanical properties of hybrid fiber reinforced concrete. In Measuring, Monitoring and Modeling Concrete Properties; Springer: Berlin/Heidelberg, Germany, 2006; pp. 207–214. [Google Scholar]
- Almusallam, T.; Ibrahim, S.; Al-Salloum, Y.; Abadel, A.; Abbas, H.J.C.; Composites, C. Analytical and experimental investigations on the fracture behavior of hybrid fiber reinforced concrete. Cem. Concr. Compos. 2016, 74, 201–217. [Google Scholar] [CrossRef]
- Abadel, A.; Abbas, H.; Almusallam, T.; Al-Salloum, Y.; Siddiqui, N. Mechanical properties of hybrid fibre-reinforced concrete–analytical modelling and experimental behaviour. Mag. Concr. Res. 2016, 68, 823–843. [Google Scholar] [CrossRef]
- Krishna, A.; Kaliyaperumal, S.R.M.; Kathirvel, P.J. Compressive strength and impact resistance of hybrid fiber reinforced concrete exposed to elevated temperatures. Struct. Concr. 2022, 23, 1611–1624. [Google Scholar] [CrossRef]
- Khan, M.; Cao, M.; Ali, M. Cracking behaviour and constitutive modelling of hybrid fibre reinforced concrete. J. Build. Eng. 2020, 30, 101272. [Google Scholar] [CrossRef]
- El Ouni, M.H.; Shah, S.H.A.; Ali, A.; Muhammad, S.; Mahmood, M.S.; Ali, B.; Marzouki, R.; Raza, A. Mechanical performance, water and chloride permeability of hybrid steel-polypropylene fiber-reinforced recycled aggregate concrete. Case Stud. Constr. Mater. 2022, 16, e00831. [Google Scholar] [CrossRef]
- Yusof, M.A.; Nor, N.M.; Zain, M.F.M.; Peng, N.C.; Ismail, A.; Sohaimi, R.M.; Zaidi, A.M.A.; Sciences, A. Mechanical properties of hybrid steel fibre reinforced concrete with different aspect ratio. Aust. J. Basic Appl. Sci. 2011, 5, 159–166. [Google Scholar]
- Özkan, Ş.; Çoban, Ö. The hybrid effects of basalt and PVA fiber on properties of a cementitious composite: Physical properties and non-destructive tests. Constr. Build. Mater. 2021, 312, 125292. [Google Scholar] [CrossRef]
- Zhuang, J.; Shen, S.; Yang, Y.; Xu, K.; Ni, P. Mechanical performance of basalt and PVA fiber reinforced hybrid-fiber engineered cementitious composite with superimposed basalt fiber content. Constr. Build. Mater. 2022, 353, 129183. [Google Scholar] [CrossRef]
- Jalal, A.; Shafiq, N.; Nikbakht, E.; Kumar, R.; Zahid, M. Mechanical properties of hybrid basalt-polyvinyl alcohol (PVA) fiber reinforced concrete. In Key Engineering Materials; Trans Tech Publications Ltd.: Zurich, Switzerland, 2017; pp. 3–7. [Google Scholar]
- Wang, L.; Yang, H.; Zhou, S.; Chen, E.; Tang, S.W. Mechanical properties, long-term hydration heat, shinkage behavior and crack resistance of dam concrete designed with low heat Portland (LHP) cement and fly ash. Constr. Build. Mater. 2018, 187, 1073–1091. [Google Scholar] [CrossRef]
