The Influence of Alkali Content on the Hydration of the Slag-Based Geopolymer: Relationships between Resistivity, Setting, and Strength Development
Abstract
1. Introduction
2. Experimental Program
2.1. Materials and Mix Proportions of Mortars and Pastes
2.2. Testing Methods
3. Results and Discussion
3.1. Resistivity Evolution of the Slag-Based Geopolymer with Various Alkali Contents
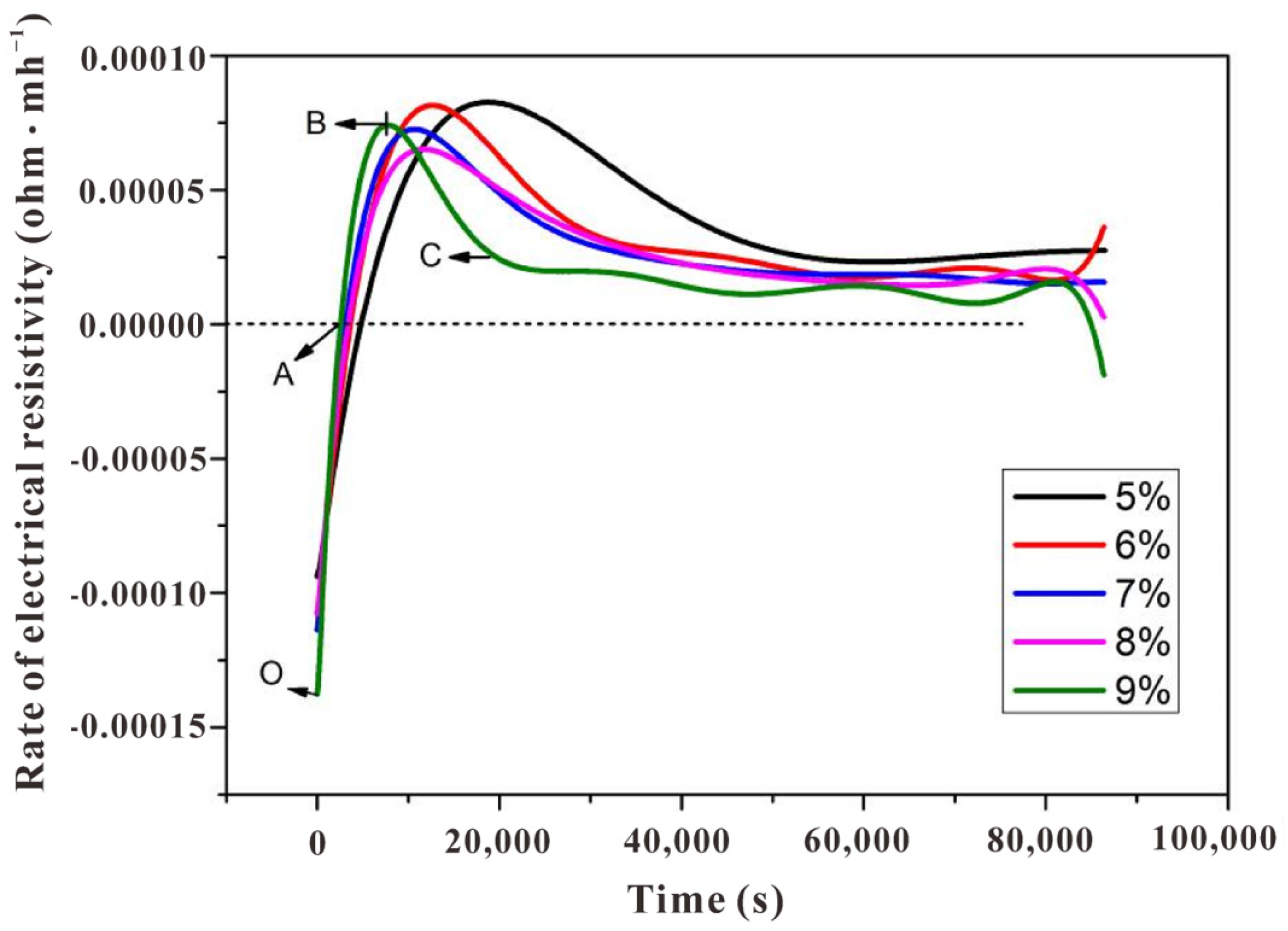
3.1.1. Physical Meaning of the Resistivity Curve
- Stage I (OA): the sodium silicate activates the slag and causes it to disintegrate. Under the attack of OH−, the slag bond break and decompose into SiO44−, AlO45−, and Ca2+, and simultaneously the initial complex precipitate near the surface of the slag particles. The inclined resistivity is mainly due to the rapid release of OH−;
- Stage II (AB): compared with Period I, the bulk resistivity starts to dominate by the precipitated hydrate phase. The latter causes a reduced pore volume, and thus, the conductivity declines. Although the reaction rate is still increasing, the slope of the differential curve shows a decline due to the boundary contact among slag particles (with the hydration layer attached to the surface);
- Stage III (BC): the first inflection (point B) denotes the decline of reaction rate, after which the hydrate layer is thicker enough to prevent the ionic migration from the unhydrated slag particles, which is named the induction stage;
- Stage IV&V (after C): although not obvious as the preceding stages, there exist acceleration and deceleration stages after point C (especially for the specimen with an alkali content of 9 wt%, see the green line in Figure 3), in which the former one (named the acceleration period) is due to the break of hydrate layer once the difference of osmotic pressure between the inner and outer part reached the threshold, releasing the residual ions from the unhydrated cores. After the residual ions are consumed, the total porosity further decreases and the reaction process enters the deceleration period.