- Wang, Q.; Liu, R.; Liu, P.; Liu, C.; Sun, L.; Zhang, H.J.C.; Materials, B. Effects of silica fume on the abrasion resistance of low-heat Portland cement concrete. Constr. Build. Mater. 2022, 329, 127165. [Google Scholar] [CrossRef]
- Yang, K.-H.; Kim, S.-J. Evaluation of Shrinkage and Creep Behavior of Low-Heat Cement Concrete. J. Korea Inst. Build. Constr. 2016, 16, 305–311. [Google Scholar] [CrossRef]
- Marcalikova, Z.; Cajka, R. Determination of Mechanical Properties of Fiber Reinforced Concrete for Numerical Modelling. Civ. Environ. Eng. 2020, 16, 86–106. [Google Scholar] [CrossRef]
- Attia, K.; El Refai, A.; Alnahhal, W. Flexural behavior of basalt fiber–reinforced concrete slab strips with BFRP bars: Experimental testing and numerical simulation. J. Compos. Constr. 2020, 24, 04020007. [Google Scholar] [CrossRef]
- Blagojević, P.; Blagojević, N.; Kukaras, D. Flexural behavior of steel fiber reinforced concrete beams: Probabilistic numerical modeling and sensitivity analysis. Appl. Sci. 2021, 11, 9591. [Google Scholar] [CrossRef]
- Yu, J.; Zhang, B.; Chen, W.; He, J. Experimental and multi-scale numerical investigation of ultra-high performance fiber reinforced concrete (UHPFRC) with different coarse aggregate content and fiber volume fraction. Constr. Build. Mater. 2020, 260, 120444. [Google Scholar] [CrossRef]
- Sun, X.; Gao, Z.; Cao, P.; Zhou, C.; Ling, Y.; Wang, X.; Zhao, Y.; Diao, M. Fracture performance and numerical simulation of basalt fiber concrete using three-point bending test on notched beam. Constr. Build. Mater. 2019, 225, 788–800. [Google Scholar] [CrossRef]
- Naderi, S.; Zhang, M. 3D meso-scale modelling of tensile and compressive fracture behaviour of steel fibre reinforced concrete. Compos. Struct. 2022, 291, 115690. [Google Scholar] [CrossRef]
- Khan, Q.u.Z. Experimental and Numerical Investigation of Hybrid Fiber-Reinforced Concrete Beam. Iran. J. Sci. Technol. Trans. Civ. Eng. 2022, 46, 3627–3642. [Google Scholar] [CrossRef]
- Zheng, Y.; Zhuo, J.; Zhang, Y.; Zhang, P. Mechanical properties and microstructure of nano-SiO2 and basalt-fiber-reinforced recycled aggregate concrete. Nanotechnol. Rev. 2022, 11, 2169–2189. [Google Scholar] [CrossRef]
- Dixon, D.E.; Prestrera, J.R.; Burg, G.R.; Chairman, S.A.; Abdun-Nur, E.A.; Barton, S.G.; Bell, L.W.; Blas, S.J., Jr.; Carrasquillo, R.L.; Carrasquillo, P.M. Standard Practice for Selecting Proportions for Normal, Heavyweight, and Mass Concrete (ACI 211.1-91); American Concrete Institute: Farmington Hills, MI, USA, 1991. [Google Scholar]
- ASTM International. ASTM C143/C143M: Slump of Hydraulic-Cement Concrete; ASTM International: West Conshohocken, PA, USA, 2012. [Google Scholar]
- ASTM International. ASTM C39/C39M: Standard Test Method for Compressive Strength of Cylindrical Concrete Specimens; ASTM International: West Conshohocken, PA, USA, 2005. [Google Scholar]