3.1.2. The Effect of Alkali Content on the Resistivity Curves
3.2. Reaction Heat Analysis of the Slag-Based Geopolymer with Different Alkali Contents
3.3. Microstructural Evolutions of the SL Pastes with Different Alkali Contents
3.3.1. FTIR Analyses
3.3.2. SEM-EDS Results
3.4. The Effect of Alkali Content on Compressive Strength and Flexural Strength of the Slag-Based Geopolymer
3.5. Could Resistivity Be Linked to the Strength Development and the Setting Behavior?
4. Conclusions
- (1)
- As a relatively novel characterization, electrodeless resistivity measurement showed that although increasing the alkali content accelerated the dissolution stage of the slag-based geopolymer paste, the reaction seems to be inhibited, as presented by the differential curve of resistivity. However, such an inhibition effect could not be reflected by the heat release rate curve, showing the superiority of resistivity of in situ monitoring of the hydration process of a slag-based geopolymer.
- (2)
- The setting time, viscosity, micro-morphology, and strength development showed further explanation of the influence of alkali content. When the alkali content ranged from 4 to 5 wt%, the viscosity and setting behavior were nearly unchanged, while the strength increased dramatically, especially the 7 days compressive strength (the amplification was about 10%). When the alkali content surpassed 6 wt%, the viscosity was decreased, accompanied by the prolonged setting time and decreased strength value. This supplied the result of resistivity. That is, a high level of alkali content may lead to heterogeneous hydration of a slag-based geopolymer, and the reaction system was dominated by diffusion control.
- (3)
- There existed a quantitative relationship between resistivity and initial/final setting time. However, the former could not be quantitatively correlated with the strength value, which was unlike the cases in previous studies where the alkali content was kept unchanged.