- ASTM International. ASTM C1609/C1609M: Standard Test Method for Flexural Performance of Fiber-Reinforced Concrete (Using Beam With Third-Point Loading); ASTM International: West Conshohocken, PA, USA, 2013. [Google Scholar]
- Chinese Standard. GB/T 50081-2002; Standard for Test Methods of Ordinary Concrete Mechanical Properties. Ministry of Construction: Beijing, China, 2002. (In Chinese)
- Rocco, C.; Guinea, G.V.; Planas, J.; Elices, M. Size effect and boundary conditions in the Brazilian test: Experimental verification. Mater. Struct. 1999, 32, 210–217. [Google Scholar] [CrossRef]
- ACI Committee. Building Code Requirements for Structural Concrete and Commentary (ACI 318-11); American Concrete Institute: Farmington Hills, MI, USA, 2011. [Google Scholar]
- British Standard Institution. Eurocode 2: Design of Concrete Structures. Part 1-1: General Rules and Rules for Buildings; British Standard Institution: London, UK, 2004; Volume 1, p. 230. [Google Scholar]
- Özkan, Ş.; Demir, F. The hybrid effects of PVA fiber and basalt fiber on mechanical performance of cost effective hybrid cementitious composites. Constr. Build. Mater. 2020, 263, 120564. [Google Scholar] [CrossRef]
- Wang, D.; Ju, Y.; Shen, H.; Xu, L. Mechanical properties of high performance concrete reinforced with basalt fiber and polypropylene fiber. Constr. Build. Mater. 2019, 197, 464–473. [Google Scholar] [CrossRef]
- Li, F.; Gao, H.; Tang, H.; Jiang, Y.; Zhan, Y.; Shen, D. Basic properties and shrinkage model of chopped basalt fiber concrete. J. Railw. Sci. Eng. 2022, 19, 419–427. [Google Scholar] [CrossRef]
- Ayub, T.; Shafiq, N.; Nuruddin, M.F. Effect of chopped basalt fibers on the mechanical properties and microstructure of high performance fiber reinforced concrete. Adv. Mater. Sci. Eng. 2014, 587686. [Google Scholar] [CrossRef]
- Zhang, R.; Jin, L.; Du, X. Three-dimensional meso-scale modelling of failure of steel fiber reinforced concrete at room and elevated temperatures. Constr. Build. Mater. 2021, 278, 122368. [Google Scholar] [CrossRef]
- Montero-Chacón, F.; Cifuentes, H.; Medina, F. Mesoscale Characterization of Fracture Properties of Steel Fiber-Reinforced Concrete Using a Lattice–Particle Model. Materials 2017, 10, 207. [Google Scholar] [CrossRef] [PubMed]
- Pajak, M.; Krystek, M.; Zakrzewski, M.; Domski, J. Laboratory Investigation and Numerical Modelling of Concrete Reinforced with Recycled Steel Fibers. Materials 2021, 14, 1828. [Google Scholar] [CrossRef]
- Zheng, Y.; Zhuo, J.; Zhang, P.; Ma, M. Mechanical properties and meso-microscopic mechanism of basalt fiber-reinforced recycled aggregate concrete. J. Clean. Prod. 2022, 370, 133555. [Google Scholar] [CrossRef]
- Kim, S.-M.; Abu Al-Rub, R.K. Meso-scale computational modeling of the plastic-damage response of cementitious composites. Cem. Concr. Res. 2011, 41, 339–358. [Google Scholar] [CrossRef]