Author Contributions
Funding
Institutional Review Board Statement
Data Availability Statement
Conflicts of Interest
References
- de Oliveira, L.; de Azevedo, A.; Marvila, M.; Pereira, E.; Fediuk, R.; Vieira, C. Durability of geopolymers with industrial waste. Case Stud. Constr. Mater. 2022, 16, e00839. [Google Scholar] [CrossRef]
- Catauro, M.; Tranquillo, E.; Barrino, F.; Poggetto, G.D.; Blanco, I.; Cicala, G.; Ognibene, G.; Recca, G. Mechanical and thermal properties of fly ash-filled geopolymers. J. Therm. Anal. Calorim. 2019, 138, 3267–3276. [Google Scholar] [CrossRef]
- Roy, D.; Idorn, G. Hydration, Structure, and Properties of Blast-Furnace Slag Cements, Mortars, And Concrete. J. Am. Concr. Inst. 1982, 79, 444–457. [Google Scholar]
- Aydin, S.; Baradan, B. Mechanical and microstructural properties of heat cured alkali-activated slag mortars. Mater. Des. 2012, 35, 374–383. [Google Scholar] [CrossRef]
- Pacheco-Torgal, F.; Castro-Gomes, J.; Jalali, S. Alkali-activated binders: A review-Part 1. Historical background, terminology, reaction mechanisms and hydration products. Constr. Build. Mater. 2008, 22, 1305–1314. [Google Scholar] [CrossRef]
- He, J.; Yang, C. Hydration heat evolution and setting performance of alkali-slag cement activated with water glass. J. Civ. Archit. Environ. Eng. 2011, 33, 147–152. [Google Scholar]
- Reig, L.; Soriano, L.; Borrachero, M.; Monzo, J.; Paya, J. Influence of the activator concentration and calcium hydroxide addition on the properties of alkali-activated porcelain stoneware. Constr. Build. Mater. 2014, 63, 214–222. [Google Scholar] [CrossRef]
- Provis, J.; Palomo, A.; Shi, C. Advances in understanding alkali-activated materials. Cem. Concr. Res. 2015, 78, 110–125. [Google Scholar] [CrossRef]
- Duxson, P.; Fernández-Jiménez, A.; Provis, J.L.; Lukey, G.C.; Palomo, A.; van Deventer, J.S.J. Geopolymer technology: The current state of the art. J. Mater. Sci. 2006, 42, 2917–2933. [Google Scholar] [CrossRef]
- Provis, J.; Van Deventer, J. Alkali Activated Materials: State-of-the-Art Report, RILEM TC 224-AAM; Springer Science & Business Media: Berlin/Heidelberg, Germany, 2013. [Google Scholar]
- Yip, C.; Lukey, G.; Van Deventer, J. The coexistence of geopolymeric gel and calcium silicate hydrate at the early stage of alkaline activation. Cem. Concr. Res. 2005, 35, 1688–1697. [Google Scholar] [CrossRef]
- Chi, M. Effects of dosage of alkali-activated solution and curing conditions on the properties and durability of alkali-activated slag concrete. Constr. Build. Mater. 2012, 35, 240–245. [Google Scholar] [CrossRef]
- Bernal, S.; de Gutiérrez, R.; Pedraza, A.; Provis, J.; Rodriguez, E.; Delvasto, S. Effect of binder content on the performance of alkali-activated slag concretes. Cem. Concr. Res. 2011, 41, 1–8. [Google Scholar] [CrossRef]
- Wei, X.; Xiao, L. Kinetics parameters of cement hydration by electrical resistivity measurement and calorimetry. Adv. Cem. Res. 2014, 26, 187–193. [Google Scholar] [CrossRef]
- Zhuang, K.; Liu, B.; Fang, Y.; Guo, Y.; Shuai, L.; Dong, B.; Long, W.; Xing, F. Is electrodeless resistivity method suitable for monitoring the early-age reaction of Na2SiO3-activated slag? Mechanism and application. Constr. Build. Mater. 2021, 272, 121719. [Google Scholar] [CrossRef]
- Tydlitat, V.; Zakoutsky, J.; Schmieder, M.; Cerny, R. Application of large-volume calorimetry for monitoring the early-stage hydration heat development in cement-based composites as a function of w/c. Thermochim. Acta 2012, 546, 44–48. [Google Scholar] [CrossRef]
- Carbone, C.; Romano, R.; Cincotto, M.; Pileggi, R. Hardening Stage Evaluation of White Portland Cements Using Oscillatory And Compressive Rheometry, Isothermal Calorimetry and the Vicat Test. Appl. Rheol. 2018, 28. [Google Scholar] [CrossRef]
- Hoyos-Montilla, A.; Puertas, F.; Tobon, J. Study of the reaction stages of alkali-activated cementitious materials using microcalorimetry. Adv. Cem. Res. 2021, 33, 1–13. [Google Scholar] [CrossRef]
- Gebregziabiher, B.; Thomas, R.; Peethamparan, S. Very early-age reaction kinetics and microstructural development in alkali-activated slag. Cem. Concr. Compos. 2015, 55, 91–102. [Google Scholar] [CrossRef]
- ASTM C305-13; Standard Practice for Mechanical Mixing of Hydraulic Cement Pastes and Mortars of Plastic Consistency. ASTM International: West Conshohocken, PA, USA, 2014.
- GB/T 2419-2005; Test Method for Fluidity of Cement Mortar. Standards Press of China: Beijing, China, 2005.
- ASTM C191-19; Standard Test Methods for Time of Setting of Hydraulic Cement by Vicat Needle. ASTM Standard: West Conshohocken, PA, USA, 2008. Available online: https://www.astm.org/Standards/C191 (accessed on 19 December 2022).
- Fang, S.; Lam, E.; Li, B.; Wu, B. Effect of alkali contents, moduli and curing time on engineering properties of alkali activated slag. Constr. Build. Mater. 2020, 249, 118799. [Google Scholar] [CrossRef]
- Choi, S.; Lee, K. Influence of Na2O Content and Ms (SiO2/Na2O) of Alkaline Activator on Workability and Setting of Alkali-Activated Slag Paste. Materials 2019, 12, 2072. [Google Scholar] [CrossRef]
- Aydın, S.; Baradan, B. Effect of activator type and content on properties of alkali-activated slag mortars. Compos. Part B Eng. 2014, 57, 166–172. [Google Scholar] [CrossRef]
- Li, N.; Shi, C.; Zhang, Z. Understanding the roles of activators towards setting and hardening control of alkali-activated slag cement. Compos. Part B Eng. 2019, 171, 34–45. [Google Scholar] [CrossRef]
- Song, S.; Sohn, D.; Jennings, H.; Mason, T. Hydration of alkali-activated ground granulated blast furnace slag. J. Mater. Sci. 2000, 35, 249–257. [Google Scholar] [CrossRef]
- Wang, S.-D.; Scrivener, K. Hydration products of alkali activated slag cement. Cem. Concr. Res. 1995, 25, 561–571. [Google Scholar] [CrossRef]
- Haha, M.; Le Saout, G.; Winnefeld, F.; Lothenbach, B. Influence of activator type on hydration kinetics, hydrate assemblage and microstructural development of alkali activated blast-furnace slags. Cem. Concr. Res. 2011, 41, 301–310. [Google Scholar] [CrossRef]
- Ravikumar, D.; Neithalath, N. Effects of activator characteristics on the reaction product formation in slag binders activated using alkali silicate powder and NaOH. Cem. Concr. Compos. 2012, 34, 809–818. [Google Scholar] [CrossRef]
- Fernández-Jiménez, A.; Palomo, A. Mid-infrared spectroscopic studies of alkali-activated fly ash structure. Microporous Mesoporous Mater. 2005, 86, 207–214. [Google Scholar] [CrossRef]
- Puertas, F.; Torres-Carrasco, M. Use of glass waste as an activator in the preparation of alkali-activated slag. Mechanical strength and paste characterization. Cem. Concr. Res. 2014, 57, 95–104. [Google Scholar] [CrossRef]
- Palacios, M.; Puertas, F. Effect of carbonation on alkali-activated slag paste. J. Am. Ceram. Soc. 2006, 89, 3211–3221. [Google Scholar] [CrossRef]
- Leong, H.; Ong, D.; Sanjayan, J.; Nazari, A. The effect of different Na2O and K2O ratios of alkali activator on compressive strength of fly ash based-geopolymer. Constr. Build. Mater. 2016, 106, 500–511. [Google Scholar] [CrossRef]
- Lee, W.; Van Deventer, J. The effects of inorganic salt contamination on the strength and durability of geopolymers. Colloids Surf. A Physicochem. Eng. Asp. 2002, 211, 115–126. [Google Scholar] [CrossRef]
- Villa, C.; Pecina, E.; Torres, R.; Gómez, L. Geopolymer synthesis using alkaline activation of natural zeolite. Constr. Build. Mater. 2010, 24, 2084–2090. [Google Scholar] [CrossRef]
- Liew, Y.; Kamarudin, H.; Al Bakri, A.; Binhussain, M.; Luqman, M.; Nizar, I.; Ruzaidi, C.; Heah, C. Influence of solids-to-liquid and activator ratios on calcined kaolin cement powder. Phys. Procedia 2011, 22, 312–317. [Google Scholar] [CrossRef]
- Heah, C.; Kamarudin, H.; Al Bakri, A.; Bnhussain, M.; Luqman, M.; Nizar, I.; Ruzaidi, C.; Liew, Y. Study on solids-to-liquid and alkaline activator ratios on kaolin-based geopolymers. Constr. Build. Mater. 2012, 35, 912–922. [Google Scholar] [CrossRef]