- Thirumalaiselvi, A.; Anandavalli, N.; Rajasankar, J. Mesoscale studies on the effect of aggregate shape idealisation in concrete. Mag. Concr. Res. 2019, 71, 244–259. [Google Scholar] [CrossRef]
- Zheng, Y.; Zhang, Y.; Zhuo, J.; Zhang, P.; Hu, S. Mesoscale synergistic effect mechanism of aggregate grading and specimen size on compressive strength of concrete with large aggregate size. Constr. Build. Mater. 2023, 367, 130346. [Google Scholar] [CrossRef]
- Maleki, M.; Rasoolan, I.; Khajehdezfuly, A.; Jivkov, A.P. On the effect of ITZ thickness in meso-scale models of concrete. Constr. Build. Mater. 2020, 258, 119639. [Google Scholar] [CrossRef]
- Nguyen, T.; Ghazlan, A.; Kashani, A.; Bordas, S.; Ngo, T.J.C.; Materials, B. 3D meso-scale modelling of foamed concrete based on X-ray computed tomography. 2018, 188, 583–598. Constr. Build. Mater. 2018, 188, 583–598. [Google Scholar] [CrossRef]
- Zhuo, J.; Zhang, Y.; Ma, M.; Zhang, Y.; Zheng, Y. Uniaxial Compression Failure and Size Effect of Recycled Aggregate Concrete Based on Meso-Simulation Analysis. Materials 2022, 15, 5710. [Google Scholar] [CrossRef]
- Xing, Z.; Beaucour, A.-L.; Hebert, R.; Noumowe, A.; Ledesert, B. Influence of the nature of aggregates on the behaviour of concrete subjected to elevated temperature. Cem. Concr. Res. 2011, 41, 392–402. [Google Scholar] [CrossRef]
- Lee, J.; Fenves, G.L. Plastic-damage model for cyclic loading of concrete structures. J. Eng. Mech. 1998, 124, 892–900. [Google Scholar] [CrossRef]
- Li, Q.; Guo, W.; Kuang, Y. Parameter calculation and verification of concrete plastic damage model of ABAQUS. IOP Conf. Ser. Mater. Sci. Eng. 2020, 794, 012036. [Google Scholar] [CrossRef]
- Chinese Standard. GB 50010-2010; Code for Design of Concrete Structures. China Architecture & Building Press: Beijing, China, 2010. (In Chinese)
- Jin, L.; Yu, W.; Du, X.; Yang, W. Meso-scale simulations of size effect on concrete dynamic splitting tensile strength: Influence of aggregate content and maximum aggregate size. Eng. Fract. Mech. 2020, 230, 106979. [Google Scholar] [CrossRef]
- Du, X.; Jin, L.; Ma, G. Numerical simulation of dynamic tensile-failure of concrete at meso-scale. Int. J. Impact Eng. 2014, 66, 5–17. [Google Scholar] [CrossRef]
































| Variety of Cement. | Apparent Density | Standard Consistence | Specific Surface Area | Initial Setting Time | Final Setting Time | Flexural Strength (MPa) | Compressive Strength (MPa) | Hydration Heat (kJ/kg) | |||
|---|---|---|---|---|---|---|---|---|---|---|---|
| (g/cm3) | (%) | (m2/kg) | (min) | (min) | 7 d | 28 d | 7 d | 28 d | 7 d | 28 d | |
| Jiahua P.LH42.5 | 3.23 | 25.1 | 323 | 236 | 311 | 4.7 | 7.7 | 21.6 | 47.3 | 197 | 235 |
| Normative standards (GB/T 200-2003) | / | / | ≥250 | ≥60 | ≤720 | ≥3.5 | ≥6.5 | ≥13.0 | ≥3.5 | ≥6.5 | ≥13.0 |
| Types of Aggregates | Aggregate Particle Size (mm) | Fineness Modulus | Apparent Density (kg/m3) | Bulk Density (kg/m3) | Mud Content (%) | Crush Value (%) | Flat Elongated Particles Content (%) | Porosity (%) |
|---|---|---|---|---|---|---|---|---|
| Coarse aggregates | 5–20 | / | 2730 | / | 0.3 | 5.9 | 5.2 | 41 |
| Fine aggregates | / | 2.67 | 2660 | 1540 | 1.6 | / | / | 36 |
| Aggregate Types | Sieve Aperture Size (mm) | Coarse Aggregates | 26.5 | 19 | 16 | 9.5 | 4.75 | 2.36 |
|---|---|---|---|---|---|---|---|---|
| Fine Aggregates | 4.75 | 2.36 | 1.18 | 0.6 | 0.3 | 0.15 | ||
| Coarse aggregates | Cumulative sieving residuals (%) | 0 | 23.8 | 44 | 75.2 | 95.8 | 99.1 | |
| The range of grading required by the specification (%) | 0–5 | / | 30–70 | 40–80 | 90–100 | 90–100 | ||
| Fine aggregates | Cumulative sieving residuals (%) | 0.6 | 3.1 | 17.1 | 49.2 | 87 | 93.7 | |
| The range of grading required by the specification (%) | 0–10 | 0–25 | 10–50 | 41–70 | 70–92 | 90–100 | ||
| Varieties of Coal Fly Ash | Fineness (%) | Water Demand ratio (%) | Loss on Ignition (%) | The Content of SO3 (%) | Moisture Content (%) | Apparent Density (kg·m−3) |
|---|---|---|---|---|---|---|
| Xuanwei Power Plant Level I | 6.8 | 94.05 | 4.15 | 0.91 | 0.14 | 2430 |
| DL/T 5055-2007 | ≤12.0 | ≤95 | ≤5.0 | ≤3.0 | ≤1.0 | / |
| Fiber Types | Length (mm) | Diameter (μm) | Density (g/cm3) | Tensile Strength (MPa) | Elastic Modulus (GPa) | Fracture Strength (MPa) | Fracture Elongation (%) |
|---|---|---|---|---|---|---|---|
| BF | 12 | 15 | 2.65 | 3200 | 96 | 1660 | 3.2 |
| PVAF | 12 | 40 | 1.30 | 1400–1600 | 35–39 | / | 17 ± 3.0 |
| Coarse Aggregates | Fine Aggregates | Cement | Water | Coal Fly Ash | Water-Reducing Agent | Air-Entraining Agent |
|---|---|---|---|---|---|---|
| 1292 | 685 | 199 | 130 | 111 | 1.53 | 0.086 |
| w/c | Fiber Proportion | Total Fiber Content (%) | |||
|---|---|---|---|---|---|
| BF: PVAF | |||||
| 0.47 | 1:1 | 0.1 | 0.2 | 0.3 | 0.4 |
| 0:1 | 0.3 | ||||
| 1:3 | 0.3 | ||||
| 1:1 | 0.3 | ||||
| 3:1 | 0.3 | ||||
| 1:0 | 0.3 | ||||
| Group | Specimen Number | Total Fiber Contents (%) | Contents (%) | Slump (mm) | |
|---|---|---|---|---|---|
| BF | PVAF | ||||
| Group 1 | H-0.0 | 0.0 | 0.00 | 0.00 | 88 |
| H-0.1 | 0.1 | 0.05 | 0.05 | 65 | |
| H-0.2 | 0.2 | 0.10 | 0.10 | 54 | |
| H-0.3 | 0.3 | 0.15 | 0.15 | 45 | |
| H-0.4 | 0.4 | 0.20 | 0.20 | 40 | |
| Group 2 | H-0-1 | 0.3 | 0.000 | 0.300 | 69 |
| H-1-3 | 0.3 | 0.075 | 0.225 | 59 | |
| H-1-1 | 0.3 | 0.150 | 0.150 | 51 | |
| H-3-1 | 0.3 | 0.225 | 0.075 | 47 | |
| H-1-0 | 0.3 | 0.300 | 0.000 | 43 | |
| Number | Fiber Content (%) | Compressive Strength (MPa) | Splitting Tensile Strength (MPa) | Flexural Strength (MPa) | |||||||||