- Cheng, T.-W.; Chiu, J. Fire-resistant geopolymer produced by granulated blast furnace slag. Miner. Eng. 2003, 16, 205–210. [Google Scholar] [CrossRef]
- Dong, B.; Zhang, J.; Wang, Y.; Fang, G.; Liu, Y.; Xing, F. Evolutionary trace for early hydration of cement paste using electrical resistivity method. Constr. Build. Mater. 2016, 119, 16–20. [Google Scholar] [CrossRef]












| Composition | CaO | SiO2 | Al2O3 | MgO | SO3 | TiO2 | K2O | Fe2O3 | MnO | Na2O | L. O. I |
|---|---|---|---|---|---|---|---|---|---|---|---|
| Content (wt%) | 41.5 | 32.6 | 14.7 | 6.48 | 2.48 | 0.58 | 0.394 | 0.349 | 0.29 | 0.25 | 0.38 |
| Alkali Content | Element | Atomic Percentage (wt%) | Ca/Si | |||||||
|---|---|---|---|---|---|---|---|---|---|---|
| Position | C | O | Na | Mg | Al | Si | Ca | |||
| 4 wt% | 1 | 7.69 | 60.28 | 1.57 | 3.81 | 5.37 | 8.79 | 12.50 | 1.4 | |
| 4 wt% | 2 | 9.71 | 58.93 | 4.96 | 2.77 | 4.13 | 9.35 | 10.10 | 1.08 | |
| 5 wt% | 3 | 5.92 | 58.82 | 0.21 | 3.74 | 6.21 | 10.71 | 14.39 | 1.34 | |
| 5 wt% | 4 | 9.68 | 63.65 | 2.88 | 3.71 | 4.04 | 8.10 | 10.93 | 1.35 | |
| 6 wt% | 5 | 11.94 | 57.46 | 7.31 | 2.01 | 3.48 | 9.57 | 8.23 | 0.86 | |
| 6 wt% | 6 | 6.59 | 51.39 | 3.97 | 1.45 | 3.65 | 19.95 | 14.99 | 0.75 | |
| 7 wt% | 7 | 7.29 | 60.23 | 10.87 | 1.39 | 2.70 | 11.02 | 6.52 | 0.59 | |
| 7 wt% | 8 | 11.14 | 64.75 | 2.72 | 1.63 | 4.99 | 8.08 | 4.69 | 0.58 | |
| 8 wt% | 9 | 7.37 | 60.31 | 11.32 | 1.72 | 2.80 | 11.07 | 5.40 | 0.49 | |
| 8 wt% | 10 | 7.41 | 57.13 | 11.38 | 1.38 | 2.89 | 12.83 | 6.98 | 0.54 | |
Disclaimer/Publisher’s Note: The statements, opinions and data contained in all publications are solely those of the individual author(s) and contributor(s) and not of MDPI and/or the editor(s). MDPI and/or the editor(s) disclaim responsibility for any injury to people or property resulting from any ideas, methods, instructions or products referred to in the content. |
© 2023 by the authors. Licensee MDPI, Basel, Switzerland. This article is an open access article distributed under the terms and conditions of the Creative Commons Attribution (CC BY) license (https://creativecommons.org/licenses/by/4.0/).
Share and Cite
Fang, Y.; Zhuang, K.; Zheng, D.; Guo, W. The Influence of Alkali Content on the Hydration of the Slag-Based Geopolymer: Relationships between Resistivity, Setting, and Strength Development. Polymers 2023, 15, 518. https://doi.org/10.3390/polym15030518
Fang Y, Zhuang K, Zheng D, Guo W. The Influence of Alkali Content on the Hydration of the Slag-Based Geopolymer: Relationships between Resistivity, Setting, and Strength Development. Polymers. 2023; 15(3):518. https://doi.org/10.3390/polym15030518
Chicago/Turabian StyleFang, Yuan, Kunde Zhuang, Dapeng Zheng, and Weitao Guo. 2023. "The Influence of Alkali Content on the Hydration of the Slag-Based Geopolymer: Relationships between Resistivity, Setting, and Strength Development" Polymers 15, no. 3: 518. https://doi.org/10.3390/polym15030518
APA StyleFang, Y., Zhuang, K., Zheng, D., & Guo, W. (2023). The Influence of Alkali Content on the Hydration of the Slag-Based Geopolymer: Relationships between Resistivity, Setting, and Strength Development. Polymers, 15(3), 518. https://doi.org/10.3390/polym15030518