|---|---|---|---|---|---|---|---|---|---|---|---|---|---|
| Test Values | Average Values | Standard Deviation | Coefficient of Variation % | Test Values | Average Values | Standard Deviation | Coefficient of Variation % | Test Values | AVERAGE Values | Standard Deviation | Coefficient of Variation % | ||
| H-0.0 | 0.0 | 41.50 | 38.07 | 2.4689 | 0.0649 | 2.41 | 2.43 | 0.0704 | 0.0290 | 3.88 | 3.70 | 0.1314 | 0.0355 |
| 36.90 | 2.35 | 3.65 | |||||||||||
| 35.80 | 2.52 | 3.57 | |||||||||||
| H-0.1 | 0.1 | 41.80 | 42.51 | 1.6111 | 0.0379 | 2.46 | 2.64 | 0.1470 | 0.0558 | 3.98 | 4.15 | 0.1219 | 0.0294 |
| 40.99 | 2.63 | 4.21 | |||||||||||
| 44.74 | 2.82 | 4.26 | |||||||||||
| H-0.2 | 0.2 | 45.32 | 44.74 | 1.8983 | 0.0424 | 2.75 | 2.95 | 0.2351 | 0.0797 | 4.15 | 4.29 | 0.1003 | 0.0234 |
| 46.72 | 2.89 | 4.38 | |||||||||||
| 42.18 | 3.21 | 4.34 | |||||||||||
| H-0.3 | 0.3 | 48.41 | 49.24 | 0.5938 | 0.0121 | 3.08 | 3.19 | 0.0865 | 0.0271 | 4.95 | 5.01 | 0.0920 | 0.0184 |
| 49.57 | 3.21 | 5.14 | |||||||||||
| 49.75 | 3.29 | 4.94 | |||||||||||
| H-0.4 | 0.4 | 39.52 | 39.78 | 0.7779 | 0.0196 | 3.82 | 3.83 | 0.1186 | 0.0310 | 4.19 | 4.12 | 0.0497 | 0.0121 |
| 38.99 | 3.69 | 4.09 | |||||||||||
| 40.84 | 3.98 | 4.08 | |||||||||||
| Number | Fiber Proportion | Compressive Strength (MPa) | Splitting Tensile Strength (MPa) | Flexural Strength (MPa) | |||||||||
|---|---|---|---|---|---|---|---|---|---|---|---|---|---|
| BF: PVAF | Test Values | Average Values | Standard Deviation | Coefficient of Variation % | Test Values | AVERAGE Values | Standard Deviation | Coefficient of Variation % | Test Values | Average Values | Standard Deviation | Coefficient of Variation % | |
| H-0-1 | 0:1 | 42.86 | 43.41 | 0.6034 | 0.0139 | 2.68 | 2.87 | 0.1359 | 0.0473 | 4.25 | 4.31 | 0.0432 | 0.0100 |
| 44.25 | 2.94 | 4.33 | |||||||||||
| 43.12 | 2.99 | 4.35 | |||||||||||
| H-1-3 | 1:3 | 51.68 | 47.74 | 2.8611 | 0.0599 | 3.11 | 3.02 | 0.0638 | 0.0211 | 4.39 | 4.50 | 0.0787 | 0.0175 |
| 46.55 | 2.97 | 4.57 | |||||||||||
| 44.98 | 2.98 | 4.54 | |||||||||||
| H-1-1 | 1:1 | 49.96 | 49.10 | 1.3821 | 0.0281 | 3.08 | 3.19 | 0.0865 | 0.0271 | 4.95 | 5.01 | 0.0920 | 0.0184 |
| 47.15 | 3.21 | 5.14 | |||||||||||
| 50.19 | 3.29 | 4.94 | |||||||||||
| H-3-1 | 3:1 | 45.95 | 43.49 | 2.1512 | 0.0495 | 3.71 | 3.81 | 0.0779 | 0.0204 | 4.74 | 4.83 | 0.0779 | 0.0161 |
| 43.81 | 3.9 | 4.93 | |||||||||||
| 40.71 | 3.82 | 4.82 | |||||||||||
| H-1-0 | 1:0 | 41.22 | 40.79 | 0.7316 | 0.0179 | 2.45 | 2.64 | 0.1417 | 0.0537 | 4.78 | 4.62 | 0.1203 | 0.0260 |
| 39.76 | 2.68 | 4.59 | |||||||||||
| 41.39 | 2.79 | 4.49 | |||||||||||
| Mechanical Properties | ACI 318-11 [46] | Eurocode 2 [47] |
|---|---|---|
| Splitting tensile strength, fst (MPa) | ||
| Flexural strength, fr (MPa) |
| Parameters | Aggregates Phase | Mortar Phase: Fiber Content | Interface Phase | ||||
|---|---|---|---|---|---|---|---|
| 0 | 0.1% | 0.2% | 0.3% | 0.4% | |||
| Young’s modulus, E (GPa) | 50 1 | 39.1 2 | 44 2 | 46.3 2 | 50.2 2 | 40.3 2 | 26 3 |
| Poisson’s ratio, ν | 0.16 1 | 0.2 1 | 0.2 1 | 0.2 1 | 0.2 1 | 0.2 1 | 0.22 3 |
| Compressive strength, σc (MPa) | 130 1 | 42.8 2 | 48.3 2 | 49.8 2 | 55.3 2 | 45.4 2 | 27.5 4 |
| Tensile strength, σt (MPa) | 10 1 | 2.4 2 | 2.6 2 | 3.0 2 | 3.2 2 | 3.8 2 | 2.75 4 |
| Group | Compressive Strength (MPa) | Difference Between Test and Simulation (MPa) | Error Relative to the Test Value (%) | |
|---|---|---|---|---|
| Test Data | Simulation Data | |||
| H-0.0 | 38.07 | 37.23 | 0.84 | 2.21 |
| H-0.1 | 42.51 | 41.48 | 1.03 | 2.42 |
| H-0.2 | 44.74 | 43.09 | 1.65 | 3.69 |
| H-0.3 | 49.24 | 48.40 | 0.84 | 1.71 |
| H-0.4 | 39.78 | 38.20 | 1.58 | 3.97 |
| Group | Splitting Tensile Strength (MPa) | Difference Between Test and Simulation (MPa) | Error Relative to the Test Value (%) | |
|---|---|---|---|---|
| Test Data | Simulation Data | |||
| H-0.0 | 2.43 | 2.32 | 0.11 | 4.53 |
| H-0.1 | 2.64 | 2.54 | 0.10 | 3.79 |
| H-0.2 | 2.95 | 2.88 | 0.07 | 2.37 |
| H-0.3 | 3.19 | 3.11 | 0.08 | 2.51 |
| H-0.4 | 3.83 | 3.71 | 0.12 | 3.13 |
Disclaimer/Publisher’s Note: The statements, opinions and data contained in all publications are solely those of the individual author(s) and contributor(s) and not of MDPI and/or the editor(s). MDPI and/or the editor(s) disclaim responsibility for any injury to people or property resulting from any ideas, methods, instructions or products referred to in the content. |
© 2023 by the authors. Licensee MDPI, Basel, Switzerland. This article is an open access article distributed under the terms and conditions of the Creative Commons Attribution (CC BY) license (https://creativecommons.org/licenses/by/4.0/).
Share and Cite
Zhang, Y.; Zheng, Y. Macro-Mesoscale Mechanical Properties of Basalt-Polyvinyl Alcohol Hybrid Fiber-Reinforced Low-Heat Portland Cement Concrete. Polymers 2023, 15, 621. https://doi.org/10.3390/polym15030621
Zhang Y, Zheng Y. Macro-Mesoscale Mechanical Properties of Basalt-Polyvinyl Alcohol Hybrid Fiber-Reinforced Low-Heat Portland Cement Concrete. Polymers. 2023; 15(3):621. https://doi.org/10.3390/polym15030621
Chicago/Turabian StyleZhang, Yu, and Yuanxun Zheng. 2023. "Macro-Mesoscale Mechanical Properties of Basalt-Polyvinyl Alcohol Hybrid Fiber-Reinforced Low-Heat Portland Cement Concrete" Polymers 15, no. 3: 621. https://doi.org/10.3390/polym15030621
APA StyleZhang, Y., & Zheng, Y. (2023). Macro-Mesoscale Mechanical Properties of Basalt-Polyvinyl Alcohol Hybrid Fiber-Reinforced Low-Heat Portland Cement Concrete. Polymers, 15(3), 621. https://doi.org/10.3390/polym15030621

